Diagnostic Accuracy of a Blood-Based Biomarker Panel for Colorectal Cancer Detection: A Pilot Study †
Simple Summary
Abstract
1. Introduction
2. Materials and Methods
2.1. Study Population and Study Design
2.2. Data and Biospecimen Collection
2.2.1. Demographic and Clinicopathological Data
2.2.2. Biospecimen Collection
2.3. Laboratory Methods
2.3.1. Detection of Serum DNA Methylation Biomarker mSEPT9
2.3.2. Detection of Serum Protein Biomarkers: IGFBP2, DKK3, and PKM2
2.3.3. Ancestry Informative Markers (AIMS) Panel Genotyping
2.4. Statistical Analysis
2.4.1. Study Power and Sample Size Calculation
2.4.2. Data Processing
2.4.3. Descriptive Analysis
2.4.4. Univariate Analysis
2.4.5. Multivariate Analysis
2.4.6. Statistical Software
3. Results
3.1. Demographic Characteristics
3.2. Clinicopathological and Molecular Characteristics
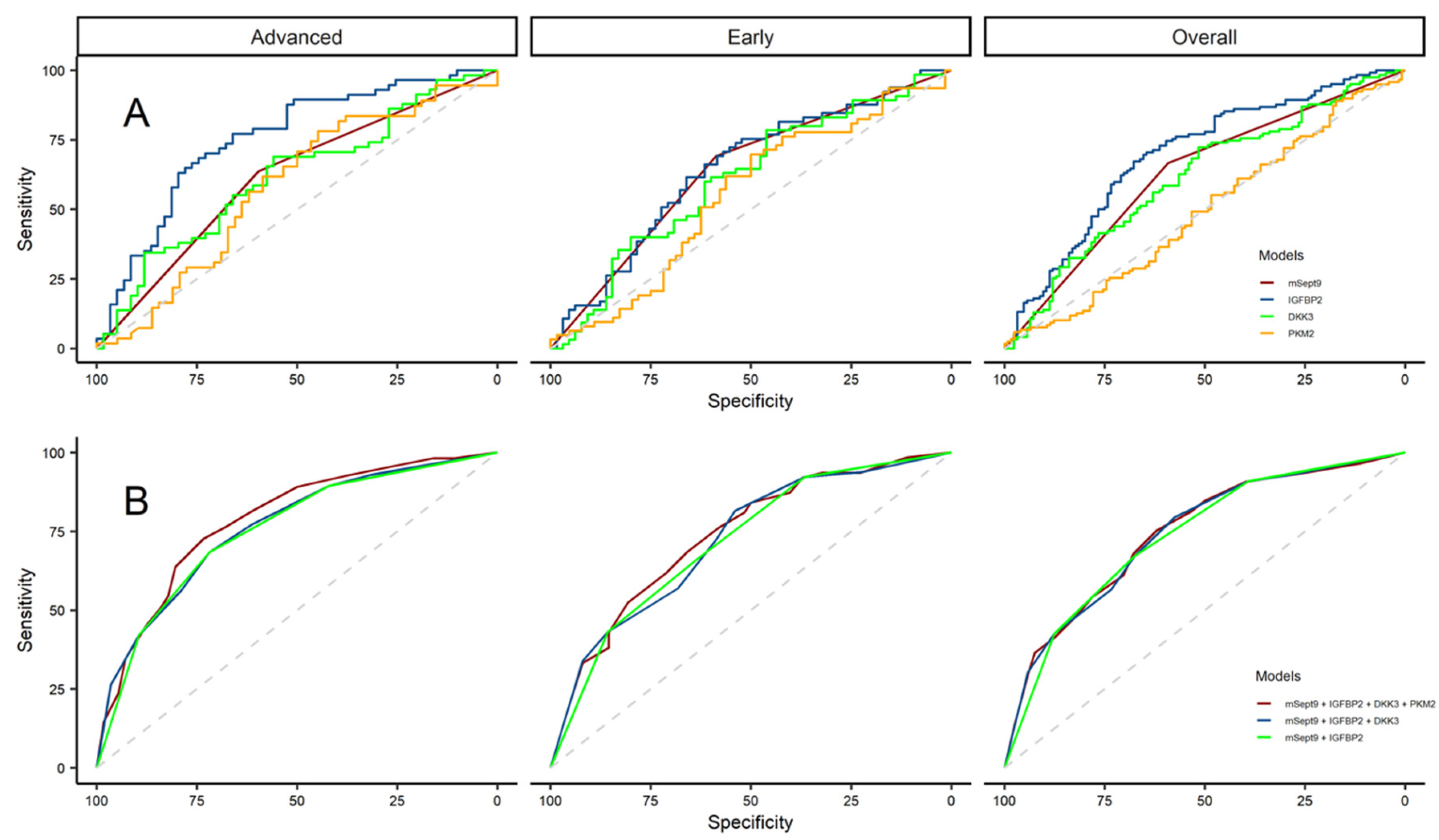
3.3. Individual Biomarker Analysis
3.4. Multivariate Analysis
4. Discussion
5. Conclusions
Author Contributions
Funding
Institutional Review Board Statement
Informed Consent Statement
Data Availability Statement
Acknowledgments
Conflicts of Interest
References
- International Agency for Researchon Cancer. Global Cancer Burden Growing, Amidst Mounting Need for Services. World Health Organization. 2024. Available online: https://www.who.int/news/item/01-02-2024-global-cancer-burden-growing--amidst-mounting-need-for-services (accessed on 6 June 2024).
- Ferlay, J.; Ervik, M.; Lam, F.; Laversanne, M.; Colombet, M.; Mery, L.; Piñeros, M.; Znaor, A.; Soerjomataram, I.F.B. Global Cancer Obervatory: Cancer Today; International Agency for Research on Cancer: Lyon, France, 2024. Available online: https://www.ncbi.nlm.nih.gov/pubmed/33538338 (accessed on 6 June 2024).
- Siegel, R.L.; Giaquinto, A.N.; Jemal, A. Cancer statistics, 2024. CA A Cancer J. Clin. 2024, 74, 12–49. [Google Scholar] [CrossRef]
- Torres Cintrón, C.R.; Suárez-Ramos, T.; Román-Ruiz, Y.; Ortiz Ortiz, K.J.; De Jesús-Monge, V.; Gierbolini-Bermúdez, A.; Zavala Zegarra, D.E.; Tortolero Luna, G. Cancer in Puerto Rico, 2012–2016; Puerto Rico Central Cancer Registry: San Juan, PR, USA, 2023. [Google Scholar]
- Bryc, K.; Velez, C.; Karafet, T.; Moreno-Estrada, A.; Reynolds, A.; Auton, A.; Hammer, M.; Bustamante, C.D.; Ostrer, H. Genome-wide patterns of population structure and admixture among Hispanic/Latino populations. Proc. Natl. Acad. Sci. USA 2010, 107 (Suppl. S2), 8954–8961. [Google Scholar] [CrossRef] [PubMed]
- Pérez-Mayoral, J.; Soto-Salgado, M.; Shah, E.; Kittles, R.; Stern, M.C.; Olivera, M.I.; Gonzalez-Pons, M.; Rodriguez-Quilichinni, S.; Torres, M.; Reyes, J.S.; et al. Association of genetic ancestry with colorectal tumor location in Puerto Rican Latinos. Hum. Genom. 2019, 13, 12. [Google Scholar] [CrossRef] [PubMed]
- Sharma, K.P.; Grosse, S.D.; Maciosek, M.V.; Joseph, D.; Roy, K.; Richardson, L.C.; Jaffe, H. Preventing Breast, Cervical, and Colorectal Cancer Deaths: Assessing the Impact of Increased Screening. Prev. Chronic Dis. 2020, 17, E123. [Google Scholar] [CrossRef] [PubMed]
- Davidson, K.W.; Barry, M.J.; Mangione, C.M.; Cabana, M.; Caughey, A.B.; Davis, E.M.; Donahue, K.E.; Doubeni, C.A.; Krist, A.H.; Kubik, M.; et al. Screening for Colorectal Cancer: US Preventive Services Task Force Recommendation Statement. JAMA 2021, 325, 1965. [Google Scholar] [CrossRef] [PubMed]
- Heichman, K.A. Blood-Based Testing for Colorectal Cancer Screening. Mol. Diagn. Ther. 2013, 18, 127–135. [Google Scholar] [CrossRef]
- Imperiale, T.F.; Ransohoff, D.F.; Itzkowitz, S.H.; Turnbull, B.A.; Ross, M.E. Fecal DNA versus Fecal Occult Blood for Colorectal-Cancer Screening in an Average-Risk Population. N. Engl. J. Med. 2004, 351, 2704–2714. [Google Scholar] [CrossRef]
- Chun, J.; Kim, J.-H.; Youn, Y.H.; Park, H. Noninvasive Testing for Colorectal Cancer Screening: Where Are We Now? J. Dig. Cancer Rep. 2023, 11, 85–92. [Google Scholar] [CrossRef]
- Imperiale, T.F.; Porter, K.; Zella, J.; Gagrat, Z.D.; Olson, M.C.; Statz, S.; Garces, J.; Lavin, P.T.; Aguilar, H.; Brinberg, D.; et al. Next-Generation Multitarget Stool DNA Test for Colorectal Cancer Screening. N. Engl. J. Med. 2024, 390, 984–993. [Google Scholar] [CrossRef]
- Ylitalo, K.R.; Camp, B.G.; Meyer, M.R.U.; Barron, L.A.; Benavidez, G.; Hess, B.; Laschober, R.; Griggs, J.O. Barriers and Facilitators of Colorectal Cancer Screening in a Federally Qualified Health Center (FQHC). J. Am. Board Fam. Med. 2019, 32, 180–190. [Google Scholar] [CrossRef]
- Kowalkowski, H.; Austin, G.; Guo, Y.; Miller-Wilson, L.-A.; Byfield, S.D. Patterns of colorectal cancer screening and adherence rates among an average-risk population enrolled in a national health insurance provider during 2009–2018 in the United States. Prev. Med. Rep. 2023, 36, 102497. [Google Scholar] [CrossRef] [PubMed]
- Honein-AbouHaidar, G.N.; Kastner, M.; Vuong, V.; Perrier, L.; Daly, C.; Rabeneck, L.; Straus, S.; Baxter, N.N. Systematic Review and Meta-study Synthesis of Qualitative Studies Evaluating Facilitators and Barriers to Participation in Colorectal Cancer Screening. Cancer Epidemiol. Biomark. Prev. 2016, 25, 907–917. [Google Scholar] [CrossRef] [PubMed]
- Miller, K.D.; Ortiz, A.P.; Pinheiro, P.S.; Bandi, P.; Minihan, A.; Fuchs, H.E.; Tyson, D.M.; Tortolero—Luna, G.; Fedewa, S.A.; Jemal, A.M.; et al. Cancer statistics for the US Hispanic/Latino population, 2021. CA A Cancer J. Clin. 2021, 71, 466–487. [Google Scholar] [CrossRef] [PubMed]
- National Cancer Institute and Center for Disease Control. State Cancer Profiles: Screening and Risk Factors Table. 2022. Available online: https://statecancerprofiles.cancer.gov/risk/index.php?stateFIPS=00&topic=colorec&risk=v14&race=00&sex=0&type=risk (accessed on 27 April 2023).
- Centers for Disease Control and Prevention, National Center for Chronic Disease Prevention and Health Promotion, Division of Population Health. BRFSS Prevalence & Trends Data. 2015. Available online: https://www.cdc.gov/brfss/brfssprevalence/ (accessed on 27 April 2023).
- Increase The Proportion of Adults Who Get Screened for Colorectal Cancer. Healthy People 2030. 2021. Available online: https://odphp.health.gov/healthypeople/objectives-and-data/browse-objectives/cancer/increase-proportion-adults-who-get-screened-colorectal-cancer-c-07/data?group-value=None&state=United%20States&from=2018&to=2018&populations=&op-value=Show%20Data#cit2 (accessed on 27 April 2023).
- Ioannou, S.; Sutherland, K.; Sussman, D.A.; Deshpande, A.R. Increasing uptake of colon cancer screening in a medically underserved population with the addition of blood-based testing. BMC Cancer 2021, 21, 966. [Google Scholar] [CrossRef]
- Chung, D.C.; Gray, D.M.; Singh, H.; Issaka, R.B.; Raymond, V.M.; Eagle, C.; Hu, S.; Chudova, D.I.; Talasaz, A.; Greenson, J.K.; et al. A Cell-free DNA Blood-Based Test for Colorectal Cancer Screening. N. Engl. J. Med. 2024, 390, 973–983. [Google Scholar] [CrossRef]
- Liles, E.G.; Coronado, G.D.; Perrin, N.; Harte, A.H.; Nungesser, R.; Quigley, N.; Potter, N.T.; Weiss, G.; Koenig, T.; Devos, T. Uptake of a colorectal cancer screening blood test is higher than of a fecal test offered in clinic: A randomized trial. Cancer Treat. Res. Commun. 2017, 10, 27–31. [Google Scholar] [CrossRef]
- de Wit, M.; Kant, H.; Piersma, S.R.; Pham, T.V.; Mongera, S.; van Berkel, M.P.; Boven, E.; Pontén, F.; Meijer, G.A.; Jimenez, C.R.; et al. Colorectal cancer candidate biomarkers identified by tissue secretome proteome profiling. J. Proteom. 2014, 99, 26–39. [Google Scholar] [CrossRef]
- Kanaan, Z.; Roberts, H.; Eichenberger, M.R.; Billeter, A.; Ocheretner, G.; Pan, J.; Rai, S.N.; Jorden, J.; Williford, A.; Galandiuk, S. A Plasma MicroRNA Panel for Detection of Colorectal Adenomas: A step toward more precise screening for colorectal cancer. Ann. Surg. 2013, 258, 400–408. [Google Scholar] [CrossRef]
- Marshall, K.W.; Mohr, S.; El Khettabi, F.; Nossova, N.; Chao, S.; Bao, W.; Ma, J.; Li, X.; Liew, C. A blood—Based biomarker panel for stratifying current risk for colorectal cancer. Int. J. Cancer 2009, 126, 1177–1186. [Google Scholar] [CrossRef]
- Pengjun, Z.; Xinyu, W.; Feng, G.; Xinxin, D.; Yulan, L.; Juan, L.; Xingwang, J.; Zhennan, D.; Yaping, T. Multiplexed Cytokine Profiling of Serum for Detection of Colorectal Cancer. Futur. Oncol. 2013, 9, 1017–1027. [Google Scholar] [CrossRef]
- Devos, T.; Tetzner, R.; Model, F.; Weiss, G.; Schuster, M.; Distler, J.; Steiger, K.V.; Grutzmann, R.; Pilarsky, C.; Habermann, J.K.; et al. Circulating Methylated SEPT9 DNA in Plasma Is a Biomarker for Colorectal Cancer. Clin. Chem. 2009, 55, 1337–1346. [Google Scholar] [CrossRef] [PubMed]
- Rex, D.K.; Kahi, C.J.; Levin, B.; Smith, R.A.; Bond, J.H.; Brooks, D.; Burt, R.W.; Byers, T.; Fletcher, R.H.; Hyman, N.; et al. Guidelines for Colonoscopy Surveillance After Cancer Resection: A Consensus Update by the American Cancer Society and the US Multi-Society Task Force on Colorectal Cancer. Gastroenterology 2006, 130, 1865–1871. [Google Scholar] [CrossRef] [PubMed]
- Maehata, T.; Taniguchi, H.; Yamamoto, H.; Nosho, K.; Adachi, Y.; Miyamoto, N.; Miyamoto, C.; Akutsu, N.; Yamaoka, S.; Itoh, F. Transcriptional silencing of Dickkopf gene family by CpG island hypermethylation in human gastrointestinal cancer. World J. Gastroenterol. 2008, 14, 2702–2714. [Google Scholar] [CrossRef]
- Sato, H.; Suzuki, H.; Toyota, M.; Nojima, M.; Maruyama, R.; Sasaki, S.; Takagi, H.; Sogabe, Y.; Sasaki, Y.; Idogawa, M.; et al. Frequent epigenetic inactivation of DICKKOPF family genes in human gastrointestinal tumors. Carcinogenesis 2007, 28, 2459–2466. [Google Scholar] [CrossRef] [PubMed]
- Zitt, M.; Untergasser, G.; Amberger, A.; Moser, P.; Stadlmann, S.; Zitt, M.; Müller, H.M.; Mühlmann, G.; Perathoner, A.; Margreiter, R.; et al. Dickkopf—3 As a New Potential Marker for Neoangiogenesis in Colorectal Cancer: Expression in Cancer Tissue and Adjacent Non—Cancerous Tissue. Dis. Markers 2008, 24, 101–109. [Google Scholar] [CrossRef]
- Vander Heiden, M.G.; Cantley, L.C.; Thompson, C.B. Understanding the Warburg Effect: The Metabolic Requirements of Cell Proliferation. Science 2009, 324, 1029–1033. [Google Scholar] [CrossRef]
- Fung, K.Y.; Tabor, B.; Buckley, M.J.; Priebe, I.K.; Purins, L.; Pompeia, C.; Brierley, G.V.; Lockett, T.; Gibbs, P.; Tie, J.; et al. Blood-Based Protein Biomarker Panel for the Detection of Colorectal Cancer. PLoS ONE 2015, 10, e0120425. [Google Scholar] [CrossRef]
- Church, T.R.; Wandell, M.; Lofton-Day, C.; Mongin, S.J.; Burger, M.; Payne, S.R.; Castaños-Vélez, E.; A Blumenstein, B.; Rösch, T.; Osborn, N.; et al. Prospective evaluation of methylated SEPT9 in plasma for detection of asymptomatic colorectal cancer. Gut 2013, 63, 317–325. [Google Scholar] [CrossRef] [PubMed]
- Puerto Rico Familiar Colorectal Cancer Registry (PURIFICAR). Available online: https://purificar.rcm.upr.edu/index_eng.html (accessed on 27 April 2023).
- Cruz-Correa, M.; Diaz-Algorri, Y.; Mendez, V.; Vazquez, P.J.; Lozada, M.E.; Freyre, K.; Lathroum, L.; Gonzalez-Pons, M.; Hernandez-Marrero, J.; Giardiello, F.; et al. Clinical characterization and mutation spectrum in Hispanic families with adenomatous polyposis syndromes. Fam. Cancer 2013, 12, 555–562. [Google Scholar] [CrossRef]
- Bulla, A.; De Witt, B.; Ammerlaan, W.; Betsou, F.; Lescuyer, P. Blood DNA Yield but Not Integrity or Methylation Is Impacted After Long-Term Storage. Biopreserv. Biobank. 2016, 14, 29–38. [Google Scholar] [CrossRef]
- Issa, I.A.; Noureddine, M. Colorectal cancer screening: An updated review of the available options. World J. Gastroenterol. 2017, 23, 5086–5096. [Google Scholar] [CrossRef] [PubMed]
- Robin, X.; Turck, N.; Hainard, A.; Tiberti, N.; Lisacek, F.; Sanchez, J.-C.; Müller, M. pROC: An open-source package for R and S+ to analyze and compare ROC curves. BMC Bioinform. 2011, 12, 77. [Google Scholar] [CrossRef]
- López-Ratón, M.; Rodríguez-Álvarez, M.X.; Cadarso Suárez, C.M.; Gude Sampedro, F. OptimalCutpoints: An R Package for Selecting Optimal Cutpoints in Diagnostic Tests. J. Stat. Softw. 2014, 61, 1–36. [Google Scholar] [CrossRef]
- DeLong, E.R.; DeLong, D.M.; Clarke-Pearson, D.L. Comparing the Areas under Two or More Correlated Receiver Operating Characteristic Curves: A Nonparametric Approach. Biometrics 1988, 44, 837–845. [Google Scholar] [CrossRef] [PubMed]
- Sun, G.; Meng, J.; Duan, H.; Zhang, D.; Tang, Y. Diagnostic Assessment of septin9 DNA Methylation for Colorectal Cancer Using Blood Detection: A Meta-Analysis. Pathol. Oncol. Res. 2018, 25, 1525–1534. [Google Scholar] [CrossRef]
- Hariharan, R.; Jenkins, M. Utility of the methylated SEPT9 test for the early detection of colorectal cancer: A systematic review and meta-analysis of diagnostic test accuracy. BMJ Open Gastroenterol. 2020, 7, e000355. [Google Scholar] [CrossRef] [PubMed]
- Perez-Mayoral, J.; Gonzalez-Pons, M.; Centeno-Girona, H.; Montes-Rodríguez, I.M.; Soto-Salgado, M.; Suárez, B.; Rodríguez, N.; Colón, G.; Sevilla, J.; Jorge, D.; et al. Molecular and Sociodemographic Colorectal Cancer Disparities in Latinos Living in Puerto Rico. Genes 2023, 14, 894. [Google Scholar] [CrossRef]
- Galanter, J.M.; Gignoux, C.R.; Oh, S.S.; Torgerson, D.; Pino-Yanes, M.; Thakur, N.; Eng, C.; Hu, D.; Huntsman, S.; Farber, H.J.; et al. Differential methylation between ethnic sub-groups reflects the effect of genetic ancestry and environmental exposures. eLife 2017, 6, e20532. [Google Scholar] [CrossRef]
- Liou, J.-M.; Shun, C.-T.; Liang, J.-T.; Chiu, H.-M.; Chen, M.-J.; Chen, C.; Wang, H.-P.; Wu, M.-S.; Lin, J.-T. Plasma Insulin-Like Growth Factor-Binding Protein-2 Levels as Diagnostic and Prognostic Biomarker of Colorectal Cancer. J. Clin. Endocrinol. Metab. 2010, 95, 1717–1725. [Google Scholar] [CrossRef]
- Šunderić, M.; Đukanović, B.; Malenković, V.; Nedić, O. Molecular forms of the insulin-like growth factor-binding protein-2 in patients with colorectal cancer. Exp. Mol. Pathol. 2014, 96, 48–53. [Google Scholar] [CrossRef]
- Vocka, M.; Langer, D.; Fryba, V.; Petrtyl, J.; Hanus, T.; Kalousova, M.; Zima, T.; Petruzelka, L. Novel serum markers HSP60, CHI3L1, and IGFBP-2 in metastatic colorectal cancer. Oncol. Lett. 2019, 18, 6284–6292. [Google Scholar] [CrossRef] [PubMed]
- Ben-Shmuel, A.; Shvab, A.; Gavert, N.; Brabletz, T.; Ben-Ze’Ev, A. Global analysis of L1-transcriptomes identified IGFBP-2 as a target of ezrin and NF-κB signaling that promotes colon cancer progression. Oncogene 2012, 32, 3220–3230. [Google Scholar] [CrossRef] [PubMed]
- Liu, Y.; Shen, S.; Yan, Z.; Yan, L.; Ding, H.; Wang, A.; Xu, Q.; Sun, L.; Yuan, Y. Expression characteristics and their functional role of IGFBP gene family in pan-cancer. BMC Cancer 2023, 23, 371. [Google Scholar] [CrossRef] [PubMed]
- Yau, S.W.; Azar, W.J.; Sabin, M.A.; Werther, G.A.; Russo, V.C. IGFBP-2-taking the lead in growth, metabolism and cancer. J. Cell Commun. Signal. 2015, 9, 125–142. [Google Scholar] [CrossRef] [PubMed]
- Li, T.; Forbes, M.E.; Fuller, G.N.; Li, J.; Yang, X.; Zhang, W. IGFBP2: Integrative hub of developmental and oncogenic signaling network. Oncogene 2020, 39, 2243–2257. [Google Scholar] [CrossRef] [PubMed]
- Brierley, G.V.; Fung, K.Y.C.; Purins, L.; Priebe, I.K.; Tabor, B.; Lockett, T.; Nice, E.; Gibbs, P.; Tie, J.; McMurrick, P.; et al. Cir-culating levels of the Wnt antagonist Dkk-3 as a diagnostic marker for colorectal cancer. J. Mol. Biomark. Diagn. 2013, S8, 8. [Google Scholar]
- Safari, E.; Mosayebi, G.; Khorrami, S. Dkk-3 as a potential biomarker for diagnosis and prognosis of colorectal cancer. Med. J. Islam. Repub. Iran 2018, 32, 502–506. [Google Scholar] [CrossRef] [PubMed]
- Zhao, S.; Hao, C.-L.; Zhao, E.-H.; Jiang, H.-M.; Zheng, H.-C. The Suppressing Effects of Dkk3 Expression on Aggressiveness and Tumorigenesis of Colorectal Cancer. Front. Oncol. 2020, 10, 600322. [Google Scholar] [CrossRef]
- Kawano, Y.; Kypta, R. Secreted antagonists of the Wnt signalling pathway. J. Cell Sci. 2003, 116, 2627–2634. [Google Scholar] [CrossRef] [PubMed]
- Hsieh, S.-Y.; Hsieh, P.-S.; Chiu, C.-T.; Chen, W.-Y. Dickkopf-3/REIC functions as a suppressor gene of tumor growth. Oncogene 2004, 23, 9183–9189. [Google Scholar] [CrossRef]
- Wang, Z.; Ma, L.-J.; Kang, Y.; Li, X.; Zhang, X.-J. Dickkopf-3 (Dkk3) induces apoptosis in cisplatin-resistant lung adenocarcinoma cells via the Wnt/β-catenin pathway. Oncol. Rep. 2014, 33, 1097–1106. [Google Scholar] [CrossRef] [PubMed]
- Zhang, T.; Liu, W.; Li, L.; Jue, Z.; Xu, C. Evaluation of serum and pleural levels tumor M2-pyruvate kinase in lung cancer patients with pleural effusion. BMC Pulm. Med. 2022, 22, 307. [Google Scholar] [CrossRef] [PubMed]
- Meng, W.; Zhu, H.-H.; Xu, Z.-F.; Cai, S.-R.; Dong, Q.; Pan, Q.-R.; Zheng, S.; Zhang, S.-Z. Serum M2-pyruvate kinase: A promising non-invasive biomarker for colorectal cancer mass screening. World J. Gastrointest. Oncol. 2012, 4, 145–151. [Google Scholar] [CrossRef] [PubMed]
- Ramdzan, A.R.; Rahim, M.A.A.; Zaki, A.M.; Zaidun, Z.; Nawi, A.M. Diagnostic Accuracy of FOBT and Colorectal Cancer Genetic Testing: A Systematic Review & Meta-Analysis. Ann. Glob. Health 2019, 85, 2466. [Google Scholar] [CrossRef]
- Elsafi, S.H.; Al-Qahtani, N.; Zakary, N.Y.; Al Zahrani, E.M. The sensitivity, specificity, predictive values, and likelihood ratios of fecal occult blood test for the detection of colorectal cancer in hospital settings. Clin. Exp. Gastroenterol. 2015, 8, 279–284. [Google Scholar] [CrossRef]
- Hauptman, N.; Glavač, D. Colorectal Cancer Blood-Based Biomarkers. Gastroenterol. Res. Pract. 2017, 2017, 2195361. [Google Scholar] [CrossRef]
- Issaka, R.B.; Bell-Brown, A.; Kao, J.; Snyder, C.; Atkins, D.L.; Chew, L.D.; Weiner, B.J.; Strate, L.; Inadomi, J.M.; Ramsey, S.D. Barriers associated with inadequate follow-up of abnormal fecal immunochemical test results in a safety-net system: A mixed-methods analysis. Prev. Med. Rep. 2022, 28, 101831. [Google Scholar] [CrossRef]
- Lin, K.W. mSEPT9 Blood Test (Epi proColon) for Colorectal Cancer Screening. Am. Fam. Physician 2019, 100, 10–11. Available online: https://www.aafp.org/pubs/afp/issues/2019/0701/p10.html (accessed on 22 November 2024).
- Aziz, Z.; Wagner, S.; Agyekum, A.; Pumpalova, Y.S.; Prest, M.; Lim, F.; Rustgi, S.; Kastrinos, F.; Grady, W.M.; Hur, C. Cost-Effectiveness of Liquid Biopsy for Colorectal Cancer Screening in Patients Who Are Unscreened. JAMA Netw. Open 2023, 6, e2343392. [Google Scholar] [CrossRef]
- Puttelaar, R.v.D.; de Lima, P.N.; Knudsen, A.B.; Rutter, C.M.; Kuntz, K.M.; de Jonge, L.; Escudero, F.A.; Lieberman, D.; Zauber, A.G.; Hahn, A.I.; et al. Effectiveness and Cost-Effectiveness of Colorectal Cancer Screening with a Blood Test That Meets the Centers for Medicare & Medicaid Services Coverage Decision. Gastroenterology 2024, 167, 368–377. [Google Scholar] [CrossRef]
- Tang, W.W.; Yimer, H.; Tummala, M.; Shao, S.; Chung, G.; Clement, J.; Chu, B.C.; Hubbell, E.; Kurtzman, K.N.; Swanton, C.; et al. Performance of a targeted methylation-based multi-cancer early detection test by race and ethnicity. Prev. Med. 2022, 167, 107384. [Google Scholar] [CrossRef] [PubMed]
- Klein, E.; Richards, D.; Cohn, A.; Tummala, M.; Lapham, R.; Cosgrove, D.; Chung, G.; Clement, J.; Gao, J.; Hunkapiller, N.; et al. Clinical validation of a targeted methylation-based multi-cancer early detection test using an independent validation set. Ann. Oncol. 2021, 32, 1167–1177. [Google Scholar] [CrossRef] [PubMed]
- Koppad, S.; Basava, A.; Nash, K.; Gkoutos, G.V.; Acharjee, A. Machine Learning-Based Identification of Colon Cancer Candidate Diagnostics Genes. Biology 2022, 11, 365. [Google Scholar] [CrossRef] [PubMed]
- Caraballo, E.V.; Centeno-Girona, H.; Yassin, A.; Cruz, N.; Rovira, L.; Pérez-Mayoral, J.; Gonzalez-Pons, M.; Rodriguez-Quilichini; Cruz-Correa, M. Diagnostic Accuracy of Blood-Based Biomarkers mSEPT9, IGFBP2, DKK3 and PKM2 for Colorectal Cancer Detection in Puerto Rican Hispanics. In Proceedings of the RCMI 2019 National Conference, Bethesda, MD, USA, 15–17 December 2019. [Google Scholar]
- Caraballo, E.V.; Cruz-Correa, M. Diagnostic accuracy of a blood-based biomarker panel for colorectal cancer detection. In Proceedings of the RCMI 2021 National Conference, Virtual, 24–26 March 2021. [Google Scholar]

| Characteristics | Control (n = 124) | CRC (n = 124) | p-Value |
|---|---|---|---|
| Median age [min–max] a | 54.5 [26.0–83.0] | 58.0 [33.0–85.0] | 0.120 |
| Age group b | |||
| <50 | 39 (31.5) | 36 (29.0) | 0.782 |
| ≥50 | 85 (68.5) | 88 (71.0) | |
| Gender b | |||
| Female | 61 (49.2) | 61 (49.2) | 0.999 |
| Male | 63 (50.8) | 63 (50.8) | |
| Educational attainment b | |||
| <12 | 48 (47.5) | 48 (51.1) | 0.726 |
| ≥12 | 53 (52.5) | 46 (48.9) | |
| Marital statusb | |||
| Single/divorced/widowed | 53 (64.6) | 54 (67.5) | 0.827 |
| Married/living together | 29 (35.4) | 26 (32.5) | |
| BMI b | |||
| Underweight/normal (<25) | 34 (28.1) | 28 (23.3) | 0.485 |
| Overweight/obese (≥125) | 87 (71.9) | 92 (76.7) | |
| Insurance b | |||
| Private Insurance | 38 (39.2) | 38 (38.4) | 0.331 |
| Government Health Insurance Plan (Vital) | 34 (35.1) | 26 (26.3) | |
| Other/none | 25 (25.8) | 34 (34.3) | |
| Health regions b | |||
| Aguadilla/Mayagüez | 1 (0.9) | 4 (3.8) | 0.199 |
| Arecibo | 11 (10.3) | 12 (11.3) | |
| Bayamón | 21 (19.6) | 24 (22.6) | |
| Caguas | 21 (19.6) | 23 (21.7) | |
| Fajardo | 1 (0.9) | 5 (4.7) | |
| Metro | 48 (44.9) | 31 (29.2) | |
| Ponce | 4 (3.7) | 7 (6.6) | |
| Current smoker b | |||
| No | 14 (11.6) | 8 (7.1) | 0.341 |
| Yes | 107 (88.4) | 105 (92.9) | |
| Current drinker b | |||
| No | 42 (34.4) | 29 (25.9) | 0.202 |
| Yes | 80 (65.6) | 83 (74.1) | |
| Diagnosed with diabetes mellitus b | |||
| Yes | 100 (83.3) | 85 (72.0) | 0.0525 |
| No | 20 (16.7) | 33 (28.0) | |
| Family member diagnosed with CRC b | |||
| Yes | 83 (70.9) | 92 (78.0) | 0.278 |
| No | 34 (29.1) | 26 (22.0) | |
| Location b | |||
| Proximal | 0 (0.0) | 20 (17.4) | N/A |
| Distal | 0 (0.0) | 91 (79.1) | N/A |
| Colon unclassified | 0 (0.0) | 4 (3.5) | N/A |
| CRC stages b | |||
| I | 0 (0.0) | 26 (21.0) | N/A |
| II | 0 (0.0) | 39 (31.5) | N/A |
| III | 0 (0.0) | 49 (39.5) | N/A |
| IV | 0 (0.0) | 10 (8.1) | N/A |
| Dichotomized stages b | |||
| Early | 0 (0.0) | 65 (52.4) | N/A |
| Advanced | 0 (0.0) | 59 (47.6) | N/A |
| Ancestry a | |||
| African | 0.21 (0.14) | 0.21 (0.10) | 0.9183 |
| Amerindian | 0.18 (0.07) | 0.19 (0.07) | 0.0844 |
| European | 0.62 (0.14) | 0.60 (0.12) | 0.4114 |
| mSEPT9 b | |||
| Negative | 71 (59.2) | 41 (33.3) | 0.0001 |
| Positive | 49 (40.8) | 82 (66.7) |
| Overall | |||||||
| Biomarker | Control | CRC | p-Value d | ||||
| n | Mean ± sd (pg/mL) a | Median [Min–Max] (pg/mL) a | n | Mean ± sd (pg/mL) a | Median [Min–Max] (pg/mL) a | ||
| mSEPT9 b | 120 | 0.4 ± 0.5 | 0 [0–1] | 123 | 0.7 ± 0.5 | 1 [0–1] | <0.001 |
| IGFBP2 c | 124 | 77,686.9 ± 112,386.3 | 59,483.9 [10,669.3–1,150,318.5] | 122 | 108,648.4 ± 94,665.4 | 82,894 [24,672.8–603,590.3] | <0.001 |
| DKK3 c | 124 | 34,991.4 ± 16,655.7 | 30,081.9 [7,606.5–122,490.5] | 123 | 39,655 ± 14,491.9 | 37,660.2 [14,713.2–87,652.1] | 0.002 |
| PKM2 c | 122 | 412.2 ± 426.9 | 264.8 [6.4–2830.8] | 118 | 521.5 ± 1440.1 | 260 [7.8–15,226.9] | 0.839 |
| Early | |||||||
| Biomarker | Control | CRC | p-Value d | ||||
| n | Mean ± sd (pg/mL) a | Median [Min–Max] (pg/mL) a | n | Mean ± sd (pg/mL) a | Median [Min–Max] (pg/mL) a | ||
| mSEPT9 b | 63 | 0.4 ± 0.5 | 0 [0–1] | 65 | 0.7 ± 0.5 | 1 [0–1] | 0.002 |
| IGFBP2 c | 65 | 87,462.9 ± 140,240.4 | 62,499.4 [18,390.1–1,150,318.5] | 65 | 101,994.8 ± 81,791.1 | 85,617.8 [30,020.4–592,800.1] | 0.004 |
| DKK3 c | 65 | 37,486.2 ± 18,180.9 | 34,392.6 [12,774.1–122,490.5] | 65 | 41,205.2 ± 13,592.5 | 39,873.7 [16,892.5–87,652.1] | 0.032 |
| PKM2 c | 64 | 469.5 ± 518.2 | 253.1 [6.4–2830.8] | 63 | 714.8 ± 1929.8 | 340.1 [7.8–15,226.9] | 0.310 |
| Advanced | |||||||
| Biomarker | Control | CRC | p-Value d | ||||
| n | Mean ± sd (pg/mL) a | Median [Min–Max] (pg/mL) a | n | Mean ± sd (pg/mL) a | Median [Min–Max] (pg/mL) a | ||
| mSEPT9 b | 57 | 0.4 ± 0.5 | 0 [0–1] | 58 | 0.6 ± 0.5 | 1 [0–1] | 0.012 |
| IGFBP2 c | 59 | 66,916.8 ± 69,704.6 | 48,588.2 [10,669.3–454,458.1] | 57 | 116,235.9 ± 107,739.8 | 81,277.8 [24,672.8–603,590.3] | <0.001 |
| DKK3 c | 59 | 32,243 ± 14,453.5 | 29,241.1 [7606.5–91,130.4] | 58 | 37,917.7 ± 15,370.4 | 35,332.9 [14,713.2–81,936.8] | 0.026 |
| PKM2 c | 58 | 349 ± 286.7 | 282.1 [21.7–1164] | 55 | 300.1 ± 352.5 | 188.5 [18.6–1787.8] | 0.138 |
| Biomarker | Early | Advanced | p-Value d | ||||
|---|---|---|---|---|---|---|---|
| n | Mean ± sd (pg/mL) a | Median [Min–Max] (pg/mL) a | n | Mean ± sd (pg/mL) a | Median [Min–Max] (pg/mL) a | ||
| mSEPT9 b | 65 | 0.7 ± 0.5 | 1 [0–1] | 58 | 0.6 ± 0.5 | 1 [0–1] | 0.5268 |
| IGFBP2 c | 65 | 101,994.8 ± 81,791.1 | 85,617.8 [30,020.4–592,800.1] | 57 | 116,235.9 ± 107,739.8 | 81,277.8 [24,672.8–603,590.3] | 0.8414 |
| DKK3 c | 65 | 41,205.2 ± 13,592.5 | 39,873.7 [16,892.5–87,652.1] | 58 | 37,917.7 ± 15,370.4 | 35,332.9 [14,713.2–81,936.8] | 0.0873 |
| PKM2 c | 63 | 714.8 ± 1929.8 | 340.1 [7.8–15,226.9] | 55 | 300.1 ± 352.5 | 188.5 [18.6–1787.8] | 0.0014 |
| Biomarker | n | AUC (95% CI) a | Sensitivity b | Specificity b | PPV b | NPV b |
|---|---|---|---|---|---|---|
| Overall (n = 248) | ||||||
| mSEPT9 | 243 | 62.9 (56.8–69.0) | 66.7 (57.6–74.9) | 59.2 (49.8–68.0) | 62.6 (53.7–70.9) | 63.4 (53.8–72.3) |
| IGFBP2 | 246 | 69.7 (63.1–76.3) | 67.2 (58.1–75.4) | 66.9 (57.9–75.1) | 66.7 (57.6–74.9) | 67.5 (58.4–75.6) |
| DKK3 | 247 | 61.6 (54.6–68.6) | 58.5 (49.3–67.3) | 58.1 (48.9–66.9) | 58.1 (48.9–66.9) | 58.5 (49.3–67.3) |
| PKM2 | 240 | 50.8 (43.4–58.1) | 49.2 (39.8–58.5) | 49.2 (40.0–58.4) | 48.3 (39.1–57.6) | 50.0 (40.7–59.3) |
| Early (n = 130) | ||||||
| mSEPT9 | 128 | 64.0 (55.6–72.3) | 69.2 (56.6–80.1) | 58.7 (45.6–71.0) | 63.4 (51.1–74.5) | 64.9 (51.1–77.1) |
| IGFBP2 | 130 | 64.6 (55.0–74.1) | 66.2 (53.4–77.4) | 61.5 (48.6–73.3) | 63.2 (50.7–74.6) | 64.5 (51.3–76.3) |
| DKK3 | 130 | 60.9 (51.2–70.7) | 64.6 (51.8–76.1) | 50.8 (38.1–63.4) | 56.8 (44.7–68.2) | 58.9 (45.0–71.9) |
| PKM2 | 127 | 55.2 (45.0–65.4) | 61.9 (48.8–73.9) | 50.0 (37.2–62.8) | 54.9 (42.7–66.8) | 57.1 (43.2–70.3) |
| Advanced (n = 118) | ||||||
| mSEPT9 | 115 | 61.7 (52.8–70.7) | 63.8 (50.1–76.0) | 59.6 (45.8–72.4) | 61.7 (48.2–73.9) | 61.8 (47.7–74.6) |
| IGFBP2 | 116 | 75.5 (66.6–84.4) | 68.4 (54.8–80.1) | 72.9 (59.7–83.6) | 70.9 (57.1–82.4) | 70.5 (57.4–81.5) |
| DKK3 | 117 | 62.0 (51.7–72.2) | 51.7 (38.2–65.0) | 66.1 (52.6–77.9) | 60.0 (45.2–73.6) | 58.2 (45.5–70.2) |
| PKM2 | 113 | 58.1 (47.4–68.8) | 34.5 (22.2–48.6) | 48.3 (35.0–61.8) | 38.8 (25.2–53.8) | 43.8 (31.4–56.7) |
| Biomarker Model | Cut-Off | AUC (95% CI) | Sensitivity | Specificity | PPV | NPV |
|---|---|---|---|---|---|---|
| Overall (n = 248) | ||||||
| Model 1 a | 0.5178 | 74.4 (68.1–80.6) | 67.8 (58.6–76.1) | 67.8 (58.6–76.1) | 67.8 (58.6–76.1) | 67.8 (58.6–76.1) |
| Model 2 b | 0.4989 | 74.2 (68.1–80.4) | 56.6 (47.3–65.5) | 73.3 (64.5–81.0) | 68.3 (58.3–77.2) | 62.4 (53.9–70.4) |
| Model 3 c | 0.5405 | 73.5 (67.4–79.5) | 42.6 (33.7–51.9) | 87.5 (80.2–92.8) | 77.6 (65.8–86.9) | 60.0 (52.3–67.3) |
| Early (n = 130) | ||||||
| Model 1 a | 0.4787 | 73.7 (65.0–82.4) | 61.9 (48.8–73.9) | 71.0 (58.1–81.8) | 68.4 (54.8–80.1) | 64.7 (52.2–75.9) |
| Model 2 b | 0.5124 | 72.3 (63.7–81.0) | 56.9 (44.0–69.2) | 68.3 (55.3–79.4) | 64.9 (51.1–77.1) | 60.6 (48.3–72.0) |
| Model 3 c | 0.4924 | 71.7 (63.2–80.2) | 43.1 (30.8–56.0) | 85.7 (74.6–93.3) | 75.7 (58.8–88.2) | 59.3 (48.5–69.5) |
| Advanced (n = 118) | ||||||
| Model 1 a | 0.5087 | 78.6 (70.0–87.1) | 63.6 (49.6–76.2) | 80.4 (67.6–89.8) | 76.1 (61.2–87.4) | 69.2 (56.6–80.1) |
| Model 2 b | 0.5520 | 76.2 (67.6–84.9) | 68.4 (54.8–80.1) | 71.9 (58.5–83.0) | 70.9 (57.1–82.4) | 69.5 (56.1–80.8) |
| Model 3 c | 0.5968 | 75.4 (66.7–84.0 | 68.4 (54.8–80.1) | 71.9 (58.5–83.0) | 70.9 (57.1–82.4) | 69.5 (56.1–80.8) |
| Models to Compare | Overall | Early Stage | Advanced Stage | |||
|---|---|---|---|---|---|---|
| AUC (%) | p-Value | AUC (%) | p-Value | AUC (%) | p-Value | |
| Multivariate Model Comparisons | ||||||
| Model 1 a vs. Model 2 b | 74.4 | 0.9775 | 73.7 | 0.8328 | 78.6 | 0.7069 |
| 74.2 | 72.3 | 76.2 | ||||
| Model 1 vs. Model 3 c | 74.4 | 0.8392 | 73.7 | 0.7514 | 78.6 | 0.6047 |
| 73.5 | 71.7 | 75.4 | ||||
| Model 2 vs. Model 3 | 74.2 | 0.2969 | 72.3 | 0.6756 | 76.2 | 0.4017 |
| 73.5 | 71.7 | 75.4 | ||||
| Model 1 vs. Univariate Models | ||||||
| Model 1 | 74.4 | - | 73.7 | - | 78.6 | - |
| mSEPT9 | 62.9 | <0.05 | 64.0 | 0.116 | 61.7 | <0.05 |
| IGFBP2 | 69.7 | 0.3166 | 64.6 | 0.1685 | 75.5 | 0.6239 |
| DKK3 | 61.6 | <0.05 | 60.9 | 0.0579 | 62.0 | <0.05 |
| PKM2 | 50.8 | <0.05 | 55.2 | <0.05 | 58.1 | <0.05 |
Disclaimer/Publisher’s Note: The statements, opinions and data contained in all publications are solely those of the individual author(s) and contributor(s) and not of MDPI and/or the editor(s). MDPI and/or the editor(s) disclaim responsibility for any injury to people or property resulting from any ideas, methods, instructions or products referred to in the content. |
© 2024 by the authors. Licensee MDPI, Basel, Switzerland. This article is an open access article distributed under the terms and conditions of the Creative Commons Attribution (CC BY) license (https://creativecommons.org/licenses/by/4.0/).
Share and Cite
Caraballo, E.V.; Centeno-Girona, H.; Torres-Velásquez, B.C.; Martir-Ocasio, M.M.; González-Pons, M.; López-Acevedo, S.N.; Cruz-Correa, M. Diagnostic Accuracy of a Blood-Based Biomarker Panel for Colorectal Cancer Detection: A Pilot Study. Cancers 2024, 16, 4176. https://doi.org/10.3390/cancers16244176
Caraballo EV, Centeno-Girona H, Torres-Velásquez BC, Martir-Ocasio MM, González-Pons M, López-Acevedo SN, Cruz-Correa M. Diagnostic Accuracy of a Blood-Based Biomarker Panel for Colorectal Cancer Detection: A Pilot Study. Cancers. 2024; 16(24):4176. https://doi.org/10.3390/cancers16244176
Chicago/Turabian StyleCaraballo, Elba V., Hilmaris Centeno-Girona, Brenda Carolina Torres-Velásquez, Madeline M. Martir-Ocasio, María González-Pons, Sheila N. López-Acevedo, and Marcia Cruz-Correa. 2024. "Diagnostic Accuracy of a Blood-Based Biomarker Panel for Colorectal Cancer Detection: A Pilot Study" Cancers 16, no. 24: 4176. https://doi.org/10.3390/cancers16244176
APA StyleCaraballo, E. V., Centeno-Girona, H., Torres-Velásquez, B. C., Martir-Ocasio, M. M., González-Pons, M., López-Acevedo, S. N., & Cruz-Correa, M. (2024). Diagnostic Accuracy of a Blood-Based Biomarker Panel for Colorectal Cancer Detection: A Pilot Study. Cancers, 16(24), 4176. https://doi.org/10.3390/cancers16244176

