Explainable Thyroid Cancer Diagnosis Through Two-Level Machine Learning Optimization with an Improved Naked Mole-Rat Algorithm
Simple Summary
Abstract
1. Introduction
- Developing an effective classification model to support thyroid cancer diagnosis by optimizing parameters and selecting features.
- Adapting and applying the naked mole-rat algorithm for parameter optimization and feature selection of classification models, comparing its performance to that of the default classifier settings.
- Focusing on model explainability by utilizing the SHAP values method.
2. Literature Review
3. Materials and Methods
3.1. Dataset
3.2. Machine Learning Algorithms
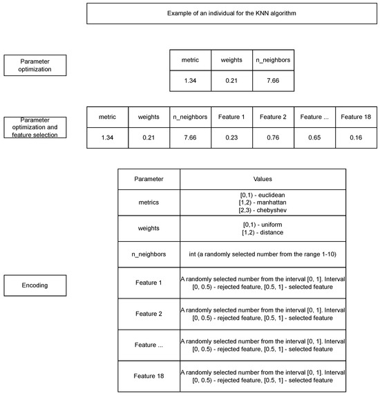
3.3. Parameter Optimization and Feature Selection
- epoch—200
- pop_size—1000
- pb (breeding probability)—0.75
- pm (probability of mutation)—0.1
3.4. Metrics
3.5. Experiment Schema
- 1-level optimizer: Optimization of Classifier Parameters.
- 2-level optimizer: Optimization of Classifier Parameters and Feature Selection.
4. Results
- Processor: Intel(R) Xeon(R) Gold 6258R CPU @ 2.70 GHz 2.69 GHz (2 processors)
- Installed RAM: 1.50 TB
- Windows Specifications: Windows Server 2022 Standard
4.1. Classifiers with Default Parameter Values
4.2. 1-Level Optimizer—Optimization of Classifier Parameters
4.3. 2-Level Optimizer—Optimization of Classifier Parameters and Feature Selection
4.4. Explainability of the Model
4.5. Application of SMOTE and ADASYN for Data Balancing
5. Discussion
- Adaptation of the naked mole-rat algorithm for optimizing classifier parameters (1-level optimizer).
- Adaptation of the naked mole-rat algorithm for optimizing classifier parameters and selecting features (2-level optimizer).
- Conducting experiments with ten different classification methods, including top-performing algorithms for tabular data, such as XGBoost and LightGBM.
- Performing an explainability analysis of the best model using Shap values.
- The research was conducted using a single dataset from China, comprising 1232 data samples. This dataset may be insufficient to ensure a high generalization ability for the model and could lead to a degree of overfitting. The next step in developing these models will be to create a significantly larger dataset. Furthermore, acquiring data from diverse geographical regions would be highly beneficial, as it would allow consideration of local factors such as diet, environmental conditions, and access to healthcare. Unfortunately, such data are not currently publicly available. Nevertheless, the author remains optimistic that more datasets will become accessible in the future, enabling further advancements in this research.
- The author focused exclusively on the naked mole-rat algorithm. In recent years, several effective biology-inspired algorithms have been developed, such as the Coati optimization algorithm [57], success history intelligent optimization [58], and fennec fox optimization [59]. These algorithms have seen limited application in conjunction with machine learning methods.
- The author also believes it would be worthwhile to explore the use of ensemble machine learning models based on voting or model blending (stacking). This approach may lead to even higher classification accuracy.
6. Conclusions
Supplementary Materials
Funding
Institutional Review Board Statement
Informed Consent Statement
Data Availability Statement
Conflicts of Interest
References
- Horgan, D.; Führer-Sakel, D.; Soares, P.; Alvarez, C.V.; Fugazzola, L.; Netea-Maier, R.T.; Jarzab, B.; Kozaric, M.; Bartes, B.; Schuster-Bruce, J.; et al. Tackling Thyroid Cancer in Europe—The Challenges and Opportunities. Healthcare 2022, 10, 1621. [Google Scholar] [CrossRef] [PubMed]
- Lim, H.; Devesa, S.S.; Sosa, J.A.; Check, D.; Kitahara, C.M. Trends in Thyroid Cancer Incidence and Mortality in the United States, 1974–2013. JAMA 2017, 317, 1338. [Google Scholar] [CrossRef] [PubMed]
- Smittenaar, C.R.; Petersen, K.A.; Stewart, K.; Moitt, N. Cancer incidence and mortality projections in the UK until 2035. Br. J. Cancer 2016, 115, 1147–1155. [Google Scholar] [CrossRef]
- Shank, J.B.; Are, C.; Wenos, C.D. Thyroid Cancer: Global Burden and Trends. Indian J. Surg. Oncol. 2021, 13, 40–45. [Google Scholar] [CrossRef]
- Ferlay, J.; Ervik, M.; Lam, F.; Colombet, M.; Mery, L.; Piñeros, M.; Znaor, A.; Soerjomataram, I.; Bray, F. Global Cancer Observatory: Cancer Today (Version 1.1); International Agency for Research on Cancer: Lyon, France; Available online: https://gco.iarc.who.int/today (accessed on 27 October 2024).
- Boucai, L.; Zafereo, M.; Cabanillas, M.E. Thyroid Cancer: A Review. JAMA 2024, 331, 425. [Google Scholar] [CrossRef]
- Facts About Thyroid Cancer. Available online: https://www.thyca.org/about/thyroid-cancer-facts/ (accessed on 27 October 2024).
- Yuan, Y.; Sun, P.; Xiao, H.; Li, L.; Li, J.; Ai, X. Risk of second primary thyroid cancer in cancer survivors. Sci. Rep. 2024, 14, 12478. [Google Scholar] [CrossRef] [PubMed]
- Piek, M.W.; de Boer, J.P.; van Duijnhoven, F.; van der Wal, J.E.; Vriens, M.; van Leeuwaarde, R.S.; van der Ploeg, I.M.C. The co-occurrence of both breast- and differentiated thyroid cancer: Incidence, association and clinical implications for daily practice. BMC Cancer 2022, 22, 1018. [Google Scholar] [CrossRef]
- Varlamova, E.V.; Butakova, M.A.; Semyonova, V.V.; Soldatov, S.A.; Poltavskiy, A.V.; Kit, O.I.; Soldatov, A.V. Machine Learning Meets Cancer. Cancers 2024, 16, 1100. [Google Scholar] [CrossRef]
- Abdar, M.; Zomorodi-Moghadam, M.; Zhou, X.; Gururajan, R.; Tao, X.; Barua, P.D.; Gururajan, R. A new nested ensemble technique for automated diagnosis of breast cancer. Pattern Recognit. Lett. 2020, 132, 123–131. [Google Scholar] [CrossRef]
- Książek, W.; Turza, F.; Pławiak, P. NCA-GA-SVM: A new two-level feature selection method based on neighborhood component analysis and genetic algorithm in hepatocellular carcinoma fatality prognosis. Int. J. Numer. Methods Biomed. Eng. 2022, 38, e3599. [Google Scholar] [CrossRef]
- Hammad, M.; ElAffendi, M.; Ateya, A.A.; Abd El-Latif, A.A. Efficient Brain Tumor Detection with Lightweight End-to-End Deep Learning Model. Cancers 2023, 15, 2837. [Google Scholar] [CrossRef] [PubMed]
- Woźniacki, A.; Książek, W.; Mrowczyk, P. A Novel Approach for Predicting the Survival of Colorectal Cancer Patients Using Machine Learning Techniques and Advanced Parameter Optimization Methods. Cancers 2024, 16, 3205. [Google Scholar] [CrossRef] [PubMed]
- Qiao, L.; Li, H.; Wang, Z.; Sun, H.; Feng, G.; Yin, D. Machine learning based on SEER database to predict distant metastasis of thyroid cancer. Endocrine 2023, 84, 1040–1050. [Google Scholar] [CrossRef] [PubMed]
- Li, X.; Zhang, S.; Zhang, Q.; Wei, X.; Pan, Y.; Zhao, J.; Xin, X.; Qin, C.; Wang, X.; Li, J.; et al. Diagnosis of thyroid cancer using deep convolutional neural network models applied to sonographic images: A retrospective, multicohort, diagnostic study. Lancet Oncol. 2019, 20, 193–201. [Google Scholar] [CrossRef]
- Naglah, A.; Khalifa, F.; Khaled, R.; Abdel Razek, A.A.K.; Ghazal, M.; Giridharan, G.; El-Baz, A. Novel MRI-Based CAD System for Early Detection of Thyroid Cancer Using Multi-Input CNN. Sensors 2021, 21, 3878. [Google Scholar] [CrossRef]
- Abdolali, F.; Kapur, J.; Jaremko, J.L.; Noga, M.; Hareendranathan, A.R.; Punithakumar, K. Automated thyroid nodule detection from ultrasound imaging using deep convolutional neural networks. Comput. Biol. Med. 2020, 122, 103871. [Google Scholar] [CrossRef]
- Sharma, R.; Mahanti, G.K.; Panda, G.; Rath, A.; Dash, S.; Mallik, S.; Hu, R. A Framework for Detecting Thyroid Cancer from Ultrasound and Histopathological Images Using Deep Learning, Meta-Heuristics, and MCDM Algorithms. J. Imaging 2023, 9, 173. [Google Scholar] [CrossRef]
- Borzooei, S.; Briganti, G.; Golparian, M.; Lechien, J.R.; Tarokhian, A. Machine learning for risk stratification of thyroid cancer patients: A 15-year cohort study. Eur. Arch. Oto-Rhino 2023, 281, 2095–2104. [Google Scholar] [CrossRef]
- Zhang, X.; Lee, V.C.S.; Rong, J.; Liu, F.; Kong, H. Multi-channel convolutional neural network architectures for thyroid cancer detection. PLoS ONE 2022, 17, e0262128. [Google Scholar] [CrossRef]
- Wang, Y.; Guan, Q.; Lao, I.; Wang, L.; Wu, Y.; Li, D.; Ji, Q.; Wang, Y.; Zhu, Y.; Lu, H.; et al. Using deep convolutional neural networks for multi-classification of thyroid tumor by histopathology: A large-scale pilot study. Ann. Transl. Med. 2019, 7, 468. [Google Scholar] [CrossRef]
- Yoon, J.; Lee, E.; Koo, J.S.; Yoon, J.H.; Nam, K.H.; Lee, J.; Jo, Y.S.; Moon, H.J.; Park, V.Y.; Kwak, J.Y. Artificial intelligence to predict the BRAFV600E mutation in patients with thyroid cancer. PLoS ONE 2020, 15, e0242806. [Google Scholar] [CrossRef] [PubMed]
- Xi, N.M.; Wang, L.; Yang, C. Improving the diagnosis of thyroid cancer by machine learning and clinical data. Sci. Rep. 2022, 12, 11143. [Google Scholar] [CrossRef] [PubMed]
- Xi, N.M.; Wang, L.; Yang, C. Improving The Diagnosis of Thyroid Cancer by Machine Learning and Clinical Data. Available online: https://zenodo.org/records/6465436 (accessed on 27 October 2024).
- Abdar, M.; Zomorodi-Moghadam, M.; Zhou, X. An Ensemble-Based Decision Tree Approach for Educational Data Mining. In Proceedings of the 2018 5th International Conference on Behavioral, Economic, and Socio-Cultural Computing (BESC), Kaohsiung, Taiwan, 12–14 November 2018; Volume 6, pp. 126–129. [Google Scholar] [CrossRef]
- El Bilali, A.; Abdeslam, T.; Ayoub, N.; Lamane, H.; Ezzaouini, M.A.; Elbeltagi, A. An interpretable machine learning approach based on DNN, SVR, Extra Tree, and XGBoost models for predicting daily pan evaporation. J. Environ. Manag. 2023, 327, 116890. [Google Scholar] [CrossRef]
- Xie, Y.; Jiang, B.; Gong, E.; Li, Y.; Zhu, G.; Michel, P.; Wintermark, M.; Zaharchuk, G. Use of Gradient Boosting Machine Learning to Predict Patient Outcome in Acute Ischemic Stroke on the Basis of Imaging, Demographic, and Clinical Information. Am. J. Roentgenol. 2019, 212, 44–51. [Google Scholar] [CrossRef]
- Zhang, Z. Introduction to machine learning: K-nearest neighbors. Ann. Transl. Med. 2016, 4, 218. [Google Scholar] [CrossRef]
- Gan, M.; Pan, S.; Chen, Y.; Cheng, C.; Pan, H.; Zhu, X. Application of the Machine Learning LightGBM Model to the Prediction of the Water Levels of the Lower Columbia River. J. Mar. Sci. Eng. 2021, 9, 496. [Google Scholar] [CrossRef]
- Nusinovici, S.; Tham, Y.C.; Chak Yan, M.Y.; Wei Ting, D.S.; Li, J.; Sabanayagam, C.; Wong, T.Y.; Cheng, C.Y. Logistic regression was as good as machine learning for predicting major chronic diseases. J. Clin. Epidemiol. 2020, 122, 56–69. [Google Scholar] [CrossRef]
- Cortes, C.; Vapnik, V. Support-vector networks. Mach. Learn. 1995, 20, 273–297. [Google Scholar] [CrossRef]
- Liu, Y.; Wang, Y.; Zhang, J. New Machine Learning Algorithm: Random Forest. In Information Computing and Applications; Springer: Berlin/Heidelberg, Germany, 2012; pp. 246–252. [Google Scholar] [CrossRef]
- Wang, R.; Zhang, J.; Shan, B.; He, M.; Xu, J. XGBoost Machine Learning Algorithm for Prediction of Outcome in Aneurysmal Subarachnoid Hemorrhage. Neuropsychiatr. Dis. Treat. 2022, 18, 659–667. [Google Scholar] [CrossRef]
- Pagliaro, A. Forecasting Significant Stock Market Price Changes Using Machine Learning: Extra Trees Classifier Leads. Electronics 2023, 12, 4551. [Google Scholar] [CrossRef]
- Oladejo, S.O.; Ekwe, S.O.; Mirjalili, S. The Hiking Optimization Algorithm: A novel human-based metaheuristic approach. Knowl.-Based Syst. 2024, 296, 111880. [Google Scholar] [CrossRef]
- Hosseinalipour, A.; Ghanbarzadeh, R.; Arasteh, B.; Soleimanian Gharehchopogh, F.; Mirjalili, S. A metaheuristic approach based on coronavirus herd immunity optimiser for breast cancer diagnosis. Clust. Comput. 2024, 27, 9451–9475. [Google Scholar] [CrossRef]
- Holland, J.H. Adaptation in Natural and Artificial Systems: An Introductory Analysis with Applications to Biology, Control, and Artificial Intelligence; The MIT Press: Cambridge, MA, USA, 1992. [Google Scholar] [CrossRef]
- Pławiak, P. Novel genetic ensembles of classifiers applied to myocardium dysfunction recognition based on ECG signals. Swarm Evol. Comput. 2018, 39, 192–208. [Google Scholar] [CrossRef]
- Hiesh, M.H.; Lam Andy, Y.Y.; Shen, C.P.; Chen, W.; Lin, F.S.; Sung, H.Y.; Lin, J.W.; Chiu, M.J.; Lai, F. Classification of schizophrenia using Genetic Algorithm-Support Vector Machine (GA-SVM). In Proceedings of the 2013 35th Annual International Conference of the IEEE Engineering in Medicine and Biology Society (EMBC), Osaka, Japan, 3–7 July 2013; pp. 6047–6050. [Google Scholar] [CrossRef]
- Islam, M.R.; Islam, M.S.; Majumder, S. Breast Cancer Prediction: A Fusion of Genetic Algorithm, Chemical Reaction Optimization, and Machine Learning Techniques. Appl. Comput. Intell. Soft Comput. 2024, 2024, 7221343. [Google Scholar] [CrossRef]
- Pałka, F.; Książek, W.; Pławiak, P.; Romaszewski, M.; Książek, K. Hyperspectral Classification of Blood-Like Substances Using Machine Learning Methods Combined with Genetic Algorithms in Transductive and Inductive Scenarios. Sensors 2021, 21, 2293. [Google Scholar] [CrossRef]
- Książek, W.; Hammad, M.; Pławiak, P.; Acharya, U.R.; Tadeusiewicz, R. Development of novel ensemble model using stacking learning and evolutionary computation techniques for automated hepatocellular carcinoma detection. Biocybern. Biomed. Eng. 2020, 40, 1512–1524. [Google Scholar] [CrossRef]
- Abdar, M.; Książek, W.; Acharya, U.R.; Tan, R.S.; Makarenkov, V.; Pławiak, P. A new machine learning technique for an accurate diagnosis of coronary artery disease. Comput. Methods Programs Biomed. 2019, 179, 104992. [Google Scholar] [CrossRef]
- Salgotra, R.; Singh, U. The naked mole-rat algorithm. Neural Comput. Appl. 2019, 31, 8837–8857. [Google Scholar] [CrossRef]
- Kaliappan, J.; Bagepalli, A.R.; Almal, S.; Mishra, R.; Hu, Y.C.; Srinivasan, K. Impact of Cross-Validation on Machine Learning Models for Early Detection of Intrauterine Fetal Demise. Diagnostics 2023, 13, 1692. [Google Scholar] [CrossRef]
- Chawla, N.V.; Bowyer, K.W.; Hall, L.O.; Kegelmeyer, W.P. SMOTE: Synthetic minority over-sampling technique. J. Artif. Int. Res. 2002, 16, 321–357. [Google Scholar] [CrossRef]
- He, H.; Bai, Y.; Garcia, E.A.; Li, S. ADASYN: Adaptive synthetic sampling approach for imbalanced learning. In Proceedings of the 2008 IEEE International Joint Conference on Neural Networks (IEEE World Congress on Computational Intelligence), Hong Kong, China, 1–8 June 2008; pp. 1322–1328. [Google Scholar] [CrossRef]
- Harris, C.R.; Millman, K.J.; van der Walt, S.J.; Gommers, R.; Virtanen, P.; Cournapeau, D.; Wieser, E.; Taylor, J.; Berg, S.; Smith, N.J.; et al. Array programming with NumPy. Nature 2020, 585, 357–362. [Google Scholar] [CrossRef]
- Pandas Development Team. Pandas-dev/Pandas: Pandas. 2020. Available online: https://zenodo.org/records/13819579 (accessed on 7 October 2024).
- Van Thieu, N.; Mirjalili, S. MEALPY: An open-source library for latest meta-heuristic algorithms in Python. J. Syst. Archit. 2023, 139, 102871. [Google Scholar] [CrossRef]
- Pedregosa, F.; Varoquaux, G.; Gramfort, A.; Michel, V.; Thirion, B.; Grisel, O.; Blondel, M.; Prettenhofer, P.; Weiss, R.; Dubourg, V.; et al. Scikit-learn: Machine Learning in Python. J. Mach. Learn. Res. 2011, 12, 2825–2830. [Google Scholar]
- Lemaître, G.; Nogueira, F.; Aridas, C.K. Imbalanced-learn: A Python Toolbox to Tackle the Curse of Imbalanced Datasets in Machine Learning. J. Mach. Learn. Res. 2017, 18, 1–5. [Google Scholar]
- Alabi, R.O.; Elmusrati, M.; Leivo, I.; Almangush, A.; Mäkitie, A.A. Machine learning explainability in nasopharyngeal cancer survival using LIME and SHAP. Sci. Rep. 2023, 13, 8984. [Google Scholar] [CrossRef]
- Wang, K.; Tian, J.; Zheng, C.; Yang, H.; Ren, J.; Liu, Y.; Han, Q.; Zhang, Y. Interpretable prediction of 3-year all-cause mortality in patients with heart failure caused by coronary heart disease based on machine learning and SHAP. Comput. Biol. Med. 2021, 137, 104813. [Google Scholar] [CrossRef]
- Sun, J.; Sun, C.K.; Tang, Y.X.; Liu, T.C.; Lu, C.J. Application of SHAP for Explainable Machine Learning on Age-Based Subgrouping Mammography Questionnaire Data for Positive Mammography Prediction and Risk Factor Identification. Healthcare 2023, 11, 2000. [Google Scholar] [CrossRef]
- Dehghani, M.; Montazeri, Z.; Trojovská, E.; Trojovský, P. Coati Optimization Algorithm: A new bio-inspired metaheuristic algorithm for solving optimization problems. Knowl.-Based Syst. 2023, 259, 110011. [Google Scholar] [CrossRef]
- Fakhouri, H.N.; Hamad, F.; Alawamrah, A. Success history intelligent optimizer. J. Supercomput. 2021, 78, 6461–6502. [Google Scholar] [CrossRef]
- Trojovska, E.; Dehghani, M.; Trojovsky, P. Fennec Fox Optimization: A New Nature-Inspired Optimization Algorithm. IEEE Access 2022, 10, 84417–84443. [Google Scholar] [CrossRef]














| Population | Number of Cases | Number of Deaths |
|---|---|---|
| Oceania | 5046 | 338 |
| Africa | 19,740 | 4936 |
| Latin America and the Caribbean | 63,530 | 4604 |
| Northern America | 57,747 | 2595 |
| Europe | 78,552 | 5902 |
| Asia | 596,599 | 29,132 |
| Total | 821,214 | 47,507 |
| Article | Database | Model | Accuracy [%] |
|---|---|---|---|
| [15] | Tabular data—25,729 records | Random Forest | 90.6 |
| [16] | 300k ultrasound images | CNN | 89 |
| [17] | MRI from 49 patients | CNN | 87 |
| [18] | 821 ultrasound images | Mask R-CNN | 84 |
| [19] | 347 ultrasound images | PCA + FOX optimizer + Random Forest | 99.13 |
| [20] | Tabular data—383 records | SVM | 99.33 |
| [21] | 917 ultrasound images 2352 CT scans | Xception | 98.9 97.5 |
| [22] | 11,715 histopathological images | Inception-ResNet-v2 VGG-19 | 94.42 97.34 |
| [23] | 14,194 ultrasound images | CNN | 57.7 |
| [24] | Tabular data—1232 records | Random Forest | 78.01 |
| Feature | Values | Mean | Median | Std | Mode |
|---|---|---|---|---|---|
| Age | The age of the patient | 46.6104 | 47.000 | 12.4468 | 55.000 |
| Gender | Patient gender, 0: male, 1: female | 0.8377 | 1 | 0.3689 | 1.000 |
| FT3 | Triiodothyronine test result | 4.4715 | 4.350 | 1.1467 | 4.000 |
| FT4 | Thyroxine test result | 15.1040 | 14.510 | 3.3390 | 14.000 |
| TSH | Thyroid-stimulating hormone test result | 2.0440 | 1.456 | 4.6276 | 0.421 |
| TPO | Thyroid peroxidase antibody test result | 72.6771 | 0.625 | 203.3970 | 5.000 |
| TGAb | Thyroglobulin antibodies test result | 57.8556 | 2.690 | 177.1801 | 4.000 |
| Site | The nodule location, 0: right, 1: left, 2: isthmus | 0.6071 | 1.000 | 0.6334 | 0.000 |
| Echo_pattern | Thyroid echogenicity, 0: even, 1: uneven | 0.1088 | 0.000 | 0.3115 | 0.000 |
| Multifocality | If multiple nodules exist in one location, 0: no, 1: yes | 0.4610 | 0.000 | 0.4987 | 0.000 |
| Size | The nodule size in cm | 1.7313 | 1.300 | 1.3140 | 1.000 |
| Shape | The nodule shape, 0: regular, 1: irregular | 0.2070 | 0.000 | 0.4053 | 0.000 |
| Margin | The clarity of nodule margin, 0: clear; 1: unclear | 0.6705 | 1.000 | 0.4702 | 1.000 |
| Calcification | The nodule calcification, 0: absent, 1: present | 0.3994 | 0.000 | 0.4900 | 0.000 |
| Echo_strength | the nodule echogenicity, 0: none, 1: isoechoic, 2: medium-echogenic, 3: hyperechogenic, 4: hypoechogenic | 3.6721 | 4.000 | 0.8268 | 4.000 |
| Blood_flow | The nodule blood flow, 0: normal, 1: enriched | 0.3620 | 0.000 | 0.4808 | 0.000 |
| Composition | The nodule composition, 0: cystic, 1: mixed, 2: solid | 1.8726 | 2.000 | 0.4000 | 2.000 |
| Multilateral | If nodules occur in more than one location, 0: no, 1: yes | 0.7679 | 1.000 | 0.4224 | 1.000 |
| Mal | The nodule malignancy, 0: benign, 1: malignant | 0.6648 | 1.000 | 0.4723 | 1.000 |
| Classifier | Parameters |
|---|---|
| Decision tree | criterion, splitter, max_depth, min_samples_split, min_samples_leaf, min_weight_fraction_leaf, max_leaf_nodes, min_impurity_decrease, ccp_alpha |
| Extra tree | criterion, splitter, max_depth, min_samples_split, min_samples_leaf, min_weight_fraction_leaf, max_leaf_nodes, min_impurity_decrease, ccp_alpha |
| Gradient boosting | n_estimators, max_depth, loss, learning_rate, criterion, subsample, min_samples_split, min_samples_leaf, min_weight_fraction_leaf, min_impurity_decrease, max_leaf_nodes, ccp_alpha |
| Knn | metric, weights, n_neighbors |
| LightGBM | n_estimators, max_depth, min_child_weight, learning_rate, gamma, subsample, colsample_bytree, reg_alpha, reg_lambda, eval_metric, num_leaves, min_child_samples, bagging_freq, feature_fraction, bagging_fraction |
| Logistic regression | C, max_iter, penalty, dual, fit_intercept, solver, l1_ratio |
| NuSVM | kernel, nu, degree, gamma |
| Random forest | criterion, n_estimators, max_depth, min_samples_split, min_samples_leaf, min_weight_fraction_leaf, max_leaf_nodes, min_impurity_decrease, ccp_alpha, bootstrap, max_samples |
| XgBoost | n_estimators, max_depth, min_child_weight, learning_rate, gamma, subsample, colsample_bytree, reg_alpha, reg_lambda |
| Extra trees | criterion, n_estimators, max_depth, min_samples_split, min_samples_leaf, min_weight_fraction_leaf, max_leaf_nodes, min_impurity_decrease, ccp_alpha, bootstrap, max_samples |
| Classifier | Accuracy | F1-Score | AUC | Recall | Precision |
|---|---|---|---|---|---|
| Decision Tree | 0.6988 | 0.772 | 0.66 | 0.768 | 0.7767 |
| Extra Tree | 0.7045 | 0.7767 | 0.67 | 0.7741 | 0.7804 |
| Gradient Boosting | 0.7735 | 0.8331 | 0.83 | 0.8498 | 0.8177 |
| KNN | 0.724 | 0.7935 | 0.77 | 0.7997 | 0.7891 |
| LightGBM | 0.7654 | 0.8273 | 0.82 | 0.8462 | 0.8096 |
| Logistic Regression | 0.7792 | 0.8354 | 0.84 | 0.8413 | 0.8306 |
| NuSVM | 0.7752 | 0.8313 | 0.83 | 0.8351 | 0.8285 |
| Random Forest | 0.7719 | 0.8314 | 0.83 | 0.8462 | 0.8175 |
| XgBoost | 0.7451 | 0.8115 | 0.81 | 0.8266 | 0.7975 |
| Extra Trees | 0.767 | 0.8265 | 0.82 | 0.8352 | 0.8186 |
| Classifier | Accuracy | F1-Score | AUC | Recall | Precision |
|---|---|---|---|---|---|
| Decision Tree | 0.7768 | 0.8258 | 0.82 | 0.7973 | 0.8583 |
| Extra Tree | 0.763 | 0.8108 | 0.78 | 0.7692 | 0.863 |
| Gradient Boosting | 0.8052 | 0.8562 | 0.85 | 0.873 | 0.8404 |
| KNN | 0.7533 | 0.8139 | 0.80 | 0.812 | 0.8169 |
| LightGBM | 0.8068 | 0.8572 | 0.85 | 0.873 | 0.8426 |
| Logistic Regression | 0.7971 | 0.8512 | 0.84 | 0.873 | 0.832 |
| NuSVM | 0.7905 | 0.8418 | 0.83 | 0.84 | 0.8452 |
| Random Forest | 0.8011 | 0.8573 | 0.85 | 0.8987 | 0.8201 |
| XgBoost | 0.8077 | 0.8595 | 0.85 | 0.8865 | 0.8351 |
| Extra Trees | 0.8003 | 0.8571 | 0.85 | 0.9011 | 0.8186 |
| Classifier | Number of Features | Accuracy | F1-Score | AUC | Recall | Precision |
|---|---|---|---|---|---|---|
| Decision Tree | 10 | 0.7914 | 0.8365 | 0.83 | 0.8034 | 0.8735 |
| Extra Tree | 14 | 0.7914 | 0.8407 | 0.82 | 0.8279 | 0.8557 |
| Gradient Boosting | 12 | 0.8093 | 0.8588 | 0.85 | 0.8731 | 0.8456 |
| KNN | 10 | 0.7857 | 0.8407 | 0.83 | 0.8522 | 0.8304 |
| LightGBM | 13 | 0.8182 | 0.8662 | 0.86 | 0.884 | 0.8497 |
| Logistic Regression | 14 | 0.8019 | 0.8507 | 0.83 | 0.8498 | 0.8538 |
| NuSVM | 13 | 0.8044 | 0.8505 | 0.84 | 0.8388 | 0.864 |
| Random Forest | 13 | 0.8133 | 0.8646 | 0.85 | 0.8962 | 0.8355 |
| XgBoost | 11 | 0.8141 | 0.8636 | 0.85 | 0.884 | 0.8446 |
| Extra Trees | 13 | 0.8068 | 0.8571 | 0.84 | 0.8718 | 0.8433 |
| Classifier | Oversampling | Accuracy | F1-Score | AUC | Recall | Precision |
|---|---|---|---|---|---|---|
| Decision Tree | SMOTE | 0.7646 | 0.8105 | 0.82 | 0.7594 | 0.8705 |
| ADASYN | 0.7598 | 0.8052 | 0.82 | 0.7484 | 0.8737 | |
| Extra Tree | SMOTE | 0.7443 | 0.7902 | 0.79 | 0.7276 | 0.8683 |
| ADASYN | 0.7614 | 0.8102 | 0.80 | 0.768 | 0.859 | |
| Gradient Boosting | SMOTE | 0.7744 | 0.8232 | 0.85 | 0.7913 | 0.8589 |
| ADASYN | 0.776 | 0.8221 | 0.84 | 0.7814 | 0.8687 | |
| KNN | SMOTE | 0.7662 | 0.8124 | 0.83 | 0.7619 | 0.8707 |
| ADASYN | 0.741 | 0.7853 | 0.82 | 0.7155 | 0.8729 | |
| LightGBM | SMOTE | 0.7768 | 0.8267 | 0.84 | 0.801 | 0.8556 |
| ADASYN | 0.7776 | 0.8262 | 0.84 | 0.7961 | 0.86 | |
| Logistic Regression | SMOTE | 0.7566 | 0.8023 | 0.83 | 0.7448 | 0.8703 |
| ADASYN | 0.7387 | 0.7831 | 0.82 | 0.7118 | 0.8716 | |
| NuSVM | SMOTE | 0.7711 | 0.8151 | 0.84 | 0.7607 | 0.8795 |
| ADASYN | 0.7435 | 0.7903 | 0.80 | 0.7313 | 0.8634 | |
| Random Forest | SMOTE | 0.7768 | 0.8212 | 0.85 | 0.7728 | 0.8773 |
| ADASYN | 0.776 | 0.819 | 0.84 | 0.7643 | 0.8836 | |
| XgBoost | SMOTE | 0.7825 | 0.8307 | 0.85 | 0.8034 | 0.8608 |
| ADASYN | 0.7833 | 0.8313 | 0.84 | 0.8046 | 0.8609 | |
| Extra Trees | SMOTE | 0.7679 | 0.8141 | 0.83 | 0.7668 | 0.8693 |
| ADASYN | 0.759 | 0.803 | 0.84 | 0.7435 | 0.8762 |
| Classifier | Metric | Xi et al. [24] | Current Study |
|---|---|---|---|
| XgBoost | Accuracy | 0.7722 | 0.8141 |
| Random Forest | Accuracy | 0.7801 | 0.8133 |
| LightGBM | Accuracy | - | 0.8182 |
Disclaimer/Publisher’s Note: The statements, opinions and data contained in all publications are solely those of the individual author(s) and contributor(s) and not of MDPI and/or the editor(s). MDPI and/or the editor(s) disclaim responsibility for any injury to people or property resulting from any ideas, methods, instructions or products referred to in the content. |
© 2024 by the author. Licensee MDPI, Basel, Switzerland. This article is an open access article distributed under the terms and conditions of the Creative Commons Attribution (CC BY) license (https://creativecommons.org/licenses/by/4.0/).
Share and Cite
Książek, W. Explainable Thyroid Cancer Diagnosis Through Two-Level Machine Learning Optimization with an Improved Naked Mole-Rat Algorithm. Cancers 2024, 16, 4128. https://doi.org/10.3390/cancers16244128
Książek W. Explainable Thyroid Cancer Diagnosis Through Two-Level Machine Learning Optimization with an Improved Naked Mole-Rat Algorithm. Cancers. 2024; 16(24):4128. https://doi.org/10.3390/cancers16244128
Chicago/Turabian StyleKsiążek, Wojciech. 2024. "Explainable Thyroid Cancer Diagnosis Through Two-Level Machine Learning Optimization with an Improved Naked Mole-Rat Algorithm" Cancers 16, no. 24: 4128. https://doi.org/10.3390/cancers16244128
APA StyleKsiążek, W. (2024). Explainable Thyroid Cancer Diagnosis Through Two-Level Machine Learning Optimization with an Improved Naked Mole-Rat Algorithm. Cancers, 16(24), 4128. https://doi.org/10.3390/cancers16244128

