Comparisons of Intravesical Treatments with Mitomycin C, Gemcitabine, and Docetaxel for Recurrence and Progression of Non-Muscle Invasive Bladder Cancer: Updated Systematic Review and Meta-Analysis
Simple Summary
Abstract
1. Introduction
2. Materials and Methods
2.1. Search Strategy and Selection Criteria for the Studies
2.2. Data Extraction and Statistical Data Analysis
3. Results
3.1. GEM and/or DOCE Treatment and Risks of NMIBC Recurrence or Progression
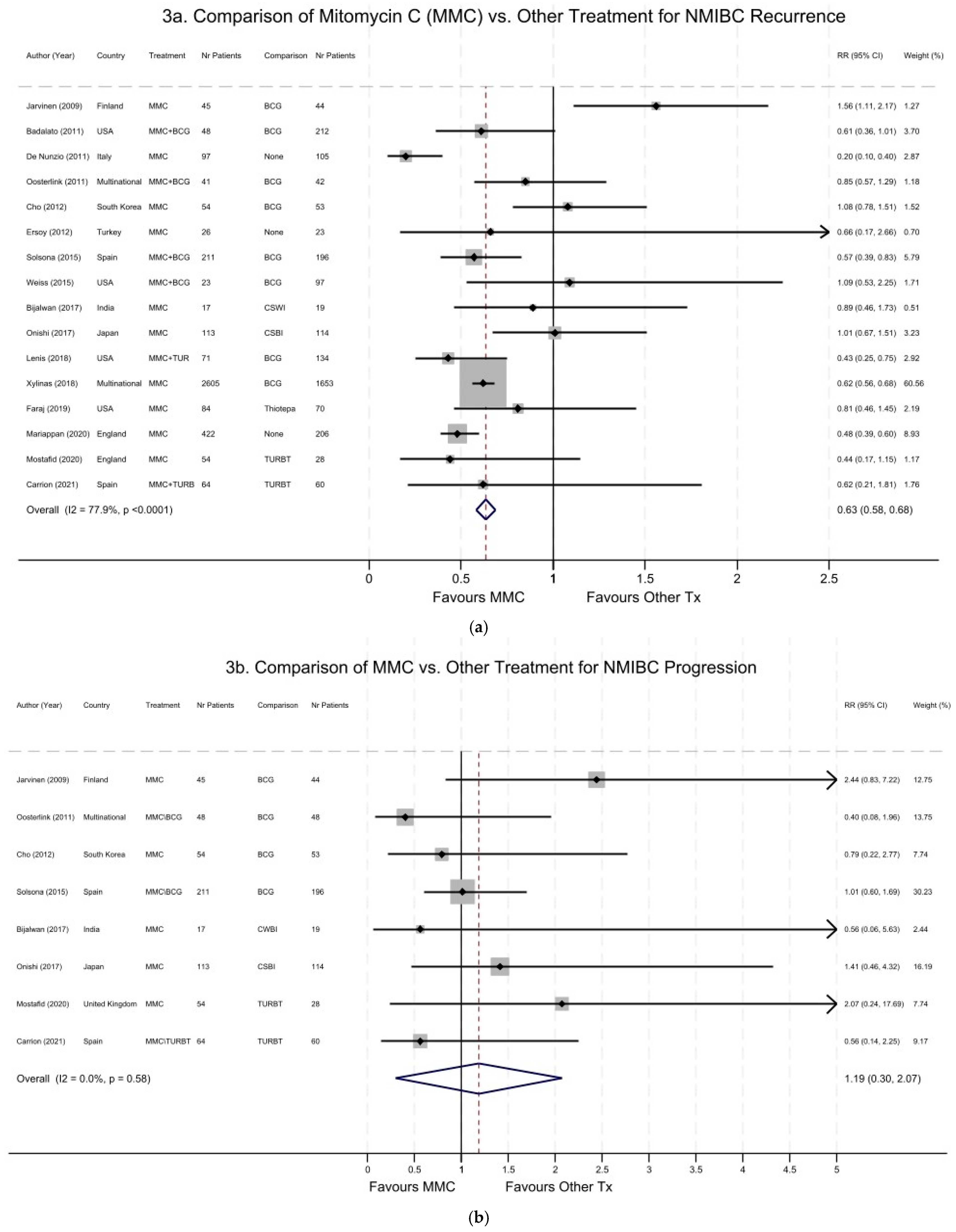
3.2. MMC Treatment and Risks of NMIBC Recurrence or Progression
3.3. Recurrence-Free Survival (RFS) for NMIBC in Relation to GEM, MMC, or the Combination of Treatments
4. Discussion
5. Conclusions
Supplementary Materials
Author Contributions
Funding
Data Availability Statement
Conflicts of Interest
Abbreviations
References
- American Cancer Society. Cancer Facts and Figures 2024; American Cancer Society: Atlanta, GA, USA, 2024. [Google Scholar]
- Bray, F.; Laversanne, M.; Sung, H.; Ferlay, J.; Siegel, R.L.; Soerjomataram, I.; Jemal, A. Global cancer statistics 2022: GLOBOCAN estimates of incidence and mortality worldwide for 36 cancers in 185 countries. CA Cancer J. Clin. 2024, 74, 229–263. [Google Scholar] [CrossRef] [PubMed]
- Cumberbatch, M.G.K.; Jubber, I.; Black, P.C.; Esperto, F.; Figueroa, J.D.; Kamat, A.M.; Kiemeney, L.; Lotan, Y.; Pang, K.; Silverman, D.T.; et al. Epidemiology of Bladder Cancer: A Systematic Review and Contemporary Update of Risk Factors in 2018. Eur. Urol. 2018, 74, 784–795. [Google Scholar] [CrossRef] [PubMed]
- Kiriluk, K.J.; Prasad, S.M.; Patel, A.R.; Steinberg, G.D.; Smith, N.D. Bladder cancer risk from occupational and environmental exposures. Urol. Oncol. 2012, 30, 199–211. [Google Scholar] [CrossRef] [PubMed]
- Zhao, X.; Wang, Y.; Liang, C. Cigarette smoking and risk of bladder cancer: A dose-response meta-analysis. Int. Urol. Nephrol. 2022, 54, 1169–1185. [Google Scholar] [CrossRef]
- Chang, S.S.; Boorjian, S.A.; Chou, R.; Clark, P.E.; Daneshmand, S.; Konety, B.R.; Pruthi, R.; Quale, D.Z.; Ritch, C.R.; Seigne, J.D.; et al. Diagnosis and Treatment of Non-Muscle Invasive Bladder Cancer: AUA/SUO Guideline. J. Urol. 2016, 196, 1021–1029. [Google Scholar] [CrossRef]
- Kamat, A.M.; Hahn, N.M.; Efstathiou, J.A.; Lerner, S.P.; Malmstrom, P.U.; Choi, W.; Guo, C.C.; Lotan, Y.; Kassouf, W. Bladder cancer. Lancet 2016, 388, 2796–2810. [Google Scholar] [CrossRef]
- Barocas, D.A.; Globe, D.R.; Colayco, D.C.; Onyenwenyi, A.; Bruno, A.S.; Bramley, T.J.; Spear, R.J. Surveillance and treatment of non-muscle-invasive bladder cancer in the USA. Adv. Urol. 2012, 2012, 421709. [Google Scholar] [CrossRef]
- Lee, L.J.; Kwon, C.S.; Forsythe, A.; Mamolo, C.M.; Masters, E.T.; Jacobs, I.A. Humanistic and Economic Burden of Non-Muscle Invasive Bladder Cancer: Results of Two Systematic Literature Reviews. ClinicoEcon. Outcomes Res. 2020, 12, 693–709. [Google Scholar] [CrossRef]
- Michaeli, J.C.; Boch, T.; Albers, S.; Michaeli, T.; Michaeli, D.T. Socio-economic burden of disease: Survivorship costs for bladder cancer. J. Cancer Policy 2022, 32, 100326. [Google Scholar] [CrossRef]
- Morales, A.; Eidinger, D.; Bruce, A.W. Intracavitary Bacillus Calmette-Guerin in the treatment of superficial bladder tumors. J. Urol. 1976, 116, 180–183. [Google Scholar] [CrossRef]
- Witjes, J.A.; vd Meijden, A.P.; Debruyne, F.M. Use of intravesical bacillus Calmette-Guerin in the treatment of superficial transitional cell carcinoma of the bladder: An overview. Urol. Int. 1990, 45, 129–136. [Google Scholar] [CrossRef] [PubMed]
- Gontero, P.; Birtle, A.; Capoun, O.; Comperat, E.; Dominguez-Escrig, J.L.; Liedberg, F.; Mariappan, P.; Masson-Lecomte, A.; Mostafid, H.A.; Pradere, B.; et al. European Association of Urology Guidelines on Non-muscle-invasive Bladder Cancer (TaT1 and Carcinoma In Situ)-A Summary of the 2024 Guidelines Update. Eur. Urol. 2024, S0302-2838(24)02514-4. [Google Scholar] [CrossRef] [PubMed]
- Holzbeierlein, J.M.; Bixler, B.R.; Buckley, D.I.; Chang, S.S.; Holmes, R.; James, A.C.; Kirkby, E.; McKiernan, J.M.; Schuckman, A.K. Diagnosis and Treatment of Non-Muscle Invasive Bladder Cancer: AUA/SUO Guideline: 2024 Amendment. J. Urol. 2024, 211, 533–538. [Google Scholar] [CrossRef] [PubMed]
- Babjuk, M.; Burger, M.; Capoun, O.; Cohen, D.; Comperat, E.M.; Dominguez Escrig, J.L.; Gontero, P.; Liedberg, F.; Masson-Lecomte, A.; Mostafid, A.H.; et al. European Association of Urology Guidelines on Non-muscle-invasive Bladder Cancer (Ta, T1, and Carcinoma in Situ). Eur. Urol. 2022, 81, 75–94. [Google Scholar] [CrossRef] [PubMed]
- Han, M.A.; Maisch, P.; Jung, J.H.; Hwang, J.E.; Narayan, V.; Cleves, A.; Hwang, E.C.; Dahm, P. Intravesical gemcitabine for non-muscle invasive bladder cancer. Cochrane Database Syst. Rev. 2021, 6, CD009294. [Google Scholar] [CrossRef]
- Ye, Z.; Chen, J.; Hong, Y.; Xin, W.; Yang, S.; Rao, Y. The efficacy and safety of intravesical gemcitabine vs Bacille Calmette-Guerin for adjuvant treatment of non-muscle invasive bladder cancer: A meta-analysis. OncoTargets Ther. 2018, 11, 4641–4649. [Google Scholar] [CrossRef]
- Li, R.; Li, Y.; Song, J.; Gao, K.; Chen, K.; Yang, X.; Ding, Y.; Ma, X.; Wang, Y.; Li, W.; et al. Intravesical gemcitabine versus mitomycin for non-muscle invasive bladder cancer: A systematic review and meta-analysis of randomized controlled trial. BMC Urol. 2020, 20, 97. [Google Scholar] [CrossRef]
- Higgins, J.P.; Altman, D.G.; Gotzsche, P.C.; Juni, P.; Moher, D.; Oxman, A.D.; Savovic, J.; Schulz, K.F.; Weeks, L.; Sterne, J.A.; et al. The Cochrane Collaboration’s tool for assessing risk of bias in randomised trials. BMJ 2011, 343, d5928. [Google Scholar] [CrossRef]
- Egger, M.; Smith, G.D.; Phillips, A.N. Meta-analysis: Principles and procedures. BMJ 1997, 315, 1533–1537. [Google Scholar] [CrossRef]
- Begg, C.B.; Mazumdar, M. Operating characteristics of a rank correlation test for publication bias. Biometrics 1994, 50, 1088–1101. [Google Scholar] [CrossRef]
- Egger, M.; Davey Smith, G.; Schneider, M.; Minder, C. Bias in meta-analysis detected by a simple, graphical test. BMJ 1997, 315, 629–634. [Google Scholar] [CrossRef] [PubMed]
- Pagano, M.; Gauvreau, K.; Mattie, H. Principles of Biostatistics, 3rd ed.; CRC Press: Boca Raton, FL, USA; Taylor & Francis Group: Abingdon, UK, 2022. [Google Scholar]
- Bohle, A.; Leyh, H.; Frei, C.; Kuhn, M.; Tschada, R.; Pottek, T.; Wagner, W.; Knispel, H.H.; von Pokrzywnitzki, W.; Zorlu, F.; et al. Single postoperative instillation of gemcitabine in patients with non-muscle-invasive transitional cell carcinoma of the bladder: A randomised, double-blind, placebo-controlled phase III multicentre study. Eur. Urol. 2009, 56, 495–503. [Google Scholar] [CrossRef] [PubMed]
- Cho, D.Y.; Bae, J.H.; Moon, D.G.; Cheon, J.; Lee, J.G.; Kim, J.J.; Yoon, D.K.; Park, H.S. The effects of intravesical chemoimmunotherapy with gemcitabine and Bacillus Calmette-Guerin in superficial bladder cancer: A preliminary study. J. Int. Med. Res. 2009, 37, 1823–1830. [Google Scholar] [CrossRef] [PubMed]
- Addeo, R.; Caraglia, M.; Bellini, S.; Abbruzzese, A.; Vincenzi, B.; Montella, L.; Miragliuolo, A.; Guarrasi, R.; Lanna, M.; Cennamo, G.; et al. Randomized phase III trial on gemcitabine versus mytomicin in recurrent superficial bladder cancer: Evaluation of efficacy and tolerance. J. Clin. Oncol. 2010, 28, 543–548. [Google Scholar] [CrossRef]
- Porena, M.; Del Zingaro, M.; Lazzeri, M.; Mearini, L.; Giannantoni, A.; Bini, V.; Costantini, E. Bacillus Calmette-Guerin versus gemcitabine for intravesical therapy in high-risk superficial bladder cancer: A randomised prospective study. Urol. Int. 2010, 84, 23–27. [Google Scholar] [CrossRef]
- Di Lorenzo, G.; Perdona, S.; Damiano, R.; Faiella, A.; Cantiello, F.; Pignata, S.; Ascierto, P.; Simeone, E.; De Sio, M.; Autorino, R. Gemcitabine versus bacille Calmette-Guerin after initial bacille Calmette-Guerin failure in non-muscle-invasive bladder cancer: A multicenter prospective randomized trial. Cancer 2010, 116, 1893–1900. [Google Scholar] [CrossRef]
- Bendary, L.; Khalil, S.; Shahin, A.; Nawar, N. Intravesical Gemcitabine Versus Bacillus Calmette-Guerin (Bcg) in Treatment of Non-Muscle Invasive Bladder Cancer: Short Term Comparative Study. J. Urol. 2011, 185, E664–E665. [Google Scholar] [CrossRef]
- Gontero, P.; Oderda, M.; Mehnert, A.; Gurioli, A.; Marson, F.; Lucca, I.; Rink, M.; Schmid, M.; Kluth, L.A.; Pappagallo, G.; et al. The impact of intravesical gemcitabine and 1/3 dose Bacillus Calmette-Guerin instillation therapy on the quality of life in patients with nonmuscle invasive bladder cancer: Results of a prospective, randomized, phase II trial. J. Urol. 2013, 190, 857–862. [Google Scholar] [CrossRef]
- Prasanna, T.; Craft, P.; Balasingam, G.; Haxhimolla, H.; Pranavan, G. Intravesical Gemcitabine versus Intravesical Bacillus Calmette-Guerin for the Treatment of Non-Muscle Invasive Bladder Cancer: An Evaluation of Efficacy and Toxicity. Front. Oncol. 2017, 7, 260. [Google Scholar] [CrossRef]
- Messing, E.M.; Tangen, C.M.; Lerner, S.P.; Sahasrabudhe, D.M.; Koppie, T.M.; Wood, D.P., Jr.; Mack, P.C.; Svatek, R.S.; Evans, C.P.; Hafez, K.S.; et al. Effect of Intravesical Instillation of Gemcitabine vs Saline Immediately Following Resection of Suspected Low-Grade Non-Muscle-Invasive Bladder Cancer on Tumor Recurrence: SWOG S0337 Randomized Clinical Trial. JAMA 2018, 319, 1880–1888. [Google Scholar] [CrossRef]
- Wang, T.W.; Yuan, H.; Diao, W.L.; Yang, R.; Zhao, X.Z.; Guo, H.Q. Comparison of gemcitabine and anthracycline antibiotics in prevention of superficial bladder cancer recurrence. BMC Urol. 2019, 19, 90. [Google Scholar] [CrossRef] [PubMed]
- Zhang, J.; Li, M.; Chen, Z.; OuYang, J.; Ling, Z. Efficacy of Bladder Intravesical Chemotherapy with Three Drugs for Preventing Non-Muscle-Invasive Bladder Cancer Recurrence. J. Healthc. Eng. 2021, 2021, 2360717. [Google Scholar] [CrossRef] [PubMed]
- Steinberg, R.L.; Packiam, V.T.; Thomas, L.J.; Brooks, N.; Vitale, A.; Mott, S.L.; Crump, T.; Wang, J.; DeWolf, W.C.; Lamm, D.L.; et al. Intravesical sequential gemcitabine and docetaxel versus bacillus calmette-guerin (BCG) plus interferon in patients with recurrent non-muscle invasive bladder cancer following a single induction course of BCG. Urol. Oncol. 2022, 40, 9.e1–9.e7. [Google Scholar] [CrossRef] [PubMed]
- Taylor, C.A.; Tobert, C.M.; Kahnoski, R.J.; Humphrey, J.E.; Lane, B.R. The value of a comprehensive primary outcome—Results of a negative randomized control trial in the non-muscle invasive bladder cancer population. Can. J. Urol. 2021, 28, 10756–10761. [Google Scholar] [PubMed]
- Jarvinen, R.; Kaasinen, E.; Sankila, A.; Rintala, E.; FinnBladder, G. Long-term efficacy of maintenance bacillus Calmette-Guerin versus maintenance mitomycin C instillation therapy in frequently recurrent TaT1 tumours without carcinoma in situ: A subgroup analysis of the prospective, randomised FinnBladder I study with a 20-year follow-up. Eur. Urol. 2009, 56, 260–265. [Google Scholar] [CrossRef]
- Badalato, G.M.; Hruby, G.; Razmjoo, M.; McKiernan, J.M. Maximizing intravesical therapy options: Is there an advantage to the administration of perioperative mitomycin C prior to an induction course of BCG? Can. J. Urol. 2011, 18, 5890–5895. [Google Scholar] [CrossRef]
- De Nunzio, C.; Carbone, A.; Albisinni, S.; Alpi, G.; Cantiani, A.; Liberti, M.; Tubaro, A.; Iori, F. Long-term experience with early single mitomycin C instillations in patients with low-risk non-muscle-invasive bladder cancer: Prospective, single-centre randomised trial. World J. Urol. 2011, 29, 517–521. [Google Scholar] [CrossRef]
- Oosterlinck, W.; Kirkali, Z.; Sylvester, R.; da Silva, F.C.; Busch, C.; Algaba, F.; Collette, S.; Bono, A. Sequential intravesical chemoimmunotherapy with mitomycin C and bacillus Calmette-Guerin and with bacillus Calmette-Guerin alone in patients with carcinoma in situ of the urinary bladder: Results of an EORTC genito-urinary group randomized phase 2 trial (30993). Eur. Urol. 2011, 59, 438–446. [Google Scholar] [CrossRef]
- Cho, I.C.; Kim, E.K.; Joung, J.Y.; Seo, H.K.; Chung, J.; Park, W.S.; Lee, K.H. Adjuvant intravesical instillation for primary T1G3 bladder cancer: BCG versus MMC in Korea. Anticancer Res. 2012, 32, 1493–1498. [Google Scholar]
- Ersoy, H.; Yaytokgil, M.; Karakoyunlu, A.N.; Topaloglu, H.; Sagnak, L.; Ozok, H.U. Single early instillation of mitomycin C and urinary alkalinization in low-risk non-muscle-invasive bladder cancer: A preliminary study. Drug Des. Devel Ther. 2013, 7, 1–6. [Google Scholar] [CrossRef]
- Solsona, E.; Madero, R.; Chantada, V.; Fernandez, J.M.; Zabala, J.A.; Portillo, J.A.; Alonso, J.M.; Astobieta, A.; Unda, M.; Martinez-Pineiro, L.; et al. Sequential combination of mitomycin C plus bacillus Calmette-Guerin (BCG) is more effective but more toxic than BCG alone in patients with non-muscle-invasive bladder cancer in intermediate- and high-risk patients: Final outcome of CUETO 93009, a randomized prospective trial. Eur Urol 2015, 67, 508–516. [Google Scholar] [CrossRef] [PubMed]
- Weiss, B.E.; Pietzak, E.J.; Wein, A.J.; Malkowicz, S.B.; Guzzo, T.J. Single instillation of mitomycin C plus bacillus Calmette-Guerin (BCG) versus BCG alone in high grade non-muscle invasive bladder cancer. Can. J. Urol. 2015, 22, 7876–7881. [Google Scholar] [CrossRef] [PubMed]
- Decaestecker, K.; Lumen, N.; Ringoir, A.; Oosterlinck, W. Ablative Intravesical Chemotherapy for Small Recurrent Non-Muscle-Invasive Bladder Cancer: A Prospective Study. Urol. Int. 2016, 96, 14–19. [Google Scholar] [CrossRef] [PubMed]
- Bijalwan, P.; Pooleri, G.K.; Thomas, A. Comparison of sterile water irrigation versus intravesical mitomycin C in preventing recurrence of nonmuscle invasive bladder cancer after transurethral resection. Indian. J. Urol. 2017, 33, 144–148. [Google Scholar] [CrossRef]
- Onishi, T.; Sugino, Y.; Shibahara, T.; Masui, S.; Yabana, T.; Sasaki, T. Randomized controlled study of the efficacy and safety of continuous saline bladder irrigation after transurethral resection for the treatment of non-muscle-invasive bladder cancer. BJU Int. 2017, 119, 276–282. [Google Scholar] [CrossRef]
- Lenis, A.T.; Asanad, K.; Blaibel, M.; Donin, N.M.; Chamie, K. Continuous saline bladder irrigation for two hours following transurethral resection of bladder tumors in patients with non-muscle invasive bladder cancer does not prevent recurrence or progression compared with intravesical Mitomycin-C. BMC Urol. 2018, 18, 93. [Google Scholar] [CrossRef]
- Xylinas, E.; Kent, M.; Dabi, Y.; Rieken, M.; Kluth, L.A.; Al Hussein Al Awamlh, B.; Ouzaid, I.; Pycha, A.; Comploj, E.; Svatek, R.S.; et al. Impact of age on outcomes of patients with non-muscle-invasive bladder cancer treated with immediate postoperative instillation of mitomycin C. Urol. Oncol. 2018, 36, 89. e1–89. e5. [Google Scholar] [CrossRef]
- Faraj, K.; Chang, Y.H.; Rose, K.M.; Habermann, E.B.; Etzioni, D.A.; Blodgett, G.; Castle, E.P.; Humphreys, M.R.; Tyson Ii, M.D. Single-dose perioperative mitomycin-C versus thiotepa for low-grade noninvasive bladder cancer. Can. J. Urol. 2019, 26, 9922–9930. [Google Scholar]
- Mostafid, A.H.; Porta, N.; Cresswell, J.; Griffiths, T.R.L.; Kelly, J.D.; Penegar, S.R.; Davenport, K.; McGrath, J.S.; Campain, N.; Cooke, P.; et al. CALIBER: A phase II randomized feasibility trial of chemoablation with mitomycin-C vs surgical management in low-risk non-muscle-invasive bladder cancer. BJU Int. 2020, 125, 817–826. [Google Scholar] [CrossRef]
- Mariappan, P.; Johnston, A.; Padovani, L.; Clark, E.; Trail, M.; Hamid, S.; Hollins, G.; Simpson, H.; Thomas, B.G.; Hasan, R.; et al. Enhanced Quality and Effectiveness of Transurethral Resection of Bladder Tumour in Non-muscle-invasive Bladder Cancer: A Multicentre Real-world Experience from Scotland’s Quality Performance Indicators Programme. Eur. Urol. 2020, 78, 520–530. [Google Scholar] [CrossRef]
- Yamamoto, S.; Kageyama, Y.; Fujii, Y.; Aizawa, T.; Urakami, S.; Fukui, I. Randomized Study of Postoperative Single Intravesical Instillation With Pirarubicin and Mitomycin C for Low-risk Bladder Cancer. Anticancer Res. 2020, 40, 5295–5299. [Google Scholar] [CrossRef] [PubMed]
- Carrion, D.M.; Gomez Rivas, J.; Aguilera Bazan, A.; Ballesteros Ruiz, C.; Alvarez-Maestro, M.; Rios Gonzalez, E.; Martinez-Pineiro, L. The benefit of a neoadjuvant instillation of chemotherapy in non-muscle invasive bladder cancer: Interim analysis of the PRECAVE randomized clinical trial. Arch. Esp. Urol. 2021, 74, 883–893. [Google Scholar] [PubMed]
- Perdona, S.; Di Lorenzo, G.; Cantiello, F.; Damiano, R.; De Sio, M.; Masala, D.; Bruni, G.; Gallo, L.; Federico, P.; Quattrone, C.; et al. Is gemcitabine an option in BCG-refractory nonmuscle-invasive bladder cancer? A single-arm prospective trial. Anticancer Drugs 2010, 21, 101–106. [Google Scholar] [CrossRef] [PubMed]
- Skinner, E.C.; Goldman, B.; Sakr, W.A.; Petrylak, D.P.; Lenz, H.J.; Lee, C.T.; Wilson, S.S.; Benson, M.; Lerner, S.P.; Tangen, C.M.; et al. SWOG S0353: Phase II trial of intravesical gemcitabine in patients with nonmuscle invasive bladder cancer and recurrence after 2 prior courses of intravesical bacillus Calmette-Guerin. J. Urol. 2013, 190, 1200–1204. [Google Scholar] [CrossRef] [PubMed]
- Sternberg, I.A.; Dalbagni, G.; Chen, L.Y.; Donat, S.M.; Bochner, B.H.; Herr, H.W. Intravesical gemcitabine for high risk, nonmuscle invasive bladder cancer after bacillus Calmette-Guerin treatment failure. J. Urol. 2013, 190, 1686–1691. [Google Scholar] [CrossRef]
- Cockerill, P.A.; Knoedler, J.J.; Frank, I.; Tarrell, R.; Karnes, R.J. Intravesical gemcitabine in combination with mitomycin C as salvage treatment in recurrent non-muscle-invasive bladder cancer. BJU Int. 2016, 117, 456–462. [Google Scholar] [CrossRef]
- Milbar, N.; Kates, M.; Chappidi, M.R.; Pederzoli, F.; Yoshida, T.; Sankin, A.; Pierorazio, P.M.; Schoenberg, M.P.; Bivalacqua, T.J. Oncological Outcomes of Sequential Intravesical Gemcitabine and Docetaxel in Patients with Non-Muscle Invasive Bladder Cancer. Bladder Cancer 2017, 3, 293–303. [Google Scholar] [CrossRef]
- Shantharam, G.; Amin, A.; Pereira, J.; Kott, O.; Mueller-Leonhard, C.; Mega, A.; Golijanin, D.; Gershman, B. Intravesical docetaxel for high-risk non-muscle invasive bladder cancer after Bacillus Calmette-Guerin failure. Curr. Urol. 2021, 15, 33–38. [Google Scholar] [CrossRef]
- Colombo, R.; Rocchini, L.; Suardi, N.; Benigni, F.; Colciago, G.; Bettiga, A.; Pellucchi, F.; Maccagnano, C.; Briganti, A.; Salonia, A.; et al. Neoadjuvant short-term intensive intravesical mitomycin C regimen compared with weekly schedule for low-grade recurrent non-muscle-invasive bladder cancer: Preliminary results of a randomised phase 2 study. Eur. Urol. 2012, 62, 797–802. [Google Scholar] [CrossRef]
- Svatek, R.S.; Zhao, X.R.; Morales, E.E.; Jha, M.K.; Tseng, T.Y.; Hugen, C.M.; Hurez, V.; Hernandez, J.; Curiel, T.J. Sequential intravesical mitomycin plus Bacillus Calmette-Guerin for non-muscle-invasive urothelial bladder carcinoma: Translational and phase I clinical trial. Clin. Cancer Res. 2015, 21, 303–311. [Google Scholar] [CrossRef]
- Jarvinen, R.; Marttila, T.; Kaasinen, E.; Rintala, E.; Aaltomaa, S.; Kallio, J.; Liukkonen, T.; Puolakka, V.M.; Seppanen, M.; Tuhkanen, K.; et al. Long-term outcome of patients with frequently recurrent non-muscle-invasive bladder carcinoma treated with one perioperative plus four weekly instillations of mitomycin C followed by monthly bacillus Calmette-Guerin (BCG) or alternating BCG and interferon-alpha2b instillations: Prospective randomised FinnBladder-4 study. Eur. Urol. 2015, 68, 611–617. [Google Scholar] [CrossRef] [PubMed]
- Ba, M.; Cui, S.; Wang, B.; Long, H.; Yan, Z.; Wang, S.; Wu, Y.; Gong, Y. Bladder intracavitary hyperthermic perfusion chemotherapy for the prevention of recurrence of non-muscle invasive bladder cancer after transurethral resection. Oncol. Rep. 2017, 37, 2761–2770. [Google Scholar] [CrossRef] [PubMed]
- Kelly, J.D.; Tan, W.S.; Porta, N.; Mostafid, H.; Huddart, R.; Protheroe, A.; Bogle, R.; Blazeby, J.; Palmer, A.; Cresswell, J.; et al. BOXIT-A Randomised Phase III Placebo-controlled Trial Evaluating the Addition of Celecoxib to Standard Treatment of Transitional Cell Carcinoma of the Bladder (CRUK/07/004). Eur. Urol. 2019, 75, 593–601. [Google Scholar] [CrossRef] [PubMed]
- Racioppi, M.; Di Gianfrancesco, L.; Ragonese, M.; Palermo, G.; Sacco, E.; Bassi, P. Chemoablation with Intensive Intravesical Mitomycin C Treatment: A New Approach for Non-muscle-invasive Bladder Cancer. Eur. Urol. Oncol. 2019, 2, 576–583. [Google Scholar] [CrossRef]
- Bosschieter, J.; Nieuwenhuijzen, J.A.; Vis, A.N.; van Ginkel, T.; Lissenberg-Witte, B.I.; Beckers, G.M.A.; van Moorselaar, R.J.A. An immediate, single intravesical instillation of mitomycin C is of benefit in patients with non-muscle-invasive bladder cancer irrespective of prognostic risk groups. Urol. Oncol. 2018, 36, 400.e7–400.e14. [Google Scholar] [CrossRef]
- Bosschieter, J.; van Moorselaar, R.J.A.; Vis, A.N.; van Ginkel, T.; Lissenberg-Witte, B.I.; Beckers, G.M.A.; Nieuwenhuijzen, J.A. The effect of timing of an immediate instillation of mitomycin C after transurethral resection in 941 patients with non-muscle-invasive bladder cancer. BJU Int. 2018, 122, 571–575. [Google Scholar] [CrossRef]
- Lindgren, M.S.; Bue, P.; Azawi, N.; Blichert-Refsgaard, L.; Sundelin, M.O.; Dyrskjot, L.; Jensen, J.B. The DaBlaCa-13 Study: Short-term, Intensive Chemoresection Versus Standard Adjuvant Intravesical Instillations in Non-muscle-invasive Bladder Cancer-A Randomised Controlled Trial. Eur. Urol. 2020, 78, 856–862. [Google Scholar] [CrossRef]
- Miyata, Y.; Tsurusaki, T.; Hayashida, Y.; Imasato, Y.; Takehara, K.; Aoki, D.; Nishikido, M.; Watanabe, J.; Mitsunari, K.; Matsuo, T.; et al. Intravesical mitomycin C (MMC) and MMC + cytosine arabinoside for non-muscle-invasive bladder cancer: A randomised clinical trial. BJU Int. 2022, 129, 534–541. [Google Scholar] [CrossRef]
- Gierth, M.; Breyer, J.; Zeman, F.; Fritsche, H.M.; Cordes, J.; Karl, A.; Zaak, D.; Stenzl, A.; von Schmeling, I.K.; Sommerhuber, A.; et al. The HELENA study: Hexvix((R))-TURB vs. white-light TURB followed by intravesical adjuvant chemotherapy-a prospective randomized controlled open-label multicenter non-inferiority study. World J. Urol. 2021, 39, 3799–3805. [Google Scholar] [CrossRef]
- Wen, Y.C.; Lee, L.M.; Lin, Y.W.; Syu, S.H.; Lin, K.H.; Fan, Y.C.; Lee, H.L.; Lai, B.C.H.; Shih, H.J. Loco-regional deep hyperthermia combined with intravesical Mitomycin instillation reduces the recurrence of non-muscle invasive papillary bladder cancer. Int. J. Hyperth. 2021, 38, 1627–1632. [Google Scholar] [CrossRef]
- Gondran-Tellier, B.; Abdallah, R.; Sichez, P.C.; Akiki, A.; Toledano, H.; Gaillet, S.; Delaporte, V.; Karsenty, G.; Bastide, C.; Daniel, L.; et al. Continuous saline bladder irrigation after blue light transurethral resection of bladder tumor increases recurrence-free survival in low- to intermediate-risk non-muscle invasive bladder cancer. Prog. Urol. 2021, 31, 316–323. [Google Scholar] [CrossRef] [PubMed]
- Sylvester, R.J.; Oosterlinck, W.; Holmang, S.; Sydes, M.R.; Birtle, A.; Gudjonsson, S.; De Nunzio, C.; Okamura, K.; Kaasinen, E.; Solsona, E.; et al. Systematic Review and Individual Patient Data Meta-analysis of Randomized Trials Comparing a Single Immediate Instillation of Chemotherapy After Transurethral Resection with Transurethral Resection Alone in Patients with Stage pTa-pT1 Urothelial Carcinoma of the Bladder: Which Patients Benefit from the Instillation? Eur. Urol. 2016, 69, 231–244. [Google Scholar] [CrossRef] [PubMed]
- Ganguly, A.; Tyagi, S.; Chermansky, C.; Kanai, A.; Beckel, J.; Hashimoto, M.; Cho, K.J.; Chancellor, M.; Kaufman, J.; Yoshimura, N.; et al. Treating Lower Urinary Tract Symptoms in Older Adults: Intravesical Options. Drugs Aging 2023, 40, 241–261. [Google Scholar] [CrossRef] [PubMed]
- Bilski, K.; Zapala, L.; Skrzypczyk, M.A.; Oszczudlowski, M.; Dobruch, J. Review on gender differences in non-muscle invasive bladder cancer. Transl. Androl. Urol. 2019, 8, 12–20. [Google Scholar] [CrossRef]







| First Author | Year | Country | Study Design | Age | Men (%) | Treatment Arm | Nr Pts | Control Arm | Nr Pts | Follow-Up (m) | Study Quality/ Evidence | Outcomes Studied |
|---|---|---|---|---|---|---|---|---|---|---|---|---|
| Gemcitabine (GEM) vs. Other Treatment | ||||||||||||
| Bohle | 2009 | Germany | RCT | 66 | 80% | GEM | 166 | PBO | 162 | 38.6 | Very Good/ High | RR. RFS |
| Cho | 2009 | South Korea | RCT | 63 | 92% | GEM/BCG | 36 | BCG | 51 | 32.2 | Very Good/ Moderate | RR, RFS Prog |
| Addeo | 2010 | Italy | RCT | 66 | 85% | GEM | 54 | BCG | 55 | 36 | Good/ Moderate | RR, RFS |
| Porena | 2010 | Italy | RCT | 70 | 84% | GEM | 32 | BCG | 32 | 44 | Good/ Moderate | RR, HGRR |
| DiLorenzo | 2010 | Italy | RCT | 70 | 61% | GEM | 40 | BCG | 40 | 12 | Good/ Moderate | RR, RFS Prog |
| Bendary | 2011 | Egypt | RCo | 56 | NR | GEM | 40 | BCG | 40 | 10.8 | Fair/Moderate | RR |
| Gontero | 2013 | Italy | RCT | 67 | 86% | GEM | 61 | BCG | 59 | 10.5 | Very Good/ Moderate | RR |
| Prasanna | 2017 | Australia | RCo | 78 | 84% | GEM | 51 | BCG | 52 | 15 | Fair/Moderate | RFS |
| Messing | 2018 | USA | RCT | 66 | 85% | GEM | 201 | Saline | 205 | 48 | Very Good/ High | RR, Prog, OS, HGRR |
| Wang | 2019 | China | RCo | NR | 73% | GEM | 84 | Epi | 40 | 35.2 | Good/ Moderate | RR Prog RFS OS |
| Zhang | 2021 | China | RCo | 63 | 70% | GEM | 81 | Epi | 67 | 24 | Good/ Moderate | RR |
| Pira | 74 | |||||||||||
| Taylor | 2021 | USA | RCT | 73 | 82% | GEM | 26 | PBO | 27 | 25.2 | Good/High | RFS, HGRR |
| MMC | 29 | |||||||||||
| Steinberg | 2022 | USA | RCo | 74 | 78% | GEM/DOCE | 78 | BCG/IFN | 106 | 24 | Very Good/ Moderate | RFS, HGRR |
| Single-Arm Studies Involving Gemcitabine (GEM) and/or Docetaxel (DOCE) Included for Cancer-Specific Outcomes | ||||||||||||
| Perdonà | 2010 | Italy | PC | 68 | 65% | GEM | 20 | 15 | Good/NA | RR, RFS, Prog | ||
| Skinner | 2013 | USA | PC | 70 | 79% | GEM | 47 | 24 | Very Good/NA | RR, RFS, Prog | ||
| Sternberg | 2013 | USA | RCo | 72 | 77% | GEM | 69 | 42 | Very Good/NA | OS, RFS, Prog | ||
| Cockerill | 2016 | USA | RCo | 74 | 89% | GEM/MMC | 27 | 22 | Fair/NA | RR | ||
| Milbar | 2017 | USA | RCo | 73 | 70% | GEM/DOCE | 33 | 18.6 | Poor/NA | RFS, HGRR | ||
| Shantharam | 2021 | USA | RCo | 75 | 46% | DOCE | 13 | 12 | Poor/NA | RR | ||
| First Author | Year | Country | Study Design | Age | Men (%) | Treatment Arm | Nr Pts | Control Arm | Nr Pts | Follow-Up (m) | Study Quality Evidence | Outcomes Studied |
|---|---|---|---|---|---|---|---|---|---|---|---|---|
| Mitomycin C (MMC) vs. Other Treatment | ||||||||||||
| Jarvinen | 2009 | Finland | RCT | 67 | 72% | MMC | 45 | BCG | 44 | 102 | Very Good/ High | OS, DFS, Prog |
| Badalato | 2011 | USA | RCo | 70 | 71% | MMC | 48 | MMC/BCG | 212 | 34.5 | Very Good/ Moderate | RFS |
| De Nunzio | 2011 | Italy | RCT | 61 | 63% | MMC | 97 | TUR | 105 | 90 | Very Good/ High | RFS, RR |
| Oosterlinck | 2011 | Multinational | RCT | 69 | 83% | MMC/BCG | 41 | BCG | 42 | 56.4 | Very Good/ High | CR, Prog, DFS, RR |
| Cho | 2012 | South Korea | RCo | 64 | 81% | MMC | 54 | BCG | 53 | 24.3 | Good/Moderate | RFS, RR, Prog |
| Ersoy | 2013 | Turkey | RCT | 61 | 90% | MMC | 26 | TUR | 23 | 60 | Good/Moderate | RFS |
| Solsona | 2015 | Spain | RCT | 67 | 90% | MMC/BCG | 211 | BCG | 196 | 85.2 | Very Good/High | RR, Prog, OS, RFS |
| Weiss | 2015 | USA | RCT | 64 | 75% | MMC/BCG | 23 | BCG | 97 | 54 | Good/Moderate | RFS, OS |
| Decaestecker | 2016 | Belgium | PC | 70 | 88% | MMC | 25 | Epi | 3 | 35 | Good/Poor | CR, RFS |
| Bijalwan | 2017 | India | RCT | 65 | 92% | MMC | 17 | CBI | 19 | 12 | Very Good/ Moderate | RFS, RR, Prog |
| Onishi | 2017 | Japan | RCT | 72 | 80% | MMC | 113 | CBI | 114 | 37 | Very Good/ High | RFS |
| Lenis | 2018 | USA | RCT | 72 | 81% | MMC/TUR | 71 | TUR | 134 | 48 | Very Good/ High | RFS |
| Xylinas | 2018 | Multinational | RCT | 66 | 79% | MMC | 2605 | PBO | 1653 | 60 | Very Good/ High | RFS |
| Faraj | 2019 | USA | RCo | 76 | 75% | MMC | 84 | Thiotepa | 70 | 20 | Good/Moderate | RR, RFS |
| Mostafid | 2020 | England | RCT | 72 | 77% | MMC | 54 | TUR | 28 | 24 | Good/Moderate | CR, RFS |
| Mariappan | 2020 | England | PC | 72 | 71% | MMC | 422 | PBO | 206 | 63 | Good/High | RR |
| Yamamoto | 2020 | Japan | RCT | 65 | 74% | MMC/TUR | 54 | TUR/Pira | 49 | 33 | Good/Moderate | RFS, RR |
| Carrión | 2021 | Spain | RCT | 70 | 75% | MMC | 64 | PBO | 60 | 15 | Very Good/ High | RR, DP, RFS |
| Single-Arm Studies Involving Mitomycin C (MMC) Included for Cancer-Specific Outcomes | ||||||||||||
| Colombo | 2012 | Italy | RCo | 63 | 78% | MMC | 54 | NR | Moderate/NA | RFS, RR, Prog | ||
| Svatek | 2015 | USA | PC | 67 | 58% | MMC/BCG | 12 | 60 | Poor/NA | RFS | ||
| Jarvinen | 2015 | Finland | RCT | 68 | 72% | MMC/BCG | 102 | 120 | Good/NA | RR, Prog, RFS, OS | ||
| Ba | 2017 | China | RCT | 52 | 92% | MMC | 25 | 47 | Good/NA | RR, RFS | ||
| Bosscheiter | 2018 | Netherlands | RCo | 67 | 81% | MMC | 941 | 34 | Very Good/NA | RFS | ||
| Bosscheiter | 2018 | Netherlands | RCT | 68 | 82% | MMC | 2243 | 51 | Very Good/NA | RR, RFS | ||
| Kelly | 2019 | England | RCT | 67 | 79% | MMC | 236 | 58 | Very Good/NA | RR | ||
| Racioppi | 2019 | Italy | PC | 65 | 85% | MMC | 94 | 39 | Fair/NA | CR, RFS | ||
| Lindgren | 2020 | Denmark | RCT | 71 | 72% | MMC | 129 | 3 | Good/NA | CR, RFS | ||
| Miyata | 2022 | Japan | RCT | 73 | 79% | MMC | 79 | 62 | Good/NA | RFS | ||
| Gierth | 2021 | Germany/Austria | RCT | 69 | 78% | MMC | 62 | 22 | Good/NA | RFS | ||
| Wen | 2021 | Taiwan | RCo | 75 | 74% | MMC | 25 | 24 | Fair/NA | RR | ||
| Gondran | 2021 | France | RCo | 71 | 80% | MMC | 167 | 12 | Fair/NA | RFS | ||
Disclaimer/Publisher’s Note: The statements, opinions and data contained in all publications are solely those of the individual author(s) and contributor(s) and not of MDPI and/or the editor(s). MDPI and/or the editor(s) disclaim responsibility for any injury to people or property resulting from any ideas, methods, instructions or products referred to in the content. |
© 2024 by the authors. Licensee MDPI, Basel, Switzerland. This article is an open access article distributed under the terms and conditions of the Creative Commons Attribution (CC BY) license (https://creativecommons.org/licenses/by/4.0/).
Share and Cite
Matloubieh, J.E.; Hanelin, D.; Agalliu, I. Comparisons of Intravesical Treatments with Mitomycin C, Gemcitabine, and Docetaxel for Recurrence and Progression of Non-Muscle Invasive Bladder Cancer: Updated Systematic Review and Meta-Analysis. Cancers 2024, 16, 4125. https://doi.org/10.3390/cancers16244125
Matloubieh JE, Hanelin D, Agalliu I. Comparisons of Intravesical Treatments with Mitomycin C, Gemcitabine, and Docetaxel for Recurrence and Progression of Non-Muscle Invasive Bladder Cancer: Updated Systematic Review and Meta-Analysis. Cancers. 2024; 16(24):4125. https://doi.org/10.3390/cancers16244125
Chicago/Turabian StyleMatloubieh, Jubin E., David Hanelin, and Ilir Agalliu. 2024. "Comparisons of Intravesical Treatments with Mitomycin C, Gemcitabine, and Docetaxel for Recurrence and Progression of Non-Muscle Invasive Bladder Cancer: Updated Systematic Review and Meta-Analysis" Cancers 16, no. 24: 4125. https://doi.org/10.3390/cancers16244125
APA StyleMatloubieh, J. E., Hanelin, D., & Agalliu, I. (2024). Comparisons of Intravesical Treatments with Mitomycin C, Gemcitabine, and Docetaxel for Recurrence and Progression of Non-Muscle Invasive Bladder Cancer: Updated Systematic Review and Meta-Analysis. Cancers, 16(24), 4125. https://doi.org/10.3390/cancers16244125

