Tumor-Associated Tractography Derived from High-Angular-Resolution Q-Space MRI May Predict Patterns of Cellular Invasion in Glioblastoma †
Simple Summary
Abstract
1. Introduction
2. Materials and Methods
2.1. Image Acquisition Through QSI
2.2. Human Imaging Dataset Acquisition and Post-Processing
2.3. Peritumoral Tract Sampling and RNA Sequencing
2.4. Patient-Derived Xenograft (PDX) Models, Image Acquisition, and Microscopy
2.5. Statistical Analyses
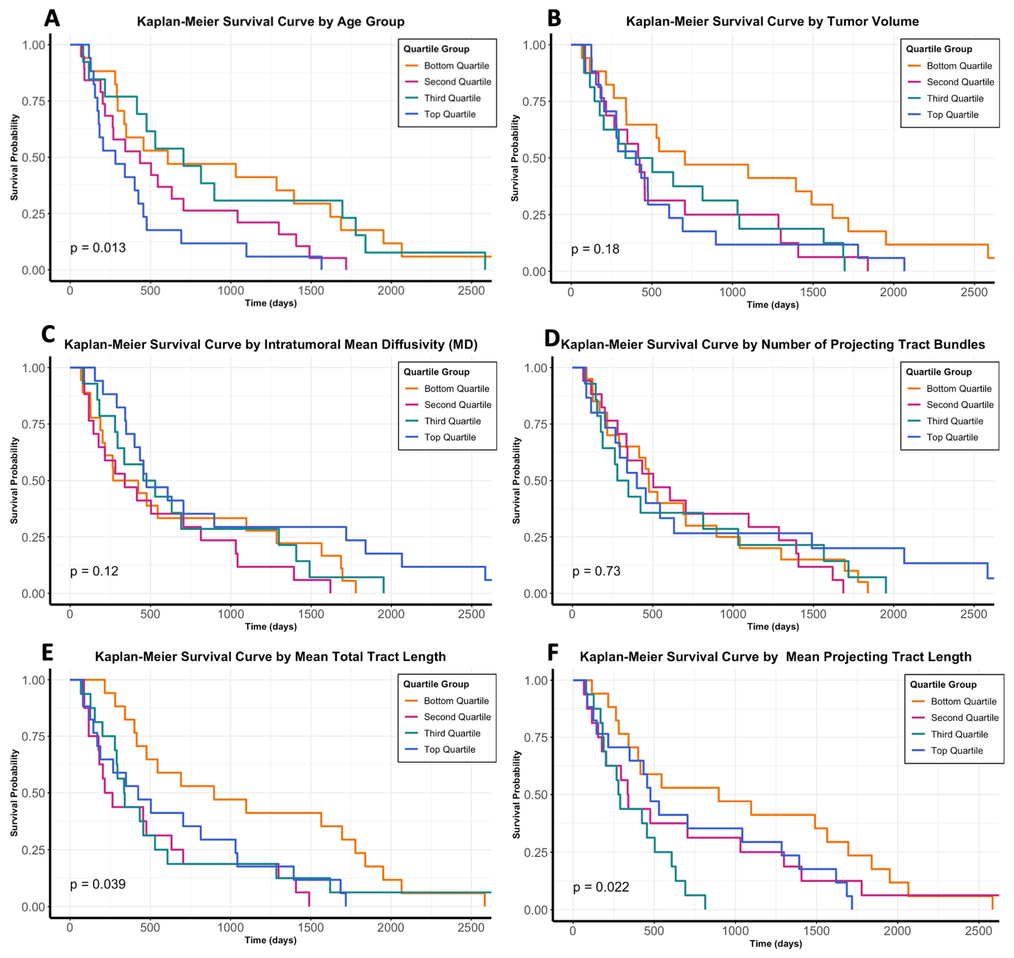
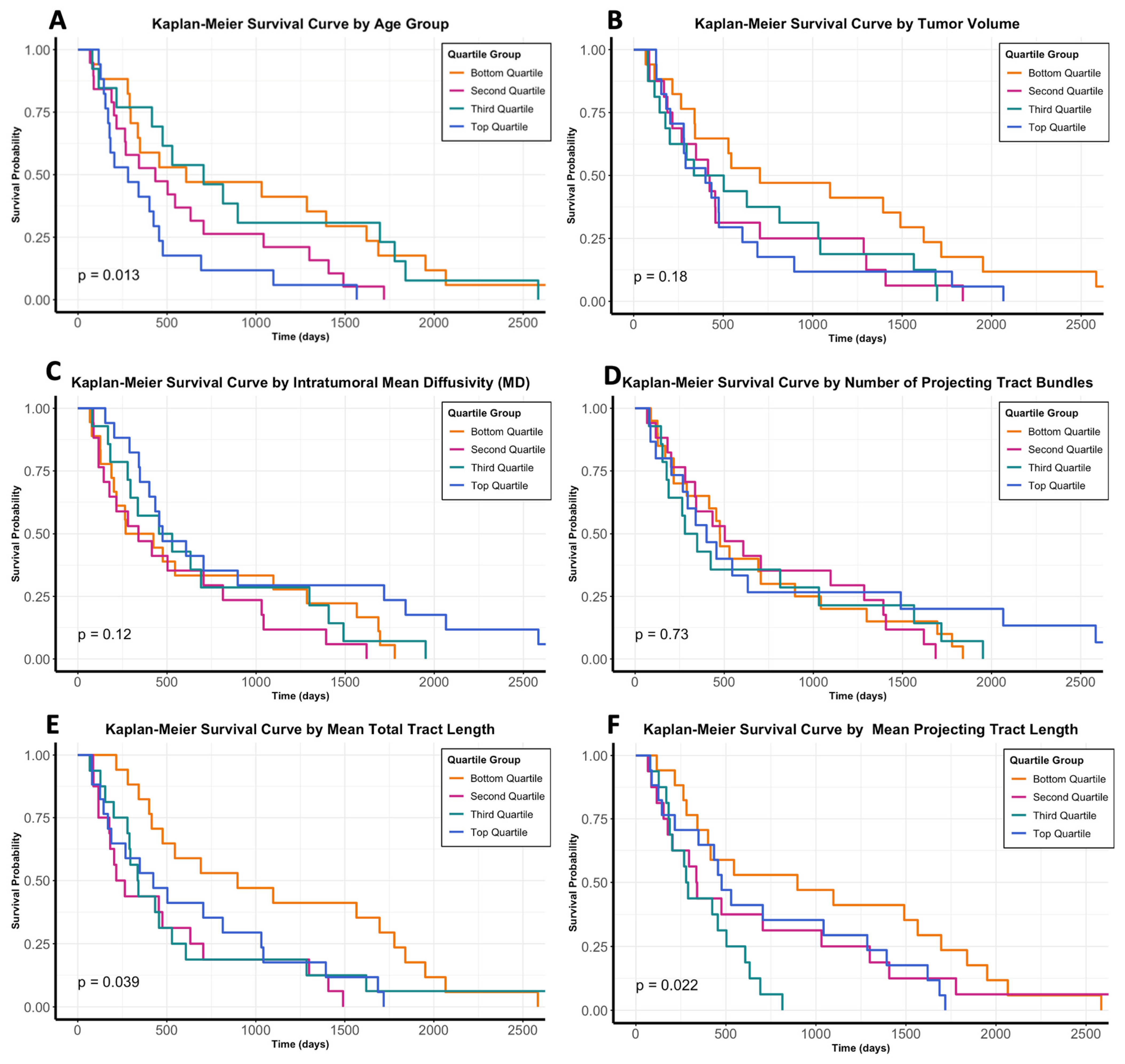
3. Results
3.1. Primary Enrollment Cohort
3.2. Historical Comparison Cohort and Analysis of Outcomes
3.3. Transcriptomic Analysis of Tract-Associated Tissue
3.4. Reconstruction of GSC Distribution in PDX Mice Mirrors Tumor-Associated Tractography
4. Discussion
4.1. Clinical Prognosis Based on Tractography-Derived Metrics
4.2. Tracking Tumor Cell Migration: Existing Evidence and Clinical Implications
4.3. Limitations
5. Conclusions
Author Contributions
Funding
Institutional Review Board Statement
Informed Consent Statement
Data Availability Statement
Acknowledgments
Conflicts of Interest
Abbreviations
References
- Preusser, M.; de Ribaupierre, S.; Wöhrer, A.; Erridge, S.C.; Hegi, M.; Weller, M.; Stupp, R. Current concepts and management of glioblastoma. Ann. Neurol. 2011, 70, 9–21. [Google Scholar] [CrossRef] [PubMed]
 - Birzu, C.; French, P.; Caccese, M.; Cerretti, G.; Idbaih, A.; Zagonel, V.; Lombardi, G. Recurrent Glioblastoma: From Molecular Landscape to New Treatment Perspectives. Cancers 2020, 13, 47. [Google Scholar] [CrossRef] [PubMed]
 - Liau, L.M.; Ashkan, K.; Brem, S.; Campian, J.L.; Trusheim, J.E.; Iwamoto, F.M.; Tran, D.D.; Ansstas, G.; Cobbs, C.S.; Heth, J.A.; et al. Association of Autologous Tumor Lysate-Loaded Dendritic Cell Vaccination with Extension of Survival among Patients with Newly Diagnosed and Recurrent Glioblastoma: A Phase 3 Prospective Externally Controlled Cohort Trial. JAMA Oncol. 2023, 9, 112–121. [Google Scholar] [CrossRef] [PubMed]
 - Stupp, R.; Weber, D.C. The role of radio- and chemotherapy in glioblastoma. Onkologie 2005, 28, 315–317. [Google Scholar] [CrossRef] [PubMed]
 - Zhang, T.; Xin, Q.; Kang, J.M. Bevacizumab for recurrent glioblastoma: A systematic review and meta-analysis. Eur. Rev. Med. Pharmacol. Sci. 2021, 25, 6480–6491. [Google Scholar] [CrossRef]
 - Christoph, S.; Alicia, S.; Fritz, T.; Vanessa, T.; Ralf, K.; Jin, K.Y.; Stefan, L.; Joachim, O. The intra-tumoral heterogeneity in glioblastoma—A limitation for prognostic value of epigenetic markers? Acta Neurochir. 2023, 165, 1634–1644. [Google Scholar] [CrossRef]
 - Jackson, M.; Hassiotou, F.; Nowak, A. Glioblastoma stem-like cells: At the root of tumor recurrence and a therapeutic target. Carcinogenesis 2015, 36, 177–185. [Google Scholar] [CrossRef]
 - Mallm, J.P.; Windisch, P.; Biran, A.; Gal, Z.; Schumacher, S.; Glass, R.; Herold-Mende, C.; Meshorer, E.; Barbus, M.; Rippe, K. Glioblastoma initiating cells are sensitive to histone demethylase inhibition due to epigenetic deregulation. Int. J. Cancer 2020, 146, 1281–1292. [Google Scholar] [CrossRef]
 - Singh, S.K.; Clarke, I.D.; Terasaki, M.; Bonn, V.E.; Hawkins, C.; Squire, J.; Dirks, P.B. Identification of a cancer stem cell in human brain tumors. Cancer Res. 2003, 63, 5821–5828. [Google Scholar]
 - Vlashi, E.; Lagadec, C.; Vergnes, L.; Matsutani, T.; Masui, K.; Poulou, M.; Popescu, R.; Della Donna, L.; Evers, P.; Dekmezian, C.; et al. Metabolic state of glioma stem cells and nontumorigenic cells. Proc. Natl. Acad. Sci. USA 2011, 108, 16062–16067. [Google Scholar] [CrossRef]
 - Strickland, M.; Stoll, E.A. Metabolic Reprogramming in Glioma. Front. Cell Dev. Biol. 2017, 5, 43. [Google Scholar] [CrossRef] [PubMed]
 - Verhaak, R.G.; Hoadley, K.A.; Purdom, E.; Wang, V.; Qi, Y.; Wilkerson, M.D.; Miller, C.R.; Ding, L.; Golub, T.; Mesirov, J.P.; et al. Integrated genomic analysis identifies clinically relevant subtypes of glioblastoma characterized by abnormalities in PDGFRA, IDH1, EGFR, and NF1. Cancer Cell 2010, 17, 98–110. [Google Scholar] [CrossRef] [PubMed]
 - Brennan, C.W.; Verhaak, R.G.; McKenna, A.; Campos, B.; Noushmehr, H.; Salama, S.R.; Zheng, S.; Chakravarty, D.; Sanborn, J.Z.; Berman, S.H.; et al. The somatic genomic landscape of glioblastoma. Cell 2013, 155, 462–477. [Google Scholar] [CrossRef]
 - Sottoriva, A.; Spiteri, I.; Piccirillo, S.G.; Touloumis, A.; Collins, V.P.; Marioni, J.C.; Curtis, C.; Watts, C.; Tavaré, S. Intratumor heterogeneity in human glioblastoma reflects cancer evolutionary dynamics. Proc. Natl. Acad. Sci. USA 2013, 110, 4009–4014. [Google Scholar] [CrossRef]
 - Soeda, A.; Hara, A.; Kunisada, T.; Yoshimura, S.; Iwama, T.; Park, D.M. The evidence of glioblastoma heterogeneity. Sci. Rep. 2015, 5, 7979. [Google Scholar] [CrossRef]
 - Bonavia, R.; Inda, M.M.; Cavenee, W.K.; Furnari, F.B. Heterogeneity maintenance in glioblastoma: A social network. Cancer Res. 2011, 71, 4055–4060. [Google Scholar] [CrossRef] [PubMed]
 - Marusyk, A.; Almendro, V.; Polyak, K. Intra-tumour heterogeneity: A looking glass for cancer? Nat. Rev. Cancer 2012, 12, 323–334. [Google Scholar] [CrossRef]
 - Dhruv, H.D.; McDonough Winslow, W.S.; Armstrong, B.; Tuncali, S.; Eschbacher, J.; Kislin, K.; Loftus, J.C.; Tran, N.L.; Berens, M.E. Reciprocal activation of transcription factors underlies the dichotomy between proliferation and invasion of glioma cells. PLoS ONE 2013, 8, e72134. [Google Scholar] [CrossRef] [PubMed]
 - Venkatesh, H.S.; Morishita, W.; Geraghty, A.C.; Silverbush, D.; Gillespie, S.M.; Arzt, M.; Tam, L.T.; Espenel, C.; Ponnuswami, A.; Ni, L.; et al. Electrical and synaptic integration of glioma into neural circuits. Nature 2019, 573, 539–545. [Google Scholar] [CrossRef]
 - Taylor, K.R.; Barron, T.; Hui, A.; Spitzer, A.; Yalçin, B.; Ivec, A.E.; Geraghty, A.C.; Hartmann, G.G.; Arzt, M.; Gillespie, S.M.; et al. Glioma synapses recruit mechanisms of adaptive plasticity. Nature 2023, 623, 366–374. [Google Scholar] [CrossRef]
 - Zepecki, J.P.; Snyder, K.M.; Moreno, M.M.; Fajardo, E.; Fiser, A.; Ness, J.; Sarkar, A.; Toms, S.A.; Tapinos, N. Regulation of human glioma cell migration, tumor growth, and stemness gene expression using a Lck targeted inhibitor. Oncogene 2019, 38, 1734–1750. [Google Scholar] [CrossRef]
 - Giese, A.; Bjerkvig, R.; Berens, M.E.; Westphal, M. Cost of migration: Invasion of malignant gliomas and implications for treatment. J. Clin. Oncol. 2003, 21, 1624–1636. [Google Scholar] [CrossRef] [PubMed]
 - Giese, A.; Westphal, M. Glioma invasion in the central nervous system. Neurosurgery 1996, 39, 235–250, discussion 232–250. [Google Scholar] [CrossRef]
 - Di Ieva, A.; Grizzi, F.; Sherif, C.; Matula, C.; Tschabitscher, M. Angioarchitectural heterogeneity in human glioblastoma multiforme: A fractal-based histopathological assessment. Microvasc. Res. 2011, 81, 222–230. [Google Scholar] [CrossRef] [PubMed]
 - Ahmed, A.U.; Auffinger, B.; Lesniak, M.S. Understanding glioma stem cells: Rationale, clinical relevance and therapeutic strategies. Expert. Rev. Neurother. 2013, 13, 545–555. [Google Scholar] [CrossRef] [PubMed]
 - Ben-Porath, I.; Thomson, M.W.; Carey, V.J.; Ge, R.; Bell, G.W.; Regev, A.; Weinberg, R.A. An embryonic stem cell-like gene expression signature in poorly differentiated aggressive human tumors. Nat. Genet. 2008, 40, 499–507. [Google Scholar] [CrossRef] [PubMed]
 - Lee, J.; Kotliarova, S.; Kotliarov, Y.; Li, A.; Su, Q.; Donin, N.M.; Pastorino, S.; Purow, B.W.; Christopher, N.; Zhang, W.; et al. Tumor stem cells derived from glioblastomas cultured in bFGF and EGF more closely mirror the phenotype and genotype of primary tumors than do serum-cultured cell lines. Cancer Cell 2006, 9, 391–403. [Google Scholar] [CrossRef]
 - Singh, S.K.; Hawkins, C.; Clarke, I.D.; Squire, J.A.; Bayani, J.; Hide, T.; Henkelman, R.M.; Cusimano, M.D.; Dirks, P.B. Identification of human brain tumour initiating cells. Nature 2004, 432, 396–401. [Google Scholar] [CrossRef]
 - Seker-Polat, F.; Pinarbasi Degirmenci, N.; Solaroglu, I.; Bagci-Onder, T. Tumor Cell Infiltration into the Brain in Glioblastoma: From Mechanisms to Clinical Perspectives. Cancers 2022, 14, 443. [Google Scholar] [CrossRef]
 - Callaghan, P. Principles of Nuclear Magnetic Resonance Microscopy; Clarendon Press: Oxford, UK, 1994. [Google Scholar]
 - Wedeen, V.J.; Rosene, D.L.; Wang, R.; Dai, G.; Mortazavi, F.; Hagmann, P.; Kaas, J.H.; Tseng, W.Y. The geometric structure of the brain fiber pathways. Science 2012, 335, 1628–1634. [Google Scholar] [CrossRef]
 - Bonosi, L.; Marrone, S.; Benigno, U.E.; Buscemi, F.; Musso, S.; Porzio, M.; Silven, M.P.; Torregrossa, F.; Grasso, G. Maximal Safe Resection in Glioblastoma Surgery: A Systematic Review of Advanced Intraoperative Image-Guided Techniques. Brain Sci. 2023, 13, 216. [Google Scholar] [CrossRef] [PubMed]
 - Burks, J.D.; Bonney, P.A.; Conner, A.K.; Glenn, C.A.; Briggs, R.G.; Battiste, J.D.; McCoy, T.; O’Donoghue, D.L.; Wu, D.H.; Sughrue, M.E. A method for safely resecting anterior butterfly gliomas: The surgical anatomy of the default mode network and the relevance of its preservation. J. Neurosurg. 2017, 126, 1795–1811. [Google Scholar] [CrossRef] [PubMed]
 - Carrabba, G.; Fiore, G.; Di Cristofori, A.; Bana, C.; Borellini, L.; Zarino, B.; Conte, G.; Triulzi, F.; Rocca, A.; Giussani, C.; et al. Diffusion tensor imaging, intra-operative neurophysiological monitoring and small craniotomy: Results in a consecutive series of 103 gliomas. Front. Oncol. 2022, 12, 897147. [Google Scholar] [CrossRef]
 - Abhinav, K.; Yeh, F.C.; Mansouri, A.; Zadeh, G.; Fernandez-Miranda, J.C. High-definition fiber tractography for the evaluation of perilesional white matter tracts in high-grade glioma surgery. Neuro. Oncol. 2015, 17, 1199–1209. [Google Scholar] [CrossRef] [PubMed]
 - Brancato, V.; Cavaliere, C.; Garbino, N.; Isgrò, F.; Salvatore, M.; Aiello, M. The relationship between radiomics and pathomics in Glioblastoma patients: Preliminary results from a cross-scale association study. Front. Oncol. 2022, 12, 1005805. [Google Scholar] [CrossRef]
 - Metz, M.C.; Molina-Romero, M.; Lipkova, J.; Gempt, J.; Liesche-Starnecker, F.; Eichinger, P.; Grundl, L.; Menze, B.; Combs, S.E.; Zimmer, C.; et al. Predicting Glioblastoma Recurrence from Preoperative MR Scans Using Fractional-Anisotropy Maps with Free-Water Suppression. Cancers 2020, 12, 728. [Google Scholar] [CrossRef]
 - Nguyen, D.H.; Le, T.D.; Nguyen, H.V.; Nguyen-Thi, V.A.; Nguyen, D.H.; Dong-Van, H.; Nguyen, M.D. Discriminating glioblastoma from solitary brain metastases on 3 Tesla magnetic resonance imaging: The roles of fractional anisotropy and mean diffusivity. Eur. Rev. Med. Pharmacol. Sci. 2022, 26, 8823–8831. [Google Scholar] [CrossRef]
 - Rammohan, N.; Ho, A.; Saxena, M.; Bajaj, A.; Kruser, T.J.; Horbinski, C.; Korutz, A.; Tate, M.; Sachdev, S. Tumor-associated alterations in white matter connectivity have prognostic significance in MGMT-unmethylated glioblastoma. J. Neurooncol. 2022, 158, 331–339. [Google Scholar] [CrossRef]
 - Taylor, E.N.; Ding, Y.; Zhu, S.; Cheah, E.; Alexander, P.; Lin, L.; Aninwene, G.E., II; Hoffman, M.P.; Mahajan, A.; Mohamed, A.S.R.; et al. Association between tumor architecture derived from generalized Q-space MRI and survival in glioblastoma. Oncotarget 2017, 8, 41815–41826. [Google Scholar] [CrossRef]
 - Würtemberger, U.; Rau, A.; Reisert, M.; Kellner, E.; Diebold, M.; Erny, D.; Reinacher, P.C.; Hosp, J.A.; Hohenhaus, M.; Urbach, H.; et al. Differentiation of Perilesional Edema in Glioblastomas and Brain Metastases: Comparison of Diffusion Tensor Imaging, Neurite Orientation Dispersion and Density Imaging and Diffusion Microstructure Imaging. Cancers 2022, 15, 129. [Google Scholar] [CrossRef]
 - Kis, D.; Szivos, L.; Rekecki, M.; Shukir, B.S.; Mate, A.; Hideghety, K.; Barzo, P. Predicting the true extent of glioblastoma based on probabilistic tractography. Front. Neurosci. 2022, 16, 886465. [Google Scholar] [CrossRef] [PubMed]
 - Yeh, F.C.; Wedeen, V.J.; Tseng, W.Y. Generalized q-sampling imaging. IEEE Trans. Med. Imaging 2010, 29, 1626–1635. [Google Scholar] [CrossRef]
 - Taylor, E.N.; Hoffman, M.P.; Aninwene, G.E., II; Gilbert, R.J. Patterns of intersecting fiber arrays revealed in whole muscle with generalized Q-space imaging. Biophys. J. 2015, 108, 2740–2749. [Google Scholar] [CrossRef]
 - Assaf, Y.; Kafri, M.; Shinar, H.; Chapman, J.; Korczyn, A.D.; Navon, G.; Cohen, Y. Changes in axonal morphology in experimental autoimmune neuritis as studied by high b-value q-space (1)H and (2)H DQF diffusion magnetic resonance spectroscopy. Magn. Reson. Med. 2002, 48, 71–81. [Google Scholar] [CrossRef]
 - Shemesh, N.; Ozarslan, E.; Komlosh, M.E.; Basser, P.J.; Cohen, Y. From single-pulsed field gradient to double-pulsed field gradient MR: Gleaning new microstructural information and developing new forms of contrast in MRI. NMR Biomed. 2010, 23, 757–780. [Google Scholar] [CrossRef]
 - Le Bihan, D.; Urayama, S.; Aso, T.; Hanakawa, T.; Fukuyama, H. Direct and fast detection of neuronal activation in the human brain with diffusion MRI. Proc. Natl. Acad. Sci. USA 2006, 103, 8263–8268. [Google Scholar] [CrossRef] [PubMed]
 - Tuch, D.S.; Reese, T.G.; Wiegell, M.R.; Makris, N.; Belliveau, J.W.; Wedeen, V.J. High angular resolution diffusion imaging reveals intravoxel white matter fiber heterogeneity. Magn. Reson. Med. 2002, 48, 577–582. [Google Scholar] [CrossRef] [PubMed]
 - Sosnovik, D.E.; Wang, R.; Dai, G.; Wang, T.; Aikawa, E.; Novikov, M.; Rosenzweig, A.; Gilbert, R.J.; Wedeen, V.J. Diffusion spectrum MRI tractography reveals the presence of a complex network of residual myofibers in infarcted myocardium. Circ. Cardiovasc. Imaging 2009, 2, 206–212. [Google Scholar] [CrossRef]
 - Wang, T.T.; Kwon, H.S.; Dai, G.; Wang, R.; Mijailovich, S.M.; Moss, R.L.; So, P.T.; Wedeen, V.J.; Gilbert, R.J. Resolving myoarchitectural disarray in the mouse ventricular wall with diffusion spectrum magnetic resonance imaging. Ann. Biomed. Eng. 2010, 38, 2841–2850. [Google Scholar] [CrossRef]
 - Gaige, T.A.; Kwon, H.S.; Dai, G.; Cabral, V.C.; Wang, R.; Nam, Y.S.; Engelward, B.P.; Wedeen, V.J.; So, P.T.; Gilbert, R.J. Multiscale structural analysis of mouse lingual myoarchitecture employing diffusion spectrum magnetic resonance imaging and multiphoton microscopy. J. Biomed. Opt. 2008, 13, 064005. [Google Scholar] [CrossRef]
 - Wu, T.D.; Nacu, S. Fast and SNP-tolerant detection of complex variants and splicing in short reads. Bioinformatics 2010, 26, 873–881. [Google Scholar] [CrossRef] [PubMed]
 - Ritchie, M.E.; Phipson, B.; Wu, D.; Hu, Y.; Law, C.W.; Shi, W.; Smyth, G.K. limma powers differential expression analyses for RNA-sequencing and microarray studies. Nucleic Acids Res. 2015, 43, e47. [Google Scholar] [CrossRef] [PubMed]
 - Smyth, G.K. Linear models and empirical bayes methods for assessing differential expression in microarray experiments. Stat. Appl. Genet. Mol. Biol. 2004, 3. [Google Scholar] [CrossRef] [PubMed]
 - Law, C.W.; Chen, Y.; Shi, W.; Smyth, G.K. voom: Precision weights unlock linear model analysis tools for RNA-seq read counts. Genome Biol. 2014, 15, R29. [Google Scholar] [CrossRef]
 - Benjamini, Y.; Hochberg, Y. Controlling the False Discovery Rate: A Practical and Powerful Approach to Multiple Testing. J. R. Stat. Soc. Ser. B Methodol. 1995, 57, 289–300. [Google Scholar] [CrossRef]
 - Subramanian, A.; Tamayo, P.; Mootha, V.K.; Mukherjee, S.; Ebert, B.L.; Gillette, M.A.; Paulovich, A.; Pomeroy, S.L.; Golub, T.R.; Lander, E.S.; et al. Gene set enrichment analysis: A knowledge-based approach for interpreting genome-wide expression profiles. Proc. Natl. Acad. Sci. USA 2005, 102, 15545–15550. [Google Scholar] [CrossRef]
 - Mohan, S.; Wang, S.; Coban, G.; Kural, F.; Chawla, S.; O’Rourke, D.M.; Poptani, H. Detection of occult neoplastic infiltration in the corpus callosum and prediction of overall survival in patients with glioblastoma using diffusion tensor imaging. Eur. J. Radiol. 2019, 112, 106–111. [Google Scholar] [CrossRef]
 - Liang, T.H.; Kuo, S.H.; Wang, C.W.; Chen, W.Y.; Hsu, C.Y.; Lai, S.F.; Tseng, H.M.; You, S.L.; Chen, C.M.; Tseng, W.Y. Adverse prognosis and distinct progression patterns after concurrent chemoradiotherapy for glioblastoma with synchronous subventricular zone and corpus callosum invasion. Radiother. Oncol. 2016, 118, 16–23. [Google Scholar] [CrossRef]
 - Steltzer, K.J.; Sauvé, K.I.; Spence, A.M.; Griffin, T.W.; Berger, M.S. Corpus callosum involvement as a prognostic factor for patients with high-grade astrocytoma. Int. J. Radiat. Oncol. Biol. Phys. 1997, 38, 27–30. [Google Scholar] [CrossRef]
 - Okita, Y.; Takano, K.; Tateishi, S.; Hayashi, M.; Sakai, M.; Kinoshita, M.; Kishima, H.; Nakanishi, K. Neurite orientation dispersion and density imaging and diffusion tensor imaging to facilitate distinction between infiltrating tumors and edemas in glioblastoma. Magn. Reson. Imaging 2023, 100, 18–25. [Google Scholar] [CrossRef]
 - Brancato, V.; Nuzzo, S.; Tramontano, L.; Condorelli, G.; Salvatore, M.; Cavaliere, C. Predicting Survival in Glioblastoma Patients Using Diffusion MR Imaging Metrics-A Systematic Review. Cancers 2020, 12, 2858. [Google Scholar] [CrossRef] [PubMed]
 - Le Bihan, D. Looking into the functional architecture of the brain with diffusion MRI. Nat. Rev. Neurosci. 2003, 4, 469–480. [Google Scholar] [CrossRef]
 - Le Bihan, D.; Breton, E.; Lallemand, D.; Grenier, P.; Cabanis, E.; Laval-Jeantet, M. MR imaging of intravoxel incoherent motions: Application to diffusion and perfusion in neurologic disorders. Radiology 1986, 161, 401–407. [Google Scholar] [CrossRef]
 - Ford, J.C.; Hackney, D.B.; Lavi, E.; Phillips, M.; Patel, U. Dependence of apparent diffusion coefficients on axonal spacing, membrane permeability, and diffusion time in spinal cord white matter. J. Magn. Reson. Imaging 1998, 8, 775–782. [Google Scholar] [CrossRef] [PubMed]
 - Norris, D.G.; Niendorf, T.; Leibfritz, D. Healthy and infarcted brain tissues studied at short diffusion times: The origins of apparent restriction and the reduction in apparent diffusion coefficient. NMR Biomed. 1994, 7, 304–310. [Google Scholar] [CrossRef] [PubMed]
 - Winklewski, P.J.; Sabisz, A.; Naumczyk, P.; Jodzio, K.; Szurowska, E.; Szarmach, A. Understanding the Physiopathology Behind. Axial and Radial Diffusivity Changes-What Do We Know? Front. Neurol. 2018, 9, 92. [Google Scholar] [CrossRef]
 - Miloushev, V.Z.; Chow, D.S.; Filippi, C.G. Meta-analysis of diffusion metrics for the prediction of tumor grade in gliomas. AJNR Am. J. Neuroradiol. 2015, 36, 302–308. [Google Scholar] [CrossRef]
 - Suita, Y.; Miriyala, S.; Merih-Toruner, D.; Yue, W.; Xie, L.; Akobundu, B.; Pertsch, N.; Fiser, A.; Fajardo, E.; Shen, J.; et al. Engineering GliaTrap: A biodegradable non-swelling hydrogel with tuned release of CXCL12 to attract migrating glioblastoma cells. bioRxiv 2023. [Google Scholar] [CrossRef]
 - Mughal, A.A.; Zhang, L.; Fayzullin, A.; Server, A.; Li, Y.; Wu, Y.; Glass, R.; Meling, T.; Langmoen, I.A.; Leergaard, T.B.; et al. Patterns of Invasive Growth in Malignant Gliomas-The Hippocampus Emerges as an Invasion-Spared Brain Region. Neoplasia 2018, 20, 643–656. [Google Scholar] [CrossRef]
 - Niyazi, M.; Andratschke, N.; Bendszus, M.; Chalmers, A.J.; Erridge, S.C.; Galldiks, N.; Lagerwaard, F.J.; Navarria, P.; Munck Af Rosenschöld, P.; Ricardi, U.; et al. ESTRO-EANO guideline on target delineation and radiotherapy details for glioblastoma. Radiother. Oncol. 2023, 184, 109663. [Google Scholar] [CrossRef]
 - Morello, A.; Bianconi, A.; Rizzo, F.; Bellomo, J.; Meyer, A.C.; Garbossa, D.; Regli, L.; Cofano, F. Laser Interstitial Thermotherapy (LITT) in Recurrent Glioblastoma: What Window of Opportunity for This Treatment? Technol. Cancer Res. Treat. 2024, 23, 1–9. [Google Scholar] [CrossRef] [PubMed]
 - Viozzi, I.; Overduin, C.G.; Rijpma, A.; Rovers, M.M.; Laan, M.T. MR-guided LITT therapy in patients with primary irresectable glioblastoma: A prospective, controlled pilot study. J. Neurooncol. 2023, 164, 405–412. [Google Scholar] [CrossRef]
 - D’Amico, R.S.; Aghi, M.K.; Vogelbaum, M.A.; Bruce, J.N. Convection-enhanced drug delivery for glioblastoma: A review. J. Neurooncol. 2021, 151, 415–427. [Google Scholar] [CrossRef] [PubMed]
 - Witulla, B.; Goerig, N.; Putz, F.; Frey, B.; Engelhorn, T.; Dörfler, A.; Uder, M.; Fietkau, R.; Bert, C.; Laun, F.B. On PTV definition for glioblastoma based on fiber tracking of diffusion tensor imaging data. PLoS ONE 2020, 15, e0227146. [Google Scholar] [CrossRef]
 - Castellano, A.; Bailo, M.; Cicone, F.; Carideo, L.; Quartuccio, N.; Mortini, P.; Falini, A.; Cascini, G.L.; Minniti, G. Advanced Imaging Techniques for Radiotherapy Planning of Gliomas. Cancers 2021, 13, 1063. [Google Scholar] [CrossRef] [PubMed]
 - Castellano, A.; Cirillo, S.; Bello, L.; Riva, M.; Falini, A. Functional MRI for Surgery of Gliomas. Curr. Treat. Options Neurol. 2017, 19, 34. [Google Scholar] [CrossRef]
 - Wei, R.; Zhou, J.; Bui, B.; Liu, X. Glioma actively orchestrate a self-advantageous extracellular matrix to promote recurrence and progression. BMC Cancer 2024, 24, 974. [Google Scholar] [CrossRef]
 - Perry, J.; Nikpanah, M.; Chiu, S.-C.; Fang, Y.-H.; McConathy, J. Volumetric Brain Tumor Segmentation in High-Grade Glioma Using a Semi-Automated Workflow. J. Nucl. Med. 2024, 65, 242500. [Google Scholar]
 - Li, H.B.; Conte, G.M.; Anwar, S.M.; Kofler, F.; Ezhov, I.; van Leemput, K.; Piraud, M.; Diaz, M.; Cole, B.; Calabrese, E.; et al. The Brain Tumor Segmentation (BraTS) Challenge 2023: Brain MR Image Synthesis for Tumor Segmentation (BraSyn). arXiv 2023. [Google Scholar] [CrossRef]
 - Sun, L.; Zhang, S.; Chen, H.; Luo, L. Brain Tumor Segmentation and Survival Prediction Using Multimodal MRI Scans With Deep Learning. Front. Neurosci. 2019, 13, 810. [Google Scholar] [CrossRef]
 - Giaccone, P.; Benfante, V.; Stefano, A.; Cammarata, F.P.; Russo, G.; Comelli, A. PET Images Atlas-Based Segmentation Performed in Native and in Template Space: A Radiomics Repeatability Study in Mouse Models. In Image Analysis and Processing, Proceedings of the ICIAP 2022 Workshops: ICIAP International Workshops, Lecce, Italy, 23–27 May 2022; Revised Selected Papers, Part I; Springer: Berlin/Heidelberg, Germany, 2022; pp. 351–361. [Google Scholar] [CrossRef]
 





| Patient Characteristics (n = 7) | n (%)/Mean (±SD) | 
|---|---|
| Demographic Details | |
| Age (Years) | 66.9 (±10.6) | 
| Gender (Male) | 4 (57.1%) | 
| Treatment Details | |
| Surgical Resection (vs. biopsy) | 6 (85.7%) | 
| Chemotherapy (Temozolomide) | 7 (100%) | 
| Radiation | 7 (100%) | 
| Pathology Details | |
| MGMT Promotor Methylation | 4 (57.1%) | 
| IDH Wildtype | 7 (100%) | 
| Clinical Outcomes | |
| Mortality at Last Follow-up | 7 (100%) | 
| Progression-Free (Days) | 141.0 (±94) | 
| Overall Survival (Days) | 308.5 (±182.3) | 
| Tumor Location and Structural Features | |
| Location, Frontal | 1 (14.3%) | 
| Location, Temporal | 3 (42.8%) | 
| Location, Parietal | 3 (42.8%) | 
| Location, Occipital | 0 | 
| Location, Corpus Callosum | 0 | 
| Location, Basal Ganglia/Thalamus | 0 | 
| Laterality, Left | 5 (71.4%) | 
| Tumor Volume (cm3) | 18.7 (±4.2) | 
| Number of Tumor Foci at Diagnosis | 2.1 (±2.2) | 
| Multifocal at Diagnosis | 3 (42.9%) | 
| Generalized Q-Space Imaging (QSI)-Derived Tractography Features | |
| Mean Tract Length (mm) | 23.2 (±3.1) | 
| Mean Projecting Tract Length (mm) | 38.9 (±4.9) | 
| Patient Characteristics (n = 66) | n (%)/Mean (±SD) | β (95% CI) | p-Value | 
|---|---|---|---|
| Overall Survival (Days) | 714 (±664.8) | – | – | 
| Surgical Resection (vs. biopsy) | 60 (90.9%) | – | – | 
| Chemotherapy (Temozolomide) | 63 (95.5%) | – | – | 
| Radiation | 64 (97.0%) | – | – | 
| Multifocal Tumor at Diagnosis | 10 (15.2%) | – | – | 
| Demographics | |||
| Age (Years, Mean ± SD) | 59.4 (±12.1) | −13.24 (−26.55, 0.08) | 0.051 | 
| Tumor Location and Structural Features | |||
| Location, Frontal | 22 (33.3%) | – | 0.417 | 
| Location, Temporal | 27 (40.9%) | – | 0.853 | 
| Location, Parietal | 29 (43.9%) | – | 0.679 | 
| Location, Occipital | 10 (15.2%) | – | 0.496 | 
| Location, Corpus Callosum | 4 (6.1%) | – | <0.001 | 
| Location, Basal Ganglia/Thalamus | 3 (4.5%) | – | 0.922 | 
| Laterality, Left | 33 (50%) | – | 0.029 | 
| Number of Tumor Foci | 1.2 (±0.4) | 61.37 (−338.88, 461.62) | 0.760 | 
| Tumor Volume (cm3) | 43.1 (±37.9) | −3.59 (−7.87, 0.69) | 0.099 | 
| Calculated Intra-tumoral dwMRI Metrics (Mean ± SD) | |||
| Quantitative Anisotropy (QA) | 1.19 (±0.42) | 139.85 (−253.72, 533.41) | 0.480 | 
| Fractional Anisotropy (FA) | 0.19 (±0.06) | −663.42 (−3433.88, 2107.04) | 0.634 | 
| Mean Diffusivity (MD) | 1.25 (±0.34) | 504.75 (28.20, 981.29) | 0.038 | 
| Axial Diffusivity (AD) | 1.47 (±0.36) | 474.17 (30.69, 917.65) | 0.037 | 
| Generalized Q-Space Imaging (QSI)-Derived Tractography Features | |||
| Identified Anatomic White Matter Structure Involvement (%) | 51 (77.3%) | – | 0.965 | 
| Corpus Callosum | 34 (51.5%) | – | 0.091 | 
| Corticothalamic Tracts | 6 (9.1%) | – | 0.461 | 
| Corticospinal Tracts | 9 (13.6%) | – | 0.691 | 
| Superior Longitudinal Fasciculus | 19 (28.8%) | – | 0.824 | 
| Inferior Longitudinal Fasciculus/Inferior Frontal-Occipital Fasciculus | 20 (30.3%) | – | 0.008 | 
| Uncinate Fasciculus | 4 (6.1%) | – | 0.589 | 
| Mean Tract Length (mm) | 29.1 (±11.7) | −7.79 (−21.88, 6.31) | 0.274 | 
| Mean Projecting Tract Length (mm) | 64.2 (±19.6) | −5.63 (−13.98, 2.72) | 0.183 | 
| Number of Projecting Tract Bundles | 5.0 (±2.1) | 12.21 (−47.47, 71.88) | 0.684 | 
Disclaimer/Publisher’s Note: The statements, opinions and data contained in all publications are solely those of the individual author(s) and contributor(s) and not of MDPI and/or the editor(s). MDPI and/or the editor(s) disclaim responsibility for any injury to people or property resulting from any ideas, methods, instructions or products referred to in the content.  | 
© 2024 by the authors. Licensee MDPI, Basel, Switzerland. This article is an open access article distributed under the terms and conditions of the Creative Commons Attribution (CC BY) license (https://creativecommons.org/licenses/by/4.0/).
Share and Cite
Leary, O.P.; Zepecki, J.P.; Pizzagalli, M.; Toms, S.A.; Liu, D.D.; Suita, Y.; Ding, Y.; Wang, J.; He, R.; Chung, C.; et al. Tumor-Associated Tractography Derived from High-Angular-Resolution Q-Space MRI May Predict Patterns of Cellular Invasion in Glioblastoma. Cancers 2024, 16, 3669. https://doi.org/10.3390/cancers16213669
Leary OP, Zepecki JP, Pizzagalli M, Toms SA, Liu DD, Suita Y, Ding Y, Wang J, He R, Chung C, et al. Tumor-Associated Tractography Derived from High-Angular-Resolution Q-Space MRI May Predict Patterns of Cellular Invasion in Glioblastoma. Cancers. 2024; 16(21):3669. https://doi.org/10.3390/cancers16213669
Chicago/Turabian StyleLeary, Owen P., John P. Zepecki, Mattia Pizzagalli, Steven A. Toms, David D. Liu, Yusuke Suita, Yao Ding, Jihong Wang, Renjie He, Caroline Chung, and et al. 2024. "Tumor-Associated Tractography Derived from High-Angular-Resolution Q-Space MRI May Predict Patterns of Cellular Invasion in Glioblastoma" Cancers 16, no. 21: 3669. https://doi.org/10.3390/cancers16213669
APA StyleLeary, O. P., Zepecki, J. P., Pizzagalli, M., Toms, S. A., Liu, D. D., Suita, Y., Ding, Y., Wang, J., He, R., Chung, C., Fuller, C. D., Boxerman, J. L., Tapinos, N., & Gilbert, R. J. (2024). Tumor-Associated Tractography Derived from High-Angular-Resolution Q-Space MRI May Predict Patterns of Cellular Invasion in Glioblastoma. Cancers, 16(21), 3669. https://doi.org/10.3390/cancers16213669
        
