A Randomized Controlled Trial Assessing the Release of Circulating Tumor and Mesenchymal Cells in No-Touch Radical Nephrectomy
Simple Summary
Abstract
1. Introduction
2. Materials and Methods
2.1. Study Design and Participants
2.2. Randomization and Masking
2.3. Blood Collection and CTC Isolation and Characterization
2.4. Outcomes and Statistical Analysis
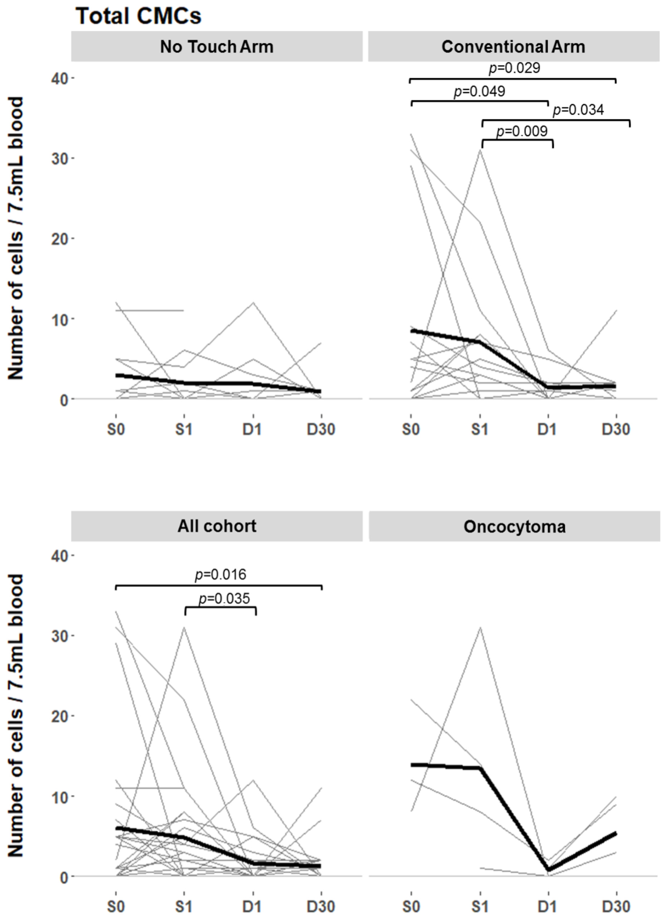
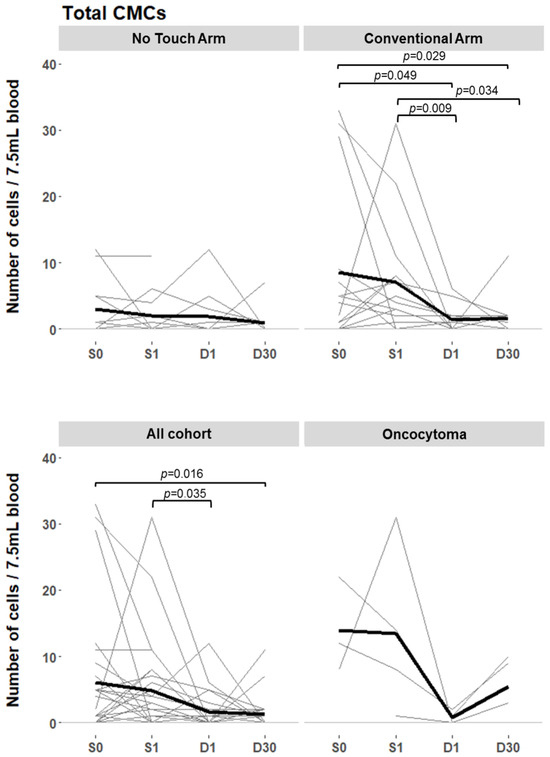
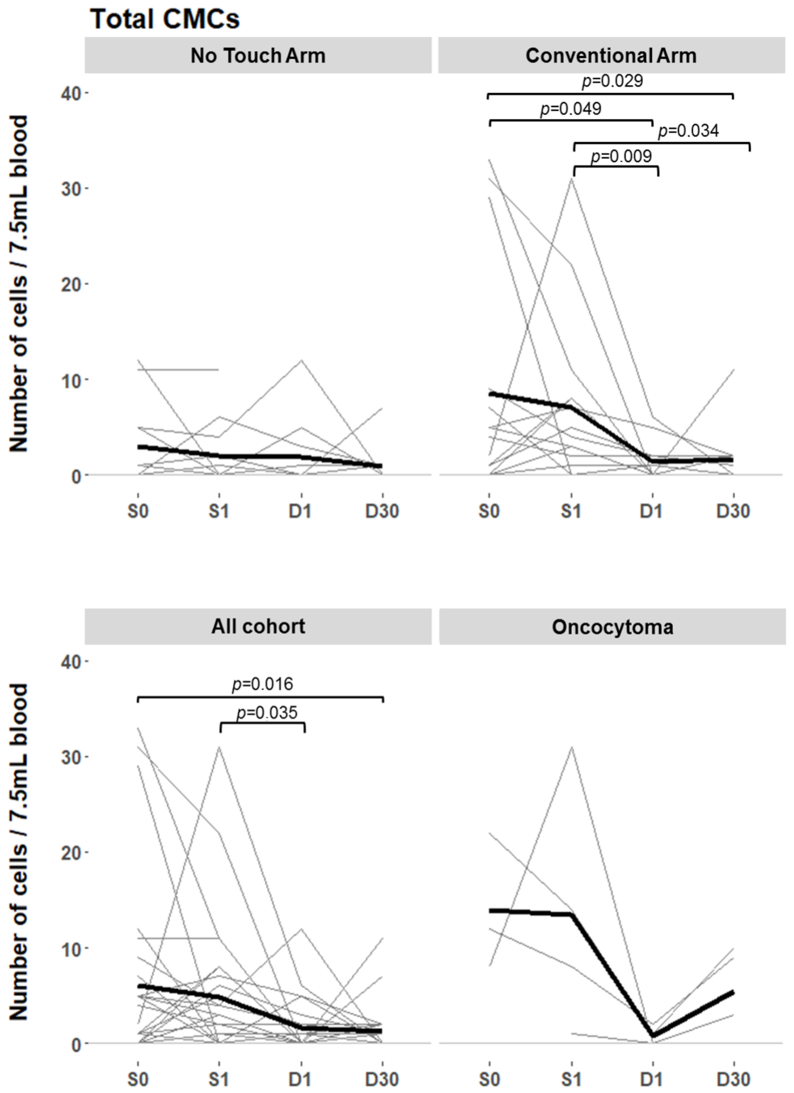
3. Results
4. Discussion
5. Patents
6. Conclusions
Supplementary Materials
Author Contributions
Funding
Institutional Review Board Statement
Informed Consent Statement
Data Availability Statement
Acknowledgments
Conflicts of Interest
References
- Bukavina, L.; Bensalah, K.; Bray, F.; Carlo, M.; Challacombe, B.; Karam, J.A.; Kassouf, W.; Mitchell, T.; Montironi, R.; O’Brien, T.; et al. Epidemiology of Renal Cell Carcinoma: 2022 Update. Eur. Urol. 2022, 82, 529–542. [Google Scholar] [CrossRef]
- Capitanio, U.; Montorsi, F. Renal cancer. Lancet 2016, 387, 894–906. [Google Scholar] [CrossRef]
- Ali, S.; Ahn, T.; Papa, N.; Perera, M.; Teloken, P.; Coughlin, G.; Wood, S.T.; Roberts, M.J. Changing trends in surgical management of renal tumours from 2000 to 2016: A nationwide study of Medicare claims data. ANZ J. Surg. 2020, 90, 48–52. [Google Scholar] [CrossRef]
- Chin, A.I.; Lam, J.S.; Figlin, R.A.; Belldegrun, A.S. Surveillance strategies for renal cell carcinoma patients following nephrectomy. Rev. Urol. 2006, 8, 16985554. [Google Scholar]
- Palmela Leitão, T.; Miranda, M.; Polido, J.; Morais, J.; Corredeira, P.; Alves, P.; Oliveira, T.; Silva, R.P.; Fernandes, R.; Ferreira, J.; et al. Circulating tumor cell detection methods in renal cell carcinoma: A systematic review. Crit. Rev. Oncol. Hematol. 2021, 161, 103331. [Google Scholar] [CrossRef]
- Liu, S.; Tian, Z.; Zhang, L.; Hou, S.; Hu, S.; Wu, J.; Jing, Y.; Sun, H.; Yu, F.; Zhao, L.; et al. Combined cell surface carbonic anhydrase 9 and CD147 antigens enable high-efficiency capture of circulating tumor cells in clear cell renal cell carcinoma patients. Oncotarget 2016, 7, 59877–59891. [Google Scholar] [CrossRef]
- Basso, U.; Facchinetti, A.; Rossi, E.; Maruzzo, M.; Conteduca, V.; Aieta, M.; Massari, F.; Fraccon, A.P.; Mucciarini, C.; Sava, T.; et al. Prognostic role of circulating tumor cells-CTCs in metastatic renal cell carcinoma. J. Clin. Oncol. 2017, 35 (Suppl. S15), 4568. [Google Scholar] [CrossRef]
- Nayak, B.; Panaiyadiyan, S.; Singh, P.; Karmakar, S.; Kaushal, S.; Seth, A. Role of circulating tumor cells in patients with metastatic clear-cell renal cell carcinoma. Urol. Oncol. 2021, 39, 135.e9–135.e15. [Google Scholar] [CrossRef]
- Allard, W.J.; Matera, J.; Miller, M.C.; Repollet, M.; Connelly, M.C.; Rao, C.; Tibbe, A.G.J.; Uhr, J.W.; Terstappen, L.W.M.M. Tumor cells circulate in the peripheral blood of all major carcinomas but not in healthy subjects or patients with nonmalignant diseases. Clin. Cancer Res. 2004, 10, 6897–6904. [Google Scholar] [CrossRef]
- Maertens, Y.; Humberg, V.; Erlmeier, F.; Steffens, S.; Steinestel, J.; Bögemann, M.; Schrader, A.J.; Bernemann, C. Comparison of isolation platforms for detection of circulating renal cell carcinoma cells. Oncotarget 2017, 8, 87710–87717. [Google Scholar] [CrossRef]
- Ohlmann, C.-H.; Ozgur, E.; Schrader, A.J.; Konrad, L.; Hofmann, R.; Engelmann, U.; Heidenreich, A. Detection of circulating tumor cells in patients with renal cell carcinoma by reverse transcriptase polymerase chain reaction for G250/MNCA-9: Results of a prospective trial. Urol. Oncol. Semin. Orig. Investig. 2006, 24, 287–293. [Google Scholar] [CrossRef] [PubMed]
- El-Heliebi, A.; Kroneis, T.; Zohrer, E.; Haybaeck, J.; Fischereder, K.; Kampel-Kettner, K.; Zigeuner, R.; Pock, H.; Riedl, R.; Stauber, R.; et al. Are morphological criteria sufficient for the identification of circulating tumor cells in renal cancer? J. Transl. Med. 2013, 11, 214. [Google Scholar] [CrossRef] [PubMed]
- Bluemke, K.; Bilkenroth, U.; Meye, A.; Fuessel, S.; Lautenschlaeger, C.; Goebel, S.; Melchior, A.; Heynemann, H.; Fornara, P.; Taubert, H. Detection of circulating tumor cells in peripheral blood of patients with renal cell carcinoma correlates with prognosis. Cancer Epidemiol. Biomark. Prev. 2009, 18, 2190–2194. [Google Scholar] [CrossRef] [PubMed]
- Ashida, S.; Okuda, H.; Chikazawa, M.; Tanimura, M.; Sugita, O.; Yamamoto, Y.; Nakamura, S.; Moriyama, M.; Shuin, T. Detection of circulating cancer cells with von hippel-lindau gene mutation in peripheral blood of patients with renal cell carcinoma. Clin. Cancer Res. 2000, 6, 3817–3822. [Google Scholar]
- Higgins, G.A., Jr. Surgical considerations in colorectal cancer. Cancer 1977, 39 (Suppl. S2), 891–895. [Google Scholar] [CrossRef]
- Hayashi, N.; Egami, H.; Kai, M.; Kurusu, Y.; Takano, S.; Ogawa, M. No-touch isolation technique reduces intraoperative shedding of tumor cells into the portal vein during resection of colorectal cancer. Surgery 1999, 125, 369–374. [Google Scholar] [CrossRef]
- Takii, Y.; Mizusawa, J.; Kanemitsu, Y.; Komori, K.; Shiozawa, M.; Ohue, M.; Ikeda, S.; Takiguchi, N.; Kobatake, T.; Ike, H.; et al. The Conventional Technique Versus the No-touch Isolation Technique for Primary Tumor Resection in Patients with Colon Cancer (JCOG1006): A Multicenter, Open-label, Randomized, Phase III Trial. Ann. Surg. 2022, 275, 849–855. [Google Scholar] [CrossRef]
- Wiggers, T.; Jeekel, J.; Arends, J.W.; Brinkhorst, A.P.; Kluck, H.M.; Luyk, C.I.; Munting, J.D.K.; Povel, J.A.C.M.; Rutten, A.P.M.; Volovics, A.; et al. No-touch isolation technique in colon cancer: A controlled prospective trial. Br. J. Surg. 1988, 75, 409–415. [Google Scholar] [CrossRef]
- Sawabata, N.; Hyakutaka, T.; Kawaguchi, T.; Yasukawa, M.; Kawai, N.; Tojo, T.; Taniguchi, S. A no-touch technique for pulmonary wedge resection of lung cancer. Gen. Thorac. Cardiovasc. Surg. 2018, 66, 161–167. [Google Scholar] [CrossRef]
- Robson, C.J. Radical nephrectomy for renal cell carcinoma. J. Urol. 1963, 89, 37–42. [Google Scholar] [CrossRef]
- Porpiglia, F.; Terrone, C.; Cracco, C.; Cossu, M.; Grande, S.; Musso, F.; Renard, J.; Scarpa, R.M. Early ligature of renal artery during radical laparoscopic transperitoneal nephrectomy: Description of standard technique and direct access. J. Endourol. 2005, 19, 623–626; discussion 626–627. [Google Scholar] [CrossRef] [PubMed]
- Tunc, L.; Canda, A.E.; Polat, F.; Onaran, M.; Atkin, S.; Biri, H.; Bozkirli, I. Direct upper kidney pole access and early ligation of renal pedicle significantly facilitates transperitoneal laparoscopic nephrectomy procedures: Tunc technique. Surg. Laparosc. Endosc. Percutan. Tech. 2011, 21, 453–457. [Google Scholar] [CrossRef] [PubMed]
- Yang, Q.; Du, J.; Zhao, Z.H.; Chen, X.S.; Zhou, L.; Yao, X. Fast access and early ligation of the renal pedicle significantly facilitates retroperitoneal laparoscopic radical nephrectomy procedures: Modified laparoscopic radical nephrectomy. World J. Surg. Oncol. 2013, 11, 27. [Google Scholar] [CrossRef] [PubMed]
- Leitão, T.P.; Corredeira, P.; Kucharczak, S.; Rodrigues, M.; Piairo, P.; Rodrigues, C.; Alves, P.; Cavaco, A.M.; Miranda, M.; Antunes, M.; et al. Clinical Validation of a Size-Based Microfluidic Device for Circulating Tumor Cell Isolation and Analysis in Renal Cell Carcinoma. Int. J. Mol. Sci. 2023, 24, 8404. [Google Scholar] [CrossRef]
- Davidiuk, A.J.; Parker, A.S.; Thomas, C.S.; Leibovich, B.C.; Castle, E.P.; Heckman, M.G.; Custer, K.; Thiel, D.D. Mayo adhesive probability score: An accurate image-based scoring system to predict adherent perinephric fat in partial nephrectomy. Eur. Urol. 2014, 66, 1165–1171. [Google Scholar] [CrossRef]
- Ficarra, V.; Novara, G.; Secco, S.; Macchi, V.; Porzionato, A.; De Caro, R.; Artibani, W. Preoperative aspects and dimensions used for an anatomical (PADUA) classification of renal tumours in patients who are candidates for nephron-sparing surgery. Eur. Urol. 2009, 56, 786–793. [Google Scholar] [CrossRef]
- Kutikov, A.; Uzzo, R.G. The RENAL nephrometry score: A comprehensive standardized system for quantitating renal tumor size, location and depth. J. Urol. 2009, 182, 844–853. [Google Scholar] [CrossRef]
- Haga, N.; Onagi, A.; Koguchi, T.; Hoshi, S.; Ogawa, S.; Akaihata, H.; Hata, J.; Hiraki, H.; Honda, R.; Tanji, R.; et al. Perioperative Detection of Circulating Tumor Cells in Radical or Partial Nephrectomy for Renal Cell Carcinoma. Ann. Surg. Oncol. 2020, 27, 1272–1281. [Google Scholar] [CrossRef]
- Wang, Z.-L.; Zhang, P.; Li, H.-C.; Yang, X.-J.; Zhang, Y.-P.; Li, Z.-L.; Xue, L.; Xue, Y.-Q.; Li, H.-L.; Chen, Q.; et al. Dynamic changes of different phenotypic and genetic circulating tumor cells as a biomarker for evaluating the prognosis of RCC. Cancer Biol. Ther. 2019, 20, 505–512. [Google Scholar] [CrossRef]
- Mihai, I.; Dura, H.; Teodoru, C.A.; Todor, S.B.; Ichim, C.; Grigore, N.; Mohor, C.I.; Mihetiu, A.; Oprinca, G.; Bacalbasa, N.; et al. Intraoperative Ultrasound: Bridging the Gap between Laparoscopy and Surgical Precision during 3D Laparoscopic Partial Nephrectomies. Diagnostics 2024, 14, 942. [Google Scholar] [CrossRef]
- Guan, Y.; Xu, F.; Tian, J.; Wang, Y.; Guo, N.; Wan, Z.; He, M.; Gao, M.; Gao, K.; Chong, T. Prognostic value of circulating tumor cells and immune-inflammatory cells in patients with renal cell carcinoma. Urol. Oncol. 2022, 40, 167.e21–167.e32. [Google Scholar] [CrossRef]



| NT Group n = 16 | C Group n = 16 | p-Value † | Control Group n = 9 | p-Value ± | |
|---|---|---|---|---|---|
| Age at surgery (yr), median (quartile) | 61.5 (56.8–70.5) | 61.0 (55.8–71.0) | 0.985 | 65 (55.0–69.0) | 0.912 |
| Gender M, n (%) | 9 (56.25%) | 13 (81.25%) | 0.252 | 5 (80%) | 0.693 |
| BMI (kg/m2), median (quartile) | 26.2 (23.6–30.1) | 26.9 (24.1–31.4) | 0.509 | 29.3 (27.0–30.1) | 0.637 |
| Smoking, n (%) | 6 (37.5%) | 4 (25%) | 0.704 | 3 (33.3%) | 1 |
| Obesity, n (%) | 5 (31.3%) | 5 (31.3%) | 1 | 2 (22.2%) | 0.702 |
| Hypertension, n (%) | 11 (68.8%) | 13 (81.3%) | 0.685 | 6 (66.7%) | 0.680 |
| Diabetes, n (%) | 2 (12.5%) | 1 (6.25%) | 1 | 4 (44.4%) | 0.031 |
| Antiplatelet therapy, n (%) | 5 (31.3%) | 5 (31.3%) | 1 | 2 (22.2%) | 0.702 |
| Anticoagulation, n (%) | 1 (6.25%) | 5 (31.3%) | 0.172 | 0 | 0.309 |
| ECOG, n (%) | 0.654 | 0.028 | |||
| 0 | 6 (37.5%) | 8 (50%) | 2 (22.2%) | ||
| 1 | 7 (43.8%) | 4 (25%) | 5 (55.6%) | ||
| 2 | 3 (18.8%) | 4 (25%) | 0 | ||
| 3 | 0 | 0 | 2 (22.2%) | ||
| GFR (mL/min/1.73), median (quartile) | 64.5 (38.3–81.25) | 81.5 (61.8–97.0) | 0.239 | 73.0 (54.0–90.0) | 0.935 |
| CKD history, n (%) | 0.273 | 1 | |||
| 0 | 8 (50%) | 11 (68.8%) | 5 (55.6%) | ||
| 1 | 8 (50%) | 4 (25%) | 4 (44.4%) | ||
| 2 | 0 | 1 (6.3%) | 0 | ||
| Dialysis, n (%) | 3 (18.8%) | 1 (6.3%) | 0.600 | 0 | 0.559 |
| Autoimmune disease, n (%) | 3 (18.8%) | 1 (6.3%) | 0.600 | 0 | 0.559 |
| Tumor characteristics | |||||
| cT | 1 | 1 | |||
| cT1a, n (%) | 3 (18.8%) | 2 (12.5%) | 0 | ||
| cT1b, n (%) | 5 (31.3%) | 6 (37.5%) | 0 | ||
| cT2a, n (%) | 3 (18.8%) | 4 (25%) | 0 | ||
| cT2b, n (%) | 2 (12.5%) | 1 (6.3%) | 0 | ||
| cT3a, n (%) | 2 (12.5%) | 3 (18.8%) | 0 | ||
| cT3b, n (%) | 1 (6.3%) | 0 | 0 | ||
| cN | 1 | 1 | |||
| cN0, n (%) | 16 (100%) | 15 (93.75%) | 0 | ||
| cN1, n (%) | 0 | 1 (6.3%) | 0 | ||
| cM | 0.484 | 1 | |||
| M0, n (%) | 16 (100%) | 14 (87.5) | 0 | ||
| M1, n (%) | 0 | 1 (6.3%) | 0 | ||
| Mx, n (%) | 0 | 1 (6.3%) | 0 | ||
| Tumor side | 0.716 | 0.039 | |||
| Right, n (%) | 11 (68.8) | 9 (56.3%) | 9 (100%) | ||
| Left, n (%) | 5 (31.3%) | 7 (43.8%) | 0 | ||
| Tumor size (mm), median (quartile) | 59.5 (40.8–98.3) | 59.0 (49.0–75.5) | 0.865 | NA | NA |
| Perioperative characteristics | |||||
| ASA classification, n (%) | 0.767 | 1 | |||
| I | 1 (6.3%) | 1 (6.3%) | 0 | ||
| II | 7 (43.8%) | 6 (37.5%) | 0 | ||
| III | 8 (50%) | 7 (43.8%) | 0 | ||
| IV | 0 | 2 (12.5%) | 0 | ||
| Blood loss (mL), median (quartile) | 100.0 (50.5–212.5) | 90.0 (50.0–375.0) | 0.849 | NA | NA |
| Operative time (min), median (quartile) | 84.5 (63.8–95.3) | 107.5 (96.3–131.8) | 0.015 * | NA | NA |
| Time until renal vein exposure (min), median (quartile) | 21.0 (16.5–27.0) | 37.0 (28.3–55.0) | 0.001 * | NA | NA |
| Time between renal vein exposure and ligation (min), median (quartile) | 6.5 (3.0–13.5) | 16.5 (13.0–32.3) | 0.002 * | NA | NA |
| Days of hospital stay (days), median (quartile) | 2.5 (2.0–3.3) | 3.0 (2.0–4.3) | 0.405 | NA | NA |
| Complications, n (%) | 3 (18.8%) | 3 (18.8%) | 1 | 0 | 1 |
| Clavien–Dindo I | 0 | 1 (6.3%) | 0 | ||
| Clavien–Dindo II | 2 (12.5%) | 1 (6.3%) | 0 | ||
| Clavien–Dindo Iva | 1 (6.3%) | 1 (6.3%) | 0 | ||
| Pathological parameters | |||||
| Tumor diameter (mm), median (quartile) | 50.0 (40.0–107.5) | 64.5 (45.0–70.5) | 0.890 | NA | NA |
| Histologic type, n (%) | 0.281 | 1 | |||
| Clear cell | 6 | 11 | 0 | ||
| Papillary type 1 | 0 | 1 | 0 | ||
| Papillary type 2 | 1 | 1 | 0 | ||
| Chromophobe | 3 | 0 | 0 | ||
| Other RCC | 2 | 2 | 0 | ||
| Oncocytoma | 3 | 1 | 0 | ||
| Xanthogranulomatous Pyelonephritis | 1 | 0 | 0 | ||
| Pathology grade (Fuhrman), n (%) | 0.793 | 1 | |||
| 1 | 3 | 2 | 0 | ||
| 2 | 8 | 11 | 0 | ||
| 3 | 0 | 0 | 0 | ||
| 4 | 0 | 1 | 0 | ||
| Microvascular invasion, n (%) | 2 | 3 | 1 | 0 | 1 |
| Lymphatic invasion, n (%) | 1 | 1 | 1 | 0 | 1 |
| Renal vein (segmental) invasion, n (%) | 0 | 4 | 0.106 | 0 | 1 |
| Collecting system invasion, n (%) | 1 | 1 | 1 | 0 | 1 |
| Perirenal fat invasion, n (%) | 3 | 3 | 1 | 0 | 1 |
| pT, n (%) | 0.208 | 1 | |||
| pT1a | 3 | 4 | 0 | ||
| pT1b | 5 | 3 | 0 | ||
| pT2a | 0 | 3 | 0 | ||
| pT2b | 2 | 0 | 0 | ||
| pT3a | 2 | 5 | 0 | ||
| pT3b | 0 | 0 | 0 | ||
| pN, n (%) | NA | NA | |||
| pN0 | 4 | 6 | 0 | ||
| pN1 | 0 | 0 | 0 | ||
| Positive surgical margins, n (%) | 0 | 0 | NA |
| Control Groups n = 9 | Intervention Groups (S0) n = 31 | |||||||||||
|---|---|---|---|---|---|---|---|---|---|---|---|---|
| HC n = 5 | IC n = 4 | RCC NT n = 12 | RCC C n = 15 | Oncocytoma n = 4 | IC vs. HC p Value | IC vs. RCC C p Value | IC vs. RCC NT p Value | IC vs. O p Value | O vs. HC p Value | O vs. RCC C p Value | O vs. RCC NT p Value | |
| Single CTCs | 0 | 0 | 0 | 0.33 (0, 0, 5) | 0 | 1 | 1 | 1 | 1 | 1 | 1 | 1 |
| Epithelial CTCs | 0 | 0 | 0 | 0.33 (0, 0, 5) | 0 | 1 | 1 | 1 | 1 | 1 | 1 | 1 |
| EMT CTCs | 0 | 0 | 0 | 0 | 0 | NA | NA | NA | NA | NA | NA | NA |
| CMCs | 0 | 22.5 (1, 18.5, 52) | 3.0 (0, 1.0, 12) | 8.47 (0, 4.0, 33) | 24.75 (8, 17.0, 57) | 0.017 * | 0.874 | 0.233 | 1 | 0.002 * | 0.205 | 0.037 * |
| Single CMCs | 0 | 11.75 (1, 12.0, 22) | 2.58 (0, 1.0, 11) | 7.2 (0, 4.0, 31) | 14.25 (8, 15.0, 19) | 0.018 * | 1 | 0.227 | 1 | 0.003 * | 0.371 | 0.052 |
| CMCs in clusters | 0 | 10.75 (0, 6.5, 30) | 0.42 (0, 0, 3) | 1.27 (0, 0, 10) | 10.5 (0, 2.0, 38) | 0.174 | 0.431 | 0.314 | 1 | 0.213 | 0.567 | 0.387 |
| Clusters | 0 | 2 (0, 1.0, 6) | 0.17 (0, 0, 1) | 0.4 (0, 0, 3) | 2 (0, 1.0, 6) | 0.202 | 0.520 | 0.360 | 1 | 0.202 | 0.520 | 0.360 |
| Total CCs | 0 | 22.5 (1, 18.5, 52) | 3.0 (0, 1.0, 12) | 8.8 (0, 5.0, 33) | 24.75 (8, 17.0, 57) | 0.017 * | 1 | 0.234 | 1 | 0.002 * | 0.269 | 0.030 * |
| Single CCs | 0 | 11.75 (1, 12.0, 22) | 2.58 (0, 1.0, 11) | 7.53 (0, 5.0, 31) | 14.25 (8, 15.0, 19) | 0.019 * | 1 | 0.225 | 1 | 0.003 * | 0.476 | 0.042 * |
| RCC NT Group (n = 12) | RCC C Group (n = 15) | |||||||
|---|---|---|---|---|---|---|---|---|
| S0 | S1 | D1 | D30 | S0 | S1 | D1 | D30 | |
| Single CTCs | 0 | 0 | 1.36 (0, 0, 13) | 0.09 (0, 0, 1) | 0.33 (0, 0, 5) | 0.07 (0, 0, 1) | 0.07 (0, 0, 1) | 0.36 (0, 0, 4) |
| Epithelial CTCs | 0 | 0 | 0.36 (0, 0, 2) | 0.09 (0, 0, 1) | 0.33 (0, 0, 5) | 0.07 (0, 0, 1) | 0.07 (0, 0, 1) | 0.36 (0, 0, 4) |
| EMT CTCs | 0 | 0 | 1.00 (0, 0, 11) | 0 | 0 | 0 | 0 | 0 |
| CMCs | 3.00 (0, 1.00, 5) | 2.00 (0, 0, 11) | 1.91 (0, 0, 12) | 0.91 (0, 0, 7) | 8.47 (0, 4.00, 33) | 7.00 (0, 4.00, 31) | 1.43 (0, 1.00, 6) | 1.57 (0, 0.50, 11) |
| Single CMCs | 2.58 (0, 1.00, 11) | 2.00 (0, 0, 11) | 1.91 (0, 0, 12) | 0.45 (0, 0, 2) | 7.20 (0, 4.00, 31) | 6.27 (0, 4.00, 22) | 1.43 (0, 1.00, 6) | 1.21 (0, 0.50, 6) |
| CMCs in clusters | 0.42 (0, 0, 3) | 0 | 0 | 0.45 (0, 0, 5) | 1.27 (0, 0, 10) | 0.73 (0, 0, 11) | 0 | 0.36 (0, 0, 5) |
| Clusters | 0.17 (0, 0, 1) | 0 | 0 | 0.18 (0, 0, 2) | 0.40 (0, 0, 5) | 0.20 (0, 0, 3) | 0 | 0.07 (0, 0, 1) |
| Total CCs | 3.00 (0, 1.00, 12) | 2.00 (0, 0, 11) | 7.00 (0, 1.00, 25) | 1.00 (0, 0, 8) | 8.80 (0, 5.00, 33) | 7.07 (0, 4.00, 31) | 1.5 (0, 1.00, 6) | 1.93 (0, 1.00, 11) |
| Single CCs | 2.58 (0, 1.00, 11) | 2.00 (0, 0, 11) | 3.27 (0, 1.00, 25) | 0.55 (0, 0, 2) | 7.53 (0, 5.00, 31) | 6.33 (0, 4.00, 22) | 1.5 (0, 1.00, 6) | 1.57 (0, 1.00, 6) |
| Oncocytoma (n = 4) | Xanthogranulomatous pyelonephritis (n = 1) | |||||||
| S0 | S1 | D1 | D30 | S0 | S1 | D1 | D30 | |
| Single CTCs | 0 | 0 | 0 | 0 | 0 | 0 | 0 | 0 |
| Epithelial CTCs | 0 | 0 | 0 | 0 | 0 | 0 | 0 | 0 |
| EMT CTCs | 0 | 0 | 0 | 0 | 0 | 0 | 0 | 0 |
| CMCs | 24.75 (8, 17.00, 57) | 13.5 (1, 11.00, 31) | 0.75 (0, 0.50, 2) | 5.50 (0, 6.00, 12) | 4 | 0 | 1 | 1 |
| Single CMCs | 14.25 (8, 15.00, 19) | 6.25 (1, 6.00, 12) | 0.75 (0, 0.50, 2) | 4.75 (0, 5.00, 9) | 4 | 0 | 1 | 1 |
| CMCs in clusters | 10.50 (0, 2.00, 38) | 7.25 (0, 1.00, 27) | 0 | 0.75 (0, 0, 3) | 0 | 0 | 0 | 0 |
| Clusters | 2.00 (0, 1.00, 6) | 0.50 (0, 0.5, 1) | 0 | 0.25 (0, 0, 1) | 0 | 0 | 0 | 0 |
| Total CCs | 24.75 (8, 17.00, 57) | 13.50 (1, 11.00, 31) | 0.75 (0, 0.50, 2) | 5.50 (0, 6.00, 10) | 4 | 0 | 1 | 1 |
| Single CCs | 14.25 (8, 15.00, 19) | 6.25 (1, 6.00, 12) | 0.75 (0, 0.50, 2) | 4.75 (0, 5.00, 9) | 4 | 0 | 1 | 1 |
| S0 | S1 | D1 | D30 | Cell Count Difference S1–S0 | Relative Cell Count Difference S1–S0 (%) | Cell Count Difference D1–S0 | Relative Cell Count Difference D1–S0 (%) | |||||||||||||||||
|---|---|---|---|---|---|---|---|---|---|---|---|---|---|---|---|---|---|---|---|---|---|---|---|---|
| NT | C | p-Value * | NT | C | p-Value * | NT | C | p-Value * | NT | C | p-Value * | NT | C | p-Value ± | NT | C | p-Value ± | NT | C | p-Value ± | NT | C | p-Value ± | |
| Single CTCs | 0 | 0.33 | 0.371 | 0 | 0.07 | 0.371 | 1.36 | 0.07 | 0.169 | 0.09 | 0.36 | 0.662 | 0 | −0.26 | 0.412 | NA | −80 | NA | 1.36 | −0.26 | 0.126 | NA | −78.6 | NA |
| Epithelial CTCs | 0 | 0.33 | 0.371 | 0 | 0.07 | 0.371 | 0.36 | 0.07 | 0.169 | 0.09 | 0.36 | 0.662 | 0 | −0.26 | 0.412 | NA | −80 | NA | 0.36 | −0.26 | 0.126 | NA | −78.6 | NA |
| EMT CTCs | 0 | 0 | NA | 0 | 0 | NA | 1 | 0 | 0.259 | 0 | 0 | NA | 0 | 0 | NA | NA | NA | NA | 1 | 0 | 0.295 | NA | NA | NA |
| CMCs | 3.00 | 8.47 | 0.251 | 2.00 | 7.00 | 0.033 | 1.91 | 1.43 | 0.554 | 0.91 | 1.57 | 0.302 | −1.00 | −1.47 | 0.883 | −33.3 | −17.3 | 0.268 | −1.09 | −7.04 | 0.754 | −36.36 | −83.1 | 0.311 |
| Single CMCs | 2.58 | 7.20 | 0.203 | 2.00 | 6.27 | 0.033 | 1.91 | 1.43 | 0.554 | 0.45 | 1.21 | 0.235 | −0.58 | −0.93 | 0.677 | −22.6 | −13.0 | 0.268 | −0.67 | −5.77 | 0.213 | −100.0 | −100.0 | 0.311 |
| CMCs in clusters | 0.42 | 1.27 | 0.746 | 0.00 | 0.73 | 0.371 | 0.00 | 0.00 | NA | 0.45 | 0.357 | 0.861 | −0.42 | −0.54 | 1 | −100.0 | −42.1 | NA | −0.42 | −1.27 | 0.784 | −100.0 | −100.0 | NA |
| Clusters | 0.17 | 0.40 | 0.719 | 0.00 | 0.20 | 0.371 | 0.00 | 0.00 | NA | 0.18 | 0.07 | 0.846 | −0.17 | −0.20 | 1 | −100.0 | −50.0 | NA | −0.17 | −0.40 | 0.213 | −100.0 | −100.0 | NA |
| Total CCs | 3.00 | 8.80 | 0.142 | 2.00 | 7.07 | 0.021 | 7.00 | 1.50 | 0.775 | 1.00 | 1.93 | 0.373 | −1.00 | −1.73 | 0.961 | −33.3 | −19.7 | 0.283 | 4.00 | −7.30 | 0.077 | 9.1 | −83.0 | 0.644 |
| Single CCs | 2.58 | 7.53 | 0.106 | 2.00 | 6.33 | 0.021 | 3.27 | 1.50 | 0.775 | 0.55 | 1.57 | 0.270 | −0.58 | −1.20 | 0.826 | −22.6 | −15.9 | 0.283 | 0.69 | −6.03 | 0.077 | 26.7 | −80.1 | 0.607 |
Disclaimer/Publisher’s Note: The statements, opinions and data contained in all publications are solely those of the individual author(s) and contributor(s) and not of MDPI and/or the editor(s). MDPI and/or the editor(s) disclaim responsibility for any injury to people or property resulting from any ideas, methods, instructions or products referred to in the content. |
© 2024 by the authors. Licensee MDPI, Basel, Switzerland. This article is an open access article distributed under the terms and conditions of the Creative Commons Attribution (CC BY) license (https://creativecommons.org/licenses/by/4.0/).
Share and Cite
Leitão, T.P.; Corredeira, P.; Rodrigues, C.; Piairo, P.; Miranda, M.; Cavaco, A.; Kucharczak, S.; Antunes, M.; Peixoto, S.; dos Reis, J.P.; et al. A Randomized Controlled Trial Assessing the Release of Circulating Tumor and Mesenchymal Cells in No-Touch Radical Nephrectomy. Cancers 2024, 16, 3601. https://doi.org/10.3390/cancers16213601
Leitão TP, Corredeira P, Rodrigues C, Piairo P, Miranda M, Cavaco A, Kucharczak S, Antunes M, Peixoto S, dos Reis JP, et al. A Randomized Controlled Trial Assessing the Release of Circulating Tumor and Mesenchymal Cells in No-Touch Radical Nephrectomy. Cancers. 2024; 16(21):3601. https://doi.org/10.3390/cancers16213601
Chicago/Turabian StyleLeitão, Tito Palmela, Patrícia Corredeira, Carolina Rodrigues, Paulina Piairo, Miguel Miranda, Ana Cavaco, Sandra Kucharczak, Marília Antunes, Sara Peixoto, José Palma dos Reis, and et al. 2024. "A Randomized Controlled Trial Assessing the Release of Circulating Tumor and Mesenchymal Cells in No-Touch Radical Nephrectomy" Cancers 16, no. 21: 3601. https://doi.org/10.3390/cancers16213601
APA StyleLeitão, T. P., Corredeira, P., Rodrigues, C., Piairo, P., Miranda, M., Cavaco, A., Kucharczak, S., Antunes, M., Peixoto, S., dos Reis, J. P., Lopes, T., Diéguez, L., & Costa, L. (2024). A Randomized Controlled Trial Assessing the Release of Circulating Tumor and Mesenchymal Cells in No-Touch Radical Nephrectomy. Cancers, 16(21), 3601. https://doi.org/10.3390/cancers16213601

