Imaging Biomarkers of Oral Dysplasia and Carcinoma Measured with In Vivo Endoscopic Optical Coherence Tomography
Abstract
Simple Summary
Abstract
1. Introduction
2. Materials and Methods
2.1. Study Design
- Can the biomarkers discriminate between lesion and contralateral?
- Can the biomarkers discriminate between lesions clinically indicated for observation (benign lesions, mild, or moderate dysplasia) and intervention (severe dysplasia or carcinoma)?
- Are there demographic or other pathological associations with biomarkers?
- Can the biomarkers distinguish future progressors within the mild and moderate dysplasia groups?
- Can the biomarkers be measured repeatably and/or capture longitudinal changes?
2.2. OCT System
2.3. Image Collection
2.4. Deep Learning Segmentation
2.5. Image Processing
2.6. Biomarker Measurement
2.7. Quantitative and Statistical Analysis
3. Results
3.1. Datasets and Demographics
- Oral candidiasis with focal ulceration and intense chronic mucositis;
- Lichen mucositis, hyperorthokeratosis;
- Lichenoid mucositis with marked hyperorthokeratosis;
- Mild acanthosis, basilar proliferation, no dysplasia but history of SCC at this site;
- Acanthosis.
3.2. Sample Imaging
- Benign lesion:

- Mild dysplasia:

- Moderate dysplasia:

- Severe dysplasia:

- Carcinoma:

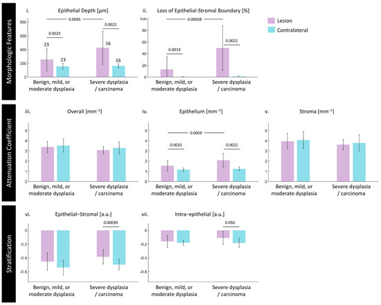
3.3. Quantitative Assessment of Disease Status and Contralaterals

3.4. Demographic and Other Pathologic Associations
3.5. Future Progression
3.6. Reproducibility and Repeatability
4. Discussion
4.1. Dataset Limitations
4.2. Morphologic Measurements
4.3. Attenuation Coefficient Measurements
4.4. Stratification Measurements
4.5. Future Progression
4.6. Future Directions
5. Conclusions
Supplementary Materials
Author Contributions
Funding
Institutional Review Board Statement
Informed Consent Statement
Data Availability Statement
Acknowledgments
Conflicts of Interest
References
- Sung, H.; Ferlay, J.; Siegel, R.L.; Laversanne, M.; Soerjomataram, I.; Jemal, A.; Bray, F. Global Cancer Statistics 2020: GLOBOCAN Estimates of Incidence and Mortality Worldwide for 36 Cancers in 185 Countries. CA A Cancer J. Clin. 2021, 71, 209–249. [Google Scholar] [CrossRef] [PubMed]
- Neville, B.W.; Day, T.A. Oral Cancer and Precancerous Lesions. CA A Cancer J. Clin. 2002, 52, 195–215. [Google Scholar] [CrossRef] [PubMed]
- Almangush, A.; Mäkitie, A.A.; Triantafyllou, A.; De Bree, R.; Strojan, P.; Rinaldo, A.; Hernandez-Prera, J.C.; Suárez, C.; Kowalski, L.P.; Ferlito, A.; et al. Staging and Grading of Oral Squamous Cell Carcinoma: An Update. Oral Oncol. 2020, 107, 104799. [Google Scholar] [CrossRef] [PubMed]
- Ranganathan, K.; Kavitha, L. Oral Epithelial Dysplasia: Classifications and Clinical Relevance in Risk Assessment of Oral Potentially Malignant Disorders. J. Oral Maxillofac. Pathol. 2019, 23, 19. [Google Scholar] [CrossRef]
- Poh, C.F.; Ng, S.; Berean, K.W.; Williams, P.M.; Rosin, M.P.; Zhang, L. Biopsy and Histopathologic Diagnosis of Oral Premalignant and Malignant Lesions. J. Can. Dent. Assoc. 2008, 74, 283–288. [Google Scholar] [PubMed]
- Yang, G.; Wei, L.; Thong, B.K.S.; Fu, Y.; Cheong, I.H.; Kozlakidis, Z.; Li, X.; Wang, H.; Li, X. A Systematic Review of Oral Biopsies, Sample Types, and Detection Techniques Applied in Relation to Oral Cancer Detection. BioTech 2022, 11, 5. [Google Scholar] [CrossRef]
- Warnakulasuriya, S.; Kujan, O.; Aguirre-Urizar, J.M.; Bagan, J.V.; González-Moles, M.Á.; Kerr, A.R.; Lodi, G.; Mello, F.W.; Monteiro, L.; Ogden, G.R.; et al. Oral Potentially Malignant Disorders: A Consensus Report from an International Seminar on Nomenclature and Classification, Convened by the WHO Collaborating Centre for Oral Cancer. Oral Dis. 2021, 27, 1862–1880. [Google Scholar] [CrossRef]
- Mohamad, I.; Glaun, M.D.E.; Prabhash, K.; Busheri, A.; Lai, S.Y.; Noronha, V.; Hosni, A. Current Treatment Strategies and Risk Stratification for Oral Carcinoma. Am. Soc. Clin. Oncol. Educ. Book 2023, 43, e389810. [Google Scholar] [CrossRef]
- Fujimoto, J.G.; Drexler, W. Introduction to OCT; The University of Western Australia: Crawley, Australia, 2015; ISBN 978-3-319-06419-2. [Google Scholar]
- Drexler, W.; Chen, Y.; Aguirre, A.D.; Považay, B.; Unterhuber, A.; Fujimoto, J.G. Ultrahigh Resolution Optical Coherence Tomography. In Optical Coherence Tomography; Drexler, W., Fujimoto, J.G., Eds.; Springer International Publishing: Cham, Switzerland, 2015; pp. 277–318. ISBN 978-3-319-06418-5. [Google Scholar]
- Gora, M.J.; Suter, M.J.; Tearney, G.J.; Li, X. Endoscopic Optical Coherence Tomography: Technologies and Clinical Applications. Biomed. Opt. Express 2017, 8, 2405. [Google Scholar] [CrossRef]
- Zhou, C.; Fujimoto, J.G.; Tsai, T.-H.; Mashimo, H. Endoscopic OCT. In Optical Coherence Tomography: Technology and Applications, 2nd ed.; Springer Science & Business Media: Berlin/Heidelberg, Germany, 2015; pp. 2077–2108. ISBN 978-3-319-06419-2. [Google Scholar]
- van Manen, L.; Dijkstra, J.; Boccara, C.; Benoit, E.; Vahrmeijer, A.L.; Gora, M.J.; Mieog, J.S.D. The Clinical Usefulness of Optical Coherence Tomography during Cancer Interventions. J. Cancer Res. Clin. Oncol. 2018, 144, 1967–1990. [Google Scholar] [CrossRef]
- Pahlevaninezhad, H.; Lee, A.M.D.; Rosin, M.; Sun, I.; Zhang, L.; Hakimi, M.; MacAulay, C.; Lane, P.M. Optical Coherence Tomography and Autofluorescence Imaging of Human Tonsil. PLoS ONE 2014, 9, e115889. [Google Scholar] [CrossRef] [PubMed][Green Version]
- Vermeer, K.A.; Mo, J.; Weda, J.J.A.; Lemij, H.G.; Boer, J.F. de Depth-Resolved Model-Based Reconstruction of Attenuation Coefficients in Optical Coherence Tomography. Biomed. Opt. Express 2013, 5, 322–337. [Google Scholar] [CrossRef] [PubMed]
- Kim, D.H.; Kim, S.W.; Hwang, S.H. Efficacy of Optical Coherence Tomography in the Diagnosing of Oral Cancerous Lesion: Systematic Review and Meta-analysis. Head Neck 2023, 45, 473–481. [Google Scholar] [CrossRef] [PubMed]
- Yang, C.C.; Tsai, M.-T.; Lee, H.-C.; Lee, C.-K.; Yu, C.-H.; Chen, H.-M.; Chiang, C.-P.; Chang, C.-C.; Wang, Y.-M.; Yang, C.C. Effective Indicators for Diagnosis of Oral Cancer Using Optical Coherence Tomography. Opt. Express 2008, 16, 15847. [Google Scholar] [CrossRef] [PubMed]
- Lee, C.-K.; Chi, T.-T.; Wu, C.-T.; Tsai, M.-T.; Chiang, C.-P.; Yang, C.-C.C.C. Diagnosis of Oral Precancer with Optical Coherence Tomography. Biomed. Opt. Express 2012, 3, 1632. [Google Scholar] [CrossRef] [PubMed]
- Hamdoon, Z.; Jerjes, W.; Upile, T.; McKenzie, G.; Jay, A.; Hopper, C. Optical Coherence Tomography in the Assessment of Suspicious Oral Lesions: An Immediate Ex Vivo Study. Photodiagnosis Photodyn. Ther. 2013, 10, 17–27. [Google Scholar] [CrossRef] [PubMed]
- Jerjes, W.; Hamdoon, Z.; Yousif, A.A.; Al-Rawi, N.H.; Hopper, C. Epithelial Tissue Thickness Improves Optical Coherence Tomography’s Ability in Detecting Oral Cancer. Photodiagnosis Photodyn. Ther. 2019, 28, 69–74. [Google Scholar] [CrossRef] [PubMed]
- Obade, A.Y.; Pandarathodiyil, A.K.; Oo, A.L.; Warnakulasuriya, S.; Ramanathan, A. Application of Optical Coherence Tomography to Study the Structural Features of Oral Mucosa in Biopsy Tissues of Oral Dysplasia and Carcinomas. Clin. Oral Investig. 2021, 25, 5411–5419. [Google Scholar] [CrossRef] [PubMed]
- Yang, Z.; Shang, J.; Liu, C.; Zhang, J.; Liang, Y. Identification of Oral Precancerous and Cancerous Tissue by Swept Source Optical Coherence Tomography. Lasers Surg. Med. 2022, 54, 320–328. [Google Scholar] [CrossRef]
- Yuan, W.; Cheng, L.; Yang, J.; Yin, B.; Fan, X.; Yang, J.; Li, S.; Zhong, J.; Huang, X. Noninvasive Oral Cancer Screening Based on Local Residual Adaptation Network Using Optical Coherence Tomography. Med. Biol. Eng. Comput. 2022, 60, 1363–1375. [Google Scholar] [CrossRef]
- James, B.L.; Sunny, S.P.; Heidari, A.E.; Ramanjinappa, R.D.; Lam, T.; Tran, A.V.; Kankanala, S.; Sil, S.; Tiwari, V.; Patrick, S.; et al. Validation of a Point-of-Care Optical Coherence Tomography Device with Machine Learning Algorithm for Detection of Oral Potentially Malignant and Malignant Lesions. Cancers 2021, 13, 3583. [Google Scholar] [CrossRef] [PubMed]
- Heidari, A.E.; Suresh, A.; Kuriakose, M.A.; Chen, Z.; Wilder-Smith, P.; Sunny, S.P.; James, B.L.; Lam, T.M.; Tran, A.V.; Yu, J.; et al. Optical Coherence Tomography as an Oral Cancer Screening Adjunct in a Low Resource Settings. IEEE J. Sel. Top. Quantum Electron. 2019, 25, 1–8. [Google Scholar] [CrossRef]
- Wilder-Smith, P.; Jung, W.; Brenner, M.; Osann, K.; Beydoun, H.; Messadi, D.; Chen, Z. In Vivo Optical Coherence Tomography for the Diagnosis of Oral Malignancy. Lasers Surg. Med. 2004, 35, 269–275. [Google Scholar] [CrossRef]
- Sunny, S.P.; Agarwal, S.; James, B.L.; Heidari, E.; Muralidharan, A.; Yadav, V.; Pillai, V.; Shetty, V.; Chen, Z.; Hedne, N.; et al. Intra-Operative Point-of-Procedure Delineation of Oral Cancer Margins Using Optical Coherence Tomography. Oral Oncol. 2019, 92, 12–19. [Google Scholar] [CrossRef] [PubMed]
- Panzarella, V.; Buttacavoli, F.; Gambino, A.; Capocasale, G.; Di Fede, O.; Mauceri, R.; Rodolico, V.; Campisi, G. Site-Coded Oral Squamous Cell Carcinoma Evaluation by Optical Coherence Tomography (OCT): A Descriptive Pilot Study. Cancers 2022, 14, 5916. [Google Scholar] [CrossRef] [PubMed]
- Di Stasio, D.; Lauritano, D.; Iquebal, H.; Romano, A.; Gentile, E.; Lucchese, A. Measurement of Oral Epithelial Thickness by Optical Coherence Tomography. Diagnostics 2019, 9, 90. [Google Scholar] [CrossRef]
- Lee, A.M.D.; Cahill, L.; Liu, K.; MacAulay, C.; Poh, C.; Lane, P. Wide-Field in Vivo Oral OCT Imaging. Biomed. Opt. Express 2015, 6, 2664. [Google Scholar] [CrossRef] [PubMed]
- Gambino, A.; Martina, E.; Panzarella, V.; Ruggiero, T.; Haddad, G.E.; Broccoletti, R.; Arduino, P.G. Potential Use of Optical Coherence Tomography in Oral Potentially Malignant Disorders: In-Vivo Case Series Study. BMC Oral Health 2023, 23, 540. [Google Scholar] [CrossRef]
- Trebing, C.T.; Sen, S.; Rues, S.; Herpel, C.; Schöllhorn, M.; Lux, C.J.; Rammelsberg, P.; Schwindling, F.S. Non-Invasive Three-Dimensional Thickness Analysis of Oral Epithelium Based on Optical Coherence Tomography—Development and Diagnostic Performance. Heliyon 2021, 7, e06645. [Google Scholar] [CrossRef]
- Yang, Z.; Shang, J.; Liu, C.; Zhang, J.; Liang, Y. Identification of Oral Cancer in OCT Images Based on an Optical Attenuation Model. Lasers Med. Sci. 2020, 35, 1999–2007. [Google Scholar] [CrossRef]
- Hill, C.; Malone, J.; Liu, K.; Ng, S.P.-Y.; MacAulay, C.; Poh, C.; Lane, P. 3-Dimension Epithelial Segmentation in Optical Coherence Tomography of the Oral Cavity Using Deep Learning. Cancers 2024, 16, 2144. [Google Scholar] [CrossRef] [PubMed]
- Chen, S.-W.; Zhang, Q.; Guo, Z.-M.; Chen, W.-K.; Liu, W.-W.; Chen, Y.-F.; Li, Q.-L.; Liu, X.-K.; Li, H.; Ou-Yang, D.; et al. Trends in Clinical Features and Survival of Oral Cavity Cancer: Fifty Years of Experience with 3362 Consecutive Cases from a Single Institution. Cancer Manag. Res. 2018, 10, 4523–4535. [Google Scholar] [CrossRef] [PubMed]
- Lin, N.-C.; Hsien, S.-I.; Hsu, J.-T.; Chen, M.Y.C. Impact on Patients with Oral Squamous Cell Carcinoma in Different Anatomical Subsites: A Single-Center Study in Taiwan. Sci. Rep. 2021, 11, 15446. [Google Scholar] [CrossRef] [PubMed]
- Pahlevaninezhad, H.; Lee, A.; Cahill, L.; Lam, S.; MacAulay, C.; Lane, P. Fiber-Based Polarization Diversity Detection for Polarization-Sensitive Optical Coherence Tomography. Opt. Lett. 2014, 1, 283–295. [Google Scholar] [CrossRef]
- Liu, J.; Ding, N.; Yu, Y.; Yuan, X.; Luo, S.; Luan, J.; Zhao, Y.; Wang, Y.; Ma, Z. Optimized Depth-Resolved Estimation to Measure Optical Attenuation Coefficients from Optical Coherence Tomography and Its Application in Cerebral Damage Determination. J. Biomed. Opt. 2019, 24, 1. [Google Scholar] [CrossRef] [PubMed]
- Shapiro, S.S.; Wilk, M.B. An Analysis of Variance Test for Normality (Complete Samples). Biometrika 1965, 52, 591. [Google Scholar] [CrossRef]
- Zimmerman, D.W. A Note on Preliminary Tests of Equality of Variances. Br. J. Math. Stat. 2004, 57, 173–181. [Google Scholar] [CrossRef]
- Welch, B.L. The Generalization of ‘Student’s’ Problem When Several Different Population Varlances Are Involved. Biometrika 1947, 34, 28–35. [Google Scholar] [CrossRef] [PubMed]
- Wilcoxon, F. Individual Comparisons by Ranking Methods. Biom. Bull. 1945, 1, 80–83. [Google Scholar] [CrossRef]
- Student. The Probable Error of a Mean. Biometrika 1908, 6, 1. [Google Scholar] [CrossRef]
- Mann, H.B.; Whitney, D.R. On a Test of Whether One of Two Random Variables Is Stochastically Larger than the Other. Ann. Math. Stat. 1947, 18, 50–60. [Google Scholar] [CrossRef]
- Levene, H. Robust Tests for Equality of Variances. In Contributions to Probability and Statistics: Essays in Honor of Harold Hotelling; Stanford University Press: Palo Alto, CA, USA, 1960; pp. 278–292. [Google Scholar]
- Grubbs, F.E. Procedures for Detecting Outlying Observations in Samples. Technometrics 1969, 11, 1–21. [Google Scholar] [CrossRef]
- Spearman, C. The Proof and Measurement of Association between Two Things. Am. J. Psychol. 1904, 15, 72. [Google Scholar] [CrossRef]
- Yang, Y.; Wang, T.; Biswal, N.C.; Wang, X.; Sanders, M.; Brewer, M.; Zhu, Q. Optical Scattering Coefficient Estimated by Optical Coherence Tomography Correlates with Collagen Content in Ovarian Tissue. J. Biomed. Opt. 2011, 16, 090504. [Google Scholar] [CrossRef] [PubMed]




| Category | Biomarker | Description | Dimensionality |
|---|---|---|---|
| ‘Morphologic’ | Epithelium depth [μm] | Height of segmented epithelium region | 2D en face image Range: 0 to ~2 mm |
| Loss of epithelial–stromal boundary [%] | Percentage of loss over volume, excluding artifacts | Single value per volume Range: 0 to 100% | |
| ‘Attenuation’ | Overall attenuation coefficient [mm−1] | Mean en face projection of attenuation coefficient over the entire depth of visualized tissue | 3D data Range: 0 to ~10 mm−1 |
| Epithelium attenuation coefficient [mm−1] | Mean en face projection of attenuation coefficient over the segmented epithelium region | 3D data Range: 0 to ~10 mm−1 | |
| Stroma attenuation coefficient [mm−1] | Mean en face projection of attenuation coefficient over the visualized stroma region | 3D data Range: 0 to ~10 mm−1 | |
| ‘Stratification’ | Epithelial–stromal stratification [a.u.] | 2D en face image Range: −1 to 1 a.u. | |
| Intraepithelial stratification [a.u.] | 2D en face image Range: −1 to 1 a.u. |
| Diagnosis | Lesion | Contralateral | Total | Males | Females |
|---|---|---|---|---|---|
| Only contralateral imaged | 0 | 1 | 1 | 1 | 0 |
| Benign | 5 | 3 | 8 | 3 | 2 |
| Mild dysplasia | 8 | 7 | 15 | 3 | 5 |
| Moderate dysplasia | 10 | 8 | 18 | 4 | 6 |
| Severe dysplasia | 7 | 7 | 14 | 3 | 4 |
| Carcinoma (squamous cell, verrucous) | 9 | 5 | 14 | 6 | 3 |
| Total | 39 sites | 31 sites | 40 patients (70 sites) | 20 patients (50%) | 20 patients (50%) |
| Diagnosis | Lesion | Contralateral | Total | Males | Females |
|---|---|---|---|---|---|
| Progressors | 4 | 4 | 8 | 1 | 3 |
| Non-progressors | 11 | 11 | 22 | 5 | 6 |
| Total | 15 sites | 15 sites | 15 patients (33 sites) | 6 patients (40%) | 9 patients (60%) |
| Patient Number | Previous Biopsy (Time Difference) [Months] | Time Point 1 | Time Difference [Months] | Time Point 2 | ||||
|---|---|---|---|---|---|---|---|---|
| Diagnosis | Lesion | Contra- Lateral | Diagnosis | Lesion | Contralateral | |||
| 1 | Mild dysplasia (unknown) | Mild dysplasia | 1 | 1 | 5 | Mild dysplasia | 2 | 1 |
| 2 | Moderate dysplasia (10) | Moderate dysplasia | 2 | 1 | 2 | Benign (hyperplastic candidiasis) | 1 | 1 |
| 3 | N/A | Moderate dysplasia | 1 | 1 | 21 | Moderate dysplasia | 1 | 1 |
| 4 | Moderate dysplasia (16) | Severe dysplasia | 1 | 1 | 6 | Severe dysplasia | 1 | 1 |
| 5 | Moderate dysplasia (13) | Verrucous carcinoma | 1 | 1 | 6 | Verrucous carcinoma | 1 | 1 |
| Morphologic Features | Mean Attenuation Coefficient | Stratification | ||||||
|---|---|---|---|---|---|---|---|---|
| Patient Number | Epithelium Depth | Loss of Epithelial–Stromal Boundary Visualization | Overall | Epithelium | Stroma | Epithelial- Stromal | Intraepithelial | |
| [µm] | [%] | [mm−1] | [mm−1] | [mm−1] | [a.u.] | [a.u.] | ||
| Contralateral (between time points) | 1 | 240 | 2 | 3.05 | 1.22 | 3.71 | −0.51 | −0.21 |
| 50 | 3 | 0.24 | 0.18 | 0.55 | 0.00 | 0.08 | ||
| 2 | 150 | 0 | 3.59 | 1.15 | 4.21 | −0.57 | −0.12 | |
| 20 | 0 | 0.21 | 0.00 | 0.25 | 0.01 | 0.07 | ||
| 3 | 160 | 0 | 3.76 | 1.12 | 4.47 | −0.59 | −0.15 | |
| 30 | 0 | 1.41 | 0.11 | 2.00 | 0.11 | 0.00 | ||
| 4 | 120 | 0 | 4.25 | 0.95 | 4.95 | −0.68 | −0.14 | |
| 10 | 0 | 0.90 | 0.20 | 1.33 | 0.02 | 0.06 | ||
| 5 | 220 | 0 | 3.60 | 1.36 | 4.52 | −0.54 | −0.23 | |
| 80 | 0 | 0.09 | 0.05 | 0.41 | 0.02 | 0.01 | ||
| Lesion (single time point) | 1 | 440 | 15 | 2.79 | 1.58 | 3.62 | −0.41 | −0.22 |
| 40 | 2 | 0.04 | 0.21 | 0.09 | 0.05 | 0.04 | ||
| 2 | 220 | 20 | 3.69 | 1.50 | 4.59 | −0.53 | −0.21 | |
| 50 | 29 | 0.15 | 0.39 | 0.00 | 0.08 | 0.01 | ||
Disclaimer/Publisher’s Note: The statements, opinions and data contained in all publications are solely those of the individual author(s) and contributor(s) and not of MDPI and/or the editor(s). MDPI and/or the editor(s) disclaim responsibility for any injury to people or property resulting from any ideas, methods, instructions or products referred to in the content. |
© 2024 by the authors. Licensee MDPI, Basel, Switzerland. This article is an open access article distributed under the terms and conditions of the Creative Commons Attribution (CC BY) license (https://creativecommons.org/licenses/by/4.0/).
Share and Cite
Malone, J.; Hill, C.; Tanskanen, A.; Liu, K.; Ng, S.; MacAulay, C.; Poh, C.F.; Lane, P.M. Imaging Biomarkers of Oral Dysplasia and Carcinoma Measured with In Vivo Endoscopic Optical Coherence Tomography. Cancers 2024, 16, 2751. https://doi.org/10.3390/cancers16152751
Malone J, Hill C, Tanskanen A, Liu K, Ng S, MacAulay C, Poh CF, Lane PM. Imaging Biomarkers of Oral Dysplasia and Carcinoma Measured with In Vivo Endoscopic Optical Coherence Tomography. Cancers. 2024; 16(15):2751. https://doi.org/10.3390/cancers16152751
Chicago/Turabian StyleMalone, Jeanie, Chloe Hill, Adrian Tanskanen, Kelly Liu, Samson Ng, Calum MacAulay, Catherine F. Poh, and Pierre M. Lane. 2024. "Imaging Biomarkers of Oral Dysplasia and Carcinoma Measured with In Vivo Endoscopic Optical Coherence Tomography" Cancers 16, no. 15: 2751. https://doi.org/10.3390/cancers16152751
APA StyleMalone, J., Hill, C., Tanskanen, A., Liu, K., Ng, S., MacAulay, C., Poh, C. F., & Lane, P. M. (2024). Imaging Biomarkers of Oral Dysplasia and Carcinoma Measured with In Vivo Endoscopic Optical Coherence Tomography. Cancers, 16(15), 2751. https://doi.org/10.3390/cancers16152751

