Preoperative Intensified Chemoradiation with Intensity-Modulated Radiotherapy and Simultaneous Integrated Boost Combined with Capecitabine in Locally Advanced Rectal Cancer: Long-Term Outcomes of a Real-Life Multicenter Study
Abstract
:Simple Summary
Abstract
1. Introduction
2. Material and Methods
2.1. Study Design and Objectives
2.2. Eligibility Criteria
2.3. Preoperative Chemoradiation
2.4. Surgery
2.5. Adjuvant Chemotherapy
2.6. Follow-Up and Monitoring of Late Toxicity
2.7. Statistical Analysis
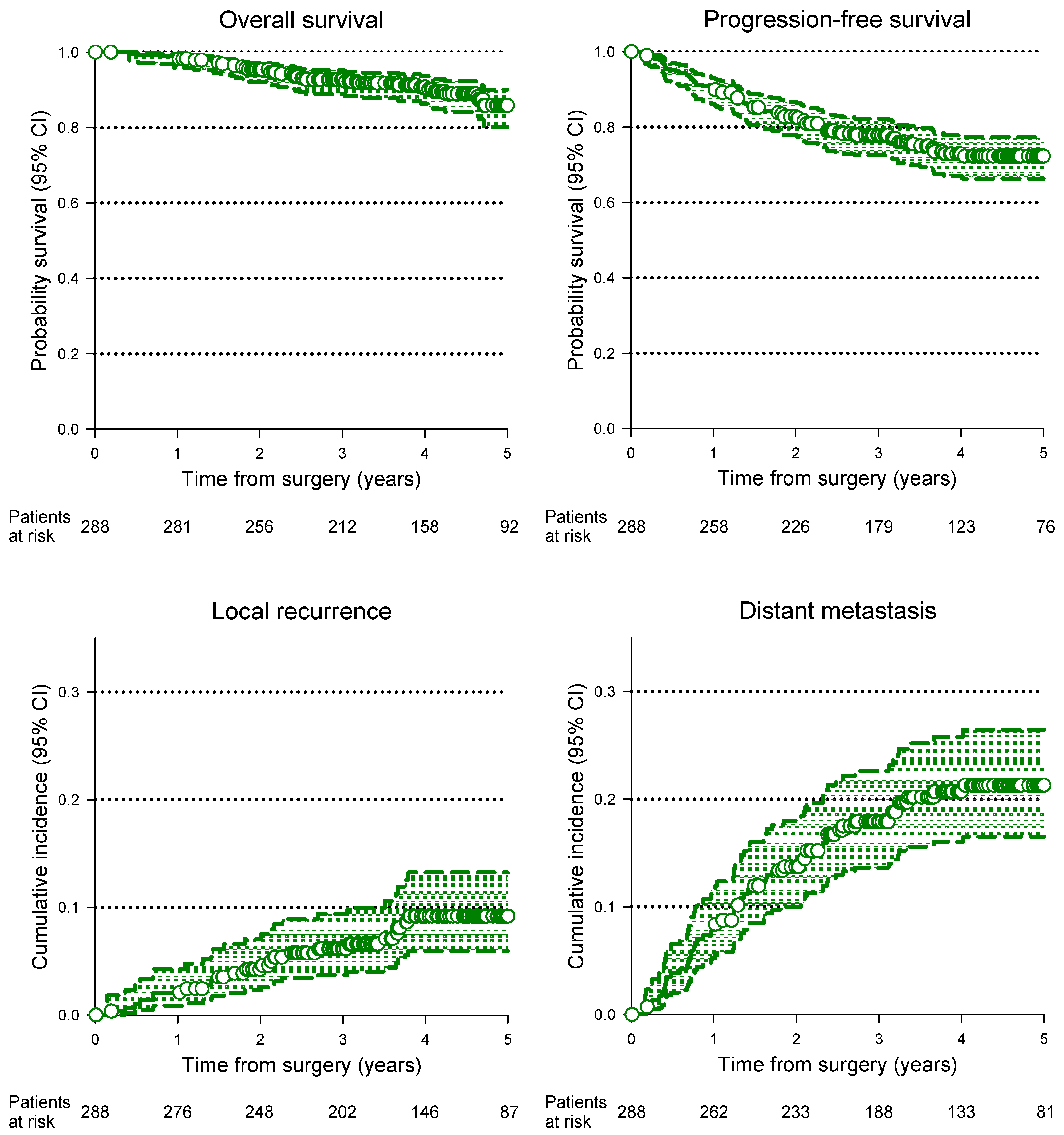
3. Results
4. Discussion
5. Conclusions
Author Contributions
Funding
Institutional Review Board Statement
Informed Consent Statement
Data Availability Statement
Conflicts of Interest
References
- Valentini, V.; Marijnen, C.; Beets, G.; De Bari, B.; Cervantes, A.; Chiloiro, G.; Coco, C.; Gambacorta, M.A.; Glynne-Jones, R.; Haustermans, K.; et al. The 2017Assisi Think Tank Meeting on rectal cancer: A positioning paper. Radiother. Oncol. 2020, 142, 6–16. [Google Scholar] [CrossRef]
- Maas, M.; Nelemans, P.J.; Valentini, V.; Das, P.; Rödel, C.; Kuo, L.-J.; Calvo, F.A.; García-Aguilar, J.; Glynne-Jones, R.; Haustermans, K.; et al. Long-Term Outcome in Patients with a Pathological Complete Response after Chemoradiation for Rectal Cancer: A Pooled Analysis of Individual Patient Data. Lancet Oncol. 2010, 11, 835–844. [Google Scholar] [CrossRef] [PubMed]
- Capirci, C.; Valentini, V.; Cionini, L.; De Paoli, A.; Rodel, C.; Glynne-Jones, R.; Coco, C.; Romano, M.; Mantello, G.; Palazzi, S.; et al. Prognostic Value of Pathologic Complete Response after Neoadjuvant Therapy in Locally Advanced Rectal Cancer: Long-Term Analysis of 566 ypCR Patients. Int. J. Radiat. Oncol. Biol. Phys. 2008, 72, 99–107. [Google Scholar] [CrossRef] [PubMed]
- Belluco, C.; De Paoli, A.; Canzonieri, V.; Sigon, R.; Fornasarig, M.; Buonadonna, A.; Boz, G.; Innocente, R.; Perin, T.; Cossaro, M.; et al. Long-Term Outcome of Patients with Complete Pathologic Response after Neoadjuvant Chemoradiation for cT3 Rectal Cancer: Implications for Local Excision Surgical Strategies. Ann. Surg. Oncol. 2011, 18, 3686–3693. [Google Scholar] [CrossRef]
- Pucciarelli, S.; De Paoli, A.; Guerrieri, M.; La Torre, G.; Maretto, I.; De Marchi, F.; Mantello, G.; Gambacorta, M.A.; Canzonieri, V.; Nitti, D.; et al. Local Excision after Preoperative Chemoradiotherapy for Rectal Cancer: Results of a Multicenter Phase II Clinical Trial. Dis. Colon. Rectum 2013, 56, 1349–1356. [Google Scholar] [CrossRef] [PubMed]
- Rullier, E.; Rouanet, P.; Tuech, J.-J.; Valverde, A.; Lelong, B.; Rivoire, M.; Faucheron, J.-L.; Jafari, M.; Portier, G.; Meunier, B.; et al. Organ Preservation for Rectal Cancer (GRECCAR 2): A Prospective, Randomised, Open-Label, Multicentre, Phase 3 Trial. Lancet 2017, 390, 469–479. [Google Scholar] [CrossRef]
- Habr-Gama, A.; Perez, R.O.; Nadalin, W.; Sabbaga, J.; Ribeiro, U.; Silva e Sousa, A.H.; Campos, F.G.; Kiss, D.R.; Gama-Rodrigues, J. Operative versus Nonoperative Treatment for Stage 0 Distal Rectal Cancer Following Chemoradiation Therapy: Long-Term Results. Ann. Surg. 2004, 240, 711–717, discussion 717–718. [Google Scholar] [CrossRef]
- Smith, J.J.; Chow, O.S.; Gollub, M.J.; Nash, G.M.; Temple, L.K.; Weiser, M.R.; Guillem, J.G.; Paty, P.B.; Avila, K.; Garcia-Aguilar, J.; et al. Organ Preservation in Rectal Adenocarcinoma: A Phase II Randomized Controlled Trial Evaluating 3-Year Disease-Free Survival in Patients with Locally Advanced Rectal Cancer Treated with Chemoradiation plus Induction or Consolidation Chemotherapy, and Total Mesorectal Excision or Nonoperative Management. BMC Cancer 2015, 15, 767. [Google Scholar] [CrossRef]
- Aschele, C.; Friso, M.L.; Pucciarelli, S.; Lonardi, S.; Sartor, L.; Fabris, G.; Urso, E.D.L.; Del Bianco, P.; Sotti, G.; Lise, M.; et al. A Phase I-II Study of Weekly Oxaliplatin, 5-Fluorouracil Continuous Infusion and Preoperative Radiotherapy in Locally Advanced Rectal Cancer. Ann. Oncol. 2005, 16, 1140–1146. [Google Scholar] [CrossRef]
- Rödel, C.; Grabenbauer, G.G.; Papadopoulos, T.; Hohenberger, W.; Schmoll, H.-J.; Sauer, R. Phase I/II Trial of Capecitabine, Oxaliplatin, and Radiation for Rectal Cancer. J. Clin. Oncol. 2003, 21, 3098–3104. [Google Scholar] [CrossRef]
- Glynne-Jones, R.; Sebag-Montefiore, D.; Maughan, T.S.; Falk, S.J.; McDonald, A.C. A Phase I Dose Escalation Study of Continuous Oral Capecitabine in Combination with Oxaliplatin and Pelvic Radiation (XELOX-RT) in Patients with Locally Advanced Rectal Cancer. Ann. Oncol. 2006, 17, 50–56. [Google Scholar] [CrossRef] [PubMed]
- Gérard, J.-P.; Azria, D.; Gourgou-Bourgade, S.; Martel-Lafay, I.; Hennequin, C.; Etienne, P.-L.; Vendrely, V.; François, E.; de La Roche, G.; Bouché, O.; et al. Clinical Outcome of the ACCORD 12/0405 PRODIGE 2 Randomized Trial in Rectal Cancer. J. Clin. Oncol. 2012, 30, 4558–4565. [Google Scholar] [CrossRef] [PubMed]
- Aschele, C.; Lonardi, S.; Cionini, L.; Pinto, C.; Cordio, S.S.; Rosati, G.; Sartore Bianchi, A.; Tagliagambe, A.; Frisinghelli, M.; Zagonel, V.; et al. Final Results of STAR-01: A Randomized Phase III Trial Comparing Preoperative Chemoradiation with or without Oxaliplatin in Locally Advanced Rectal Cancer. J. Clin. Oncol. 2016, 34 (Suppl. S15), 3521. [Google Scholar] [CrossRef]
- O’Connell, M.J.; Colangelo, L.H.; Beart, R.W.; Petrelli, N.J.; Allegra, C.J.; Sharif, S.; Pitot, H.C.; Shields, A.F.; Landry, J.C.; Ryan, D.P.; et al. Capecitabine and Oxaliplatin in the Preoperative Multimodality Treatment of Rectal Cancer: Surgical End Points from National Surgical Adjuvant Breast and Bowel Project Trial R-04. J. Clin. Oncol. 2014, 32, 1927–1934. [Google Scholar] [CrossRef] [PubMed]
- Rödel, C.; Graeven, U.; Fietkau, R.; Hohenberger, W.; Hothorn, T.; Arnold, D.; Hofheinz, R.-D.; Ghadimi, M.; Wolff, H.A.; Lang-Welzenbach, M.; et al. German Rectal Cancer Study Group. Oxaliplatin Added to Fluorouracil-Based Preoperative Chemoradiotherapy and Postoperative Chemotherapy of Locally Advanced Rectal Cancer (the German CAO/ARO/AIO-04 Study): Final Results of the Multicentre, Open-Label, Randomised, Phase 3 Trial. Lancet Oncol. 2015, 16, 979–989. [Google Scholar] [CrossRef]
- Schmoll, H.-J.; Stein, A.; Van Cutsem, E.; Price, T.; Hofheinz, R.D.; Nordlinger, B.; Daisne, J.-F.; Janssens, J.; Brenner, B.; Reinel, H.; et al. Pre- and Postoperative Capecitabine Without or With Oxaliplatin in Locally Advanced Rectal Cancer: PETACC 6 Trial by EORTC GITCG and ROG, AIO, AGITG, BGDO, and FFCD. J. Clin. Oncol. 2021, 39, 17–29. [Google Scholar] [CrossRef]
- Mandard, A.M.; Dalibard, F.; Mandard, J.C.; Marnay, J.; Henry-Amar, M.; Petiot, J.F.; Roussel, A.; Jacob, J.H.; Segol, P.; Samama, G. Pathologic Assessment of Tumor Regression after Preoperative Chemoradiotherapy of Esophageal Carcinoma. Clinicopathologic Correlations. Cancer 1994, 73, 2680–2686. [Google Scholar] [CrossRef]
- Valentini, V.; Gambacorta, M.A.; Cellini, F.; Aristei, C.; Coco, C.; Barbaro, B.; Alfieri, S.; D’Ugo, D.; Persiani, R.; Deodato, F.; et al. The INTERACT Trial: Long-Term Results of a Randomised Trial on Preoperative Capecitabine-Based Radiochemotherapy Intensified by Concomitant Boost or Oxaliplatin, for cT2 (Distal)-cT3 Rectal Cancer. Radiother. Oncol. 2019, 134, 110–118. [Google Scholar] [CrossRef]
- Appelt, A.L.; Pløen, J.; Vogelius, I.R.; Bentzen, S.M.; Jakobsen, A. Radiation Dose-Response Model for Locally Advanced Rectal Cancer after Preoperative Chemoradiation Therapy. Int. J. Radiat. Oncol. Biol. Phys. 2013, 85, 74–80. [Google Scholar] [CrossRef]
- Burbach JP, M.; den Harder, A.M.; Intven, M.; van Vulpen, M.; Verkooijen, H.M.; Reerink, O. Impact of Radiotherapy Boost on Pathological Complete Response in Patients with Locally Advanced Rectal Cancer: A Systematic Review and Meta-Analysis. Radiother. Oncol. 2014, 113, 1–9. [Google Scholar] [CrossRef]
- Hearn, N.; Atwell, D.; Cahill, K.; Elks, J.; Vignarajah, D.; Lagopoulos, J.; Min, M. Neoadjuvant Radiotherapy Dose Escalation in Locally Advanced Rectal Cancer: A Systematic Review and Meta-Analysis of Modern Treatment Approaches and Outcomes. Clin. Oncol. (R Coll. Radiol.) 2021, 33, e1–e14. [Google Scholar] [CrossRef] [PubMed]
- Lupattelli, M.; Matrone, F.; Gambacorta, M.A.; Osti, M.; Macchia, G.; Palazzari, E.; Nicosia, L.; Navarria, F.; Chiloiro, G.; Valentini, V.; et al. Preoperative Intensity-Modulated Radiotherapy with a Simultaneous Integrated Boost Combined with Capecitabine in Locally Advanced Rectal Cancer: Short-Term Results of a Multicentric Study. Radiat. Oncol. 2017, 12, 139. [Google Scholar] [CrossRef] [PubMed]
- Valentini, V.; Gambacorta, M.A.; Barbaro, B.; Chiloiro, G.; Coco, C.; Das, P.; Fanfani, F.; Joye, I.; Kachnic, L.; Maingon, P.; et al. International Consensus Guidelines on Clinical Target Volume Delineation in Rectal Cancer. Radiother. Oncol. 2016, 120, 195–201. [Google Scholar] [CrossRef] [PubMed]
- Caravatta, L.; Lupattelli, M.; Mantello, G.; Gambacorta, M.A.; Chiloiro, G.; DITommaso, M.; Rosa, C.; Gasparini, L.; Morganti, A.G.; Picardi, V.; et al. Gastrointestinal Study Group of AIRO (Italian Association of Radiation Oncology and Clinical Oncology). Treatment Volume, Dose Prescription and Delivery Techniques for Dose-Intensification in Rectal Cancer: A National Survey. Anticancer. Res. 2021, 41, 1985–1995. [Google Scholar] [CrossRef]
- Barina, A.; De Paoli, A.; Delrio, P.; Guerrieri, M.; Muratore, A.; Bianco, F.; Vespa, D.; Asteria, C.; Morpurgo, E.; Restivo, A.; et al. Rectal Sparing Approach after Preoperative Radio- and/or Chemotherapy (RESARCH) in Patients with Rectal Cancer: A Multicentre Observational Study. Tech. Coloproctol. 2017, 21, 633–640. [Google Scholar] [CrossRef]
- Maas, M.; Lambregts DM, J.; Nelemans, P.J.; Heijnen, L.A.; Martens, M.H.; Leijtens, J.W.A.; Sosef, M.; Hulsewé, K.W.E.; Hoff, C.; Breukink, S.O.; et al. Assessment of Clinical Complete Response After Chemoradiation for Rectal Cancer with Digital Rectal Examination, Endoscopy, and MRI: Selection for Organ-Saving Treatment. Ann. Surg. Oncol. 2015, 22, 3873–3880. [Google Scholar] [CrossRef]
- Marchegiani, F.; Palatucci, V.; Capelli, G.; Guerrieri, M.; Belluco, C.; Rega, D.; Morpurgo, E.; Coco, C.; Restivo, A.; De Franciscis, S.; et al. Rectal Sparing Approach After Neoadjuvant Therapy in Patients with Rectal Cancer: The Preliminary Results of the ReSARCh Trial. Ann. Surg. Oncol. 2022, 29, 1880–1889. [Google Scholar] [CrossRef]
- Dindo, D.; Demartines, N.; Clavien, P.-A. Classification of Surgical Complications: A New Proposal with Evaluation in a Cohort of 6336 Patients and Results of a Survey. Ann. Surg. 2004, 240, 205–213. [Google Scholar] [CrossRef]
- Kalbfleisch, J.D.; Prentice, R.L. The Statistical Analysis of Failure Time Data; John Wiley & Sons, Inc.: Hoboken, NJ, USA, 2002. [Google Scholar]
- Gray, R.J. A Class of K-Sample Tests for Comparing the Cumulative Incidence of a Competing Risk. Ann. Stat. 1988, 16, 1141–1154. [Google Scholar] [CrossRef]
- Fine, J.P.; Gray, R.J. A Proportional Hazards Model for the Subdistribution of a Competing Risk. J. Am. Stat. Assoc. 1999, 94, 496–509. [Google Scholar] [CrossRef]
- Glynne-Jones, R.; Wyrwicz, L.; Tiret, E.; Brown, G.; Rödel, C.; Cervantes, A.; Arnold, D.; ESMO Guidelines Committee. Rectal Cancer: ESMO Clinical Practice Guidelines for Diagnosis, Treatment and Follow-Up. Ann. Oncol. 2017, 28 (Suppl. S4), iv22–iv40. [Google Scholar] [CrossRef] [PubMed]
- Cilla, S.; Caravatta, L.; Picardi, V.; Sabatino, D.; Macchia, G.; Digesù, C.; Deodato, F.; Massaccesi, M.; De Spirito, M.; Piermattei, A.; et al. Volumetric Modulated Arc Therapy with Simultaneous Integrated Boost for Locally Advanced Rectal Cancer. Clin. Oncol. (R Coll. Radiol.) 2012, 24, 261–268. [Google Scholar] [CrossRef]
- van der Valk, M.J.M.; Hilling, D.E.; Bastiaannet, E.; Meershoek-Klein Kranenbarg, E.; Beets, G.L.; Figueiredo, N.L.; Habr-Gama, A.; Perez, R.O.; Renehan, A.G.; van de Velde, C.J.H.; et al. Long-Term Outcomes of Clinical Complete Responders after Neoadjuvant Treatment for Rectal Cancer in the International Watch & Wait Database (IWWD): An International Multicentre Registry Study. Lancet 2018, 391, 2537–2545. [Google Scholar] [CrossRef] [PubMed]
- Fokas, E.; Appelt, A.; Glynne-Jones, R.; Beets, G.; Perez, R.; Garcia-Aguilar, J.; Rullier, E.; Smith, J.J.; Marijnen, C.; Peters, F.P.; et al. International Consensus Recommendations on Key Outcome Measures for Organ Preservation after (Chemo)Radiotherapy in Patients with Rectal Cancer. Nat. Rev. Clin. Oncol. 2021, 18, 805–816. [Google Scholar] [CrossRef]
- Garcia-Aguilar, J.; Patil, S.; Gollub, M.J.; Kim, J.K.; Yuval, J.B.; Thompson, H.M.; Verheij, F.S.; Omer, D.M.; Lee, M.; Dunne, R.F.; et al. Organ Preservation in Patients with Rectal Adenocarcinoma Treated with Total Neoadjuvant Therapy. J. Clin. Oncol. 2022, 40, 2546–2556. [Google Scholar] [CrossRef] [PubMed]
- Sauer, R.; Liersch, T.; Merkel, S.; Fietkau, R.; Hohenberger, W.; Hess, C.; Becker, H.; Raab, H.-R.; Villanueva, M.-T.; Witzigmann, H.; et al. Preoperative versus Postoperative Chemoradiotherapy for Locally Advanced Rectal Cancer: Results of the German CAO/ARO/AIO-94 Randomized Phase III Trial after a Median Follow-up of 11 Years. J. Clin. Oncol. 2012, 30, 1926–1933. [Google Scholar] [CrossRef]
- Valentini, V.; van Stiphout, R.G.; Lammering, G.; Gambacorta, M.A.; Barba, M.C.; Bebenek, M.; Bonnetain, F.; Bosset, J.F.; Bujko, K.; Cionini, L.; et al. Nomograms for predicting local recurrence, distant metastases, and overall survival for patients with locally advanced rectal cancer on the basis of European randomized clinical trials. J. Clin. Oncol. 2011, 29, 3163–3172. [Google Scholar] [CrossRef]
- Bahadoer, R.R.; Dijkstra, E.A.; van Etten, B.; Marijnen, C.A.M.; Putter, H.; Kranenbarg, E.M.-K.; Roodvoets, A.G.H.; Nagtegaal, I.D.; Beets-Tan, R.G.H.; Blomqvist, L.K.; et al. RAPIDO collaborative investigators. Short-Course Radiotherapy Followed by Chemotherapy before Total Mesorectal Excision (TME) versus Preoperative Chemoradiotherapy, TME, and Optional Adjuvant Chemotherapy in Locally Advanced Rectal Cancer (RAPIDO): A Randomised, Open-Label, Phase 3 Trial. Lancet Oncol. 2021, 22, 29–42. [Google Scholar] [CrossRef]
- Conroy, T.; Bosset, J.-F.; Etienne, P.-L.; Rio, E.; François, É.; Mesgouez-Nebout, N.; Vendrely, V.; Artignan, X.; Bouché, O.; Gargot, D.; et al. Unicancer Gastrointestinal Group and Partenariat de Recherche en Oncologie Digestive (PRODIGE) Group. Neoadjuvant Chemotherapy with FOLFIRINOX and Preoperative Chemoradiotherapy for Patients with Locally Advanced Rectal Cancer (UNICANCER-PRODIGE 23): A Multicentre, Randomised, Open-Label, Phase 3 Trial. Lancet Oncol. 2021, 22, 702–715. [Google Scholar] [CrossRef]
- Jin, J.; Tang, Y.; Hu, C.; Jiang, L.-M.; Jiang, J.; Li, N.; Liu, W.-Y.; Chen, S.-L.; Li, S.; Lu, N.-N.; et al. Multicenter, randomized, phaseIII trial of short-term radiotherapy plus chemotherapy versus long-term chemoradiotherapy in locally advanced rectal cancer (STELLAR). J. Clin. Oncol. 2022, 40, 1681–1692. [Google Scholar] [CrossRef]
- Palazzari, E.; Buonadonna, A.; Lauretta, A.; Navarria, F.; Ongaro, E.; Foltran, L.; Innocente, R.; Belluco, C.; Ubiali, P.; Canzonieri, V.; et al. Intensified Total Neoadjuvant Therapy program in high risk rectal cancer: A feasibility pilot study. Radiother. Oncol. 2019, 152, S587–S588. [Google Scholar] [CrossRef]
- Chiloiro, G.; Meldolesi, E.; Crovari, B.; Romano, A.; Barbaro, B.; Coco, C.; Crucitti, A.; Genovesi, D.; Lupattelli, M.; Mantello, G.; et al. Bridge-1 Trial: BReak Interval delayed surgery for Gastrointestinal Extraperitoneal rectal cancer, a multicentric phase III randomized trial. Clin. Traslational Radiat. Oncol. 2022, 34, 30–36. [Google Scholar] [CrossRef] [PubMed]
- Engels, B.; Platteaux, N.; Van den Begin, R.; Gevaert, T.; Sermeus, A.; Storme, G.; Verellen, D.; De Ridder, M. Preoperative Intensity-Modulated and Image-Guided Radiotherapy with a Simultaneous Integrated Boost in Locally Advanced Rectal Cancer: Report on Late Toxicity and Outcome. Radiother. Oncol. 2014, 110, 155–159. [Google Scholar] [CrossRef] [PubMed]


| Characteristics | N. of Patients n = 288 | % |
|---|---|---|
| Age (years) | ||
| Median (Q1–Q3) | 64 (55–73) | |
| Gender | ||
| Male | 184 | 63.9 |
| Female | 104 | 36.1 |
| Performance Status ECOG | ||
| 0 | 257 | 89.6 |
| 1–2 | 31 | 10.2 |
| Tumor Location | ||
| Proximal Rectum | - | - |
| Middle Rectum | 133 | 46.2 |
| Distal Rectum | 153 | 53.8 |
| Distance from AV (mm) | ||
| Median (Q1–Q3) | 50 (30–75) | |
| Clinical tumor stage | ||
| T1 | - | - |
| T2 | 19 | 6.6 |
| T3 | 215 | 74.7 |
| T4 | 54 | 18.8 |
| Clinical nodal stage | ||
| N0 | 67 | 23.3 |
| N1 | 130 | 45.1 |
| N2 | 91 | 31.6 |
| MRF involvement | ||
| No | 145 | 50.4 |
| Yes | 139 | 48.3 |
| Unknown | 4 | 1.4 |
| Risk category | ||
| Low/moderate | 112 | 38.9 |
| High | 176 | 61.1 |
| Tumor Histology | ||
| Grade1 Adenocarcinoma | 16 | 5.5 |
| Grade2 Adenocarcinoma | 245 | 85.0 |
| Grade3 Adenocarcinoma | 20 | 7.0 |
| Unknown | 7 | 2.4 |
| No of Patients n = 288 | % | |
|---|---|---|
| IMRT-SIB dose (dose fraction) | ||
| 52.5 Gy (2.1 Gy) | 23 | 8.0 |
| 54 Gy (2.16 Gy) | 91 | 31.6 |
| 55 Gy (2.2 Gy) | 141 | 49.0 |
| 56 Gy (2.25 Gy) | 22 | 7.6 |
| 57.5 Gy (2.3 Gy) | 11 | 3.8 |
| Interruption/Delayed IMRT | ||
| No | 286 | 99.3 |
| Yes | 2 | 0.7 |
| Interruption/delayed Capecitabine | ||
| No | 225 | 78.1 |
| Yes | 63 | 21.9 |
| Clinical Response | ||
| (patients selected for organ preservation) | ||
| cCr * | 20 | 6.9 |
| mCR ** | 16 | 5.6 |
| Acute toxicity | ||
| Grade 3–4 gastrointestinal | 17 | 5.9 |
| Grade 3–4 hematologic | 6 | 2.1 |
| Grade 3–4 urologic | 0 | 0.0 |
| Grade 3–4 other | 3 | 1.0 |
| Treatment Compliance | ||
| IMRT-SIB Concurrent capecitabine | 286 225 | 99.3 78.1 |
| Clinical Response | ypT Stage | ||
|---|---|---|---|
| pT0 (n = 19) | * pT1 (n = 6) | ** pT > 1 (n = 4) | |
| Complete (n = 13) | 11 (84.6%) | 2 (15.4%) | 0 (0.0) |
| Major (n = 16) | 8 (50.0%) | 4 (25.0%) | 4 (25.0%) |
| Variables | N. of Patients (n = 288) | % |
|---|---|---|
| Surgical procedure | ||
| LAR | 187 | 64.9 |
| APR | 62 | 21.5 |
| Hartmann’s resection | 3 | 1.0 |
| Local Excision | 29 | 10.1 |
| Non-Operative Management | 7 | 2.4 |
| Tumor Pathological Stage | ||
| Total mesorectal excision (n = 252) | ||
| pT0N0 (pCR) | 65 | 25.8 |
| pT0N1 | 4 | 1.6 |
| pT1 | 22 | 8.7 |
| pT2 | 75 | 29.8 |
| pT3 | 84 | 33.3 |
| pT4 | 2 | 0.8 |
| Local excision (n = 29) | ||
| pT0Nx * | 19 | 65.5 |
| pT1Nx ** | 6 | 20.7 |
| pT2Nx/pT3Nx | 4 | 13.8 |
| Mandard TRG | ||
| TRG1 | 85 | 29.5 |
| TRG2 | 92 | 31.9 |
| TRG3 | 68 | 23.6 |
| TRG4–5 | 22 | 7.6 |
| Unknown | 21 | 7.3 |
| Nodal pathological stage (among patients undergoing TME) | ||
| pN0 | 201 | 79.8 |
| pN1 | 42 | 16.7 |
| pN2 | 9 | 3.6 |
| CRM | ||
| >1 mm | 238 | 94.5 |
| ≤1 mm | 14 | 5.5 |
| Postoperative Complications | ||
| Leakage anastomosis (LAR) | 15 | 8.0 |
| Pelvic abscess | 8 | 3.2 |
| Fistula | 4 | 1.4 |
| Perineal wound infection (APR) | 3 | 4.8 |
| Small bowel (sub-)obstruction | 4 | 1.4 |
| Ileus | 4 | 1.4 |
| Other | 14 | 5.0 |
| Surgery | Patients | Outcome, n (%) | ||||
|---|---|---|---|---|---|---|
| LR | LR + DM | DM | Death | Disease Free | ||
| TME | 252 | 10 (4.0) | 10 (4.0) | 44 (17.4) | 30 (11.9) | 184 (73.0) |
| LE * | 29 | 1 (3.4) | 1 (3.4) | 2 (6.9) | 1 (3.4) | 26 (86.2) |
| W-W ** | 7 | 1 (14.3) | 0 (0.0) | 0 (0.0) | 0 (0.0) | 6 (85.7) |
| Variables | Mandard TRG3-5 vs. TRG1-2 | |
|---|---|---|
| OR (95% CI) | p-Value | |
| Age ≥ 65 years | 0.67 (0.40–1.14) | 0.137 |
| Male gender | 1.73 (0.97–3.06) | 0.061 |
| cT4 vs. cT2-cT3 | 0.96 (0.44–2.06) | 0.907 |
| cN2 vs. cN0-cN1 | 1.02 (0.58–1.79) | 0.950 |
| Positive MRF involvement | 2.00 (1.05–3.79) | 0.035 |
| Distance from anal verge ≥5 cm | 1.37 (0.79–2.39) | 0.266 |
| Time to surgery >10 vs. ≤10 months b | 1.35 (0.58–3.13) | 0.491 |
| Planned IMRT-SIB do | 0.57 (0.32–1.01) | 0.056 |
| Variables | Overall Survival | Progression-Free Survival | ||
|---|---|---|---|---|
| HR (95% CI) | p-Value | HR (95% CI) | p-Value | |
| Age ≥ 65 years | 1.82 (0.86–3.82) | 0.116 | 0.88 (0.55–1.41) | 0.589 |
| Male gender | 1.90 (0.78–4.62) | 0.157 | 1.58 (0.93–2.67) | 0.091 |
| cT4 vs. cT2-cT3 | 2.61 (1.05–6.49) | 0.039 | 1.97 (1.01–3.84) | 0.046 |
| cN2 vs. cN0-cN1 | 0.73 (0.33–1.63) | 0.444 | 0.82 (0.49–1.39) | 0.465 |
| Positive MRF involvement | 1.51 (0.58–3.95) | 0.398 | 0.97 (0.53–1.77) | 0.909 |
| Distance from anal verge ≥ 5 cm | 1.35 (0.62–2.98) | 0.452 | 0.84 (0.51–1.37) | 0.482 |
| Time to surgery >10 vs. ≤10 months b | 0.46 (0.06–3.43) | 0.446 | 1.04 (0.47–2.32) | 0.915 |
| Mandard TRG3–5 vs. TRG1-2 | 2.62 (1.09–6.30) | 0.031 | 1.75 (1.03–3.00) | 0.040 |
| pT0N0 vs. other | 0.86 (0.29–2.56) | 0.785 | 1.79 (0.81–3.95) | 0.152 |
| IMRT-SIB dose ≥ 55 Gy | 1.26 (0.55–2.87) | 0.585 | 0.89 (0.53–1.48) | 0.647 |
| Adjuvant chemotherapy | 1.25 (0.56–2.76) | 0.588 | 1.91 (1.15–3.18) | 0.013 |
| Variables | Local Recurrence | Distant Metastasis | ||
|---|---|---|---|---|
| HR (95% CI) | p-Value | HR (95% CI) | p-Value | |
| Age ≥ 65 years | 0.72 (0.28–1.85) | 0.499 | 0.89 (0.53–1.49) | 0.652 |
| Male gender | 2.85 (0.97–8.40) | 0.057 | 1.29 (0.74–2.25) | 0.364 |
| cT4 vs. cT2-cT3 | 0.91 (0.27–3.08) | 0.879 | 2.17 (1.07–4.39) | 0.032 |
| cN2 vs. cN0-cN1 | 0.99 (0.36–2.77) | 0.990 | 0.76 (0.43–1.35) | 0.349 |
| Positive MRF involvement | 1.06 (0.36–3.12) | 0.923 | 0.97 (0.50–1.87) | 0.919 |
| Distance from anal verge ≥5 cm | 0.58 (0.26–1.31) | 0.192 | 0.88 (0.51–1.49) | 0.622 |
| Time to surgery >10 vs. ≤10 months b | 1.44 (0.34–6.12) | 0.621 | 0.76 (0.30–1.94) | 0.571 |
| Mandard TRG3–5 vs. TRG1-2 | 1.15 (0.43–3.12) | 0.779 | 1.99 (1.12–3.54) | 0.019 |
| pT0N0 vs. other | 1.47 (0.39–5.57) | 0.572 | 2.14 (0.87–5.29) | 0.098 |
| IMRT-SIB dose ≥55 Gy | 0.93 (0.39–2.19) | 0.863 | 0.82 (0.48–1.43) | 0.491 |
| Adjuvant chemotherapy | 2.30 (0.86–6.21) | 0.099 | 1.71 (0.99–2.97) | 0.055 |
Disclaimer/Publisher’s Note: The statements, opinions and data contained in all publications are solely those of the individual author(s) and contributor(s) and not of MDPI and/or the editor(s). MDPI and/or the editor(s) disclaim responsibility for any injury to people or property resulting from any ideas, methods, instructions or products referred to in the content. |
© 2023 by the authors. Licensee MDPI, Basel, Switzerland. This article is an open access article distributed under the terms and conditions of the Creative Commons Attribution (CC BY) license (https://creativecommons.org/licenses/by/4.0/).
Share and Cite
Lupattelli, M.; Palazzari, E.; Polesel, J.; Chiloiro, G.; Angelicone, I.; Panni, V.; Caravatta, L.; Di Biase, S.; Macchia, G.; Niespolo, R.M.; et al. Preoperative Intensified Chemoradiation with Intensity-Modulated Radiotherapy and Simultaneous Integrated Boost Combined with Capecitabine in Locally Advanced Rectal Cancer: Long-Term Outcomes of a Real-Life Multicenter Study. Cancers 2023, 15, 5702. https://doi.org/10.3390/cancers15235702
Lupattelli M, Palazzari E, Polesel J, Chiloiro G, Angelicone I, Panni V, Caravatta L, Di Biase S, Macchia G, Niespolo RM, et al. Preoperative Intensified Chemoradiation with Intensity-Modulated Radiotherapy and Simultaneous Integrated Boost Combined with Capecitabine in Locally Advanced Rectal Cancer: Long-Term Outcomes of a Real-Life Multicenter Study. Cancers. 2023; 15(23):5702. https://doi.org/10.3390/cancers15235702
Chicago/Turabian StyleLupattelli, Marco, Elisa Palazzari, Jerry Polesel, Giuditta Chiloiro, Ilaria Angelicone, Valeria Panni, Luciana Caravatta, Saide Di Biase, Gabriella Macchia, Rita Marina Niespolo, and et al. 2023. "Preoperative Intensified Chemoradiation with Intensity-Modulated Radiotherapy and Simultaneous Integrated Boost Combined with Capecitabine in Locally Advanced Rectal Cancer: Long-Term Outcomes of a Real-Life Multicenter Study" Cancers 15, no. 23: 5702. https://doi.org/10.3390/cancers15235702
APA StyleLupattelli, M., Palazzari, E., Polesel, J., Chiloiro, G., Angelicone, I., Panni, V., Caravatta, L., Di Biase, S., Macchia, G., Niespolo, R. M., Franco, P., Epifani, V., Meldolesi, E., de Giacomo, F., Lucarelli, M., Montesi, G., Mantello, G., Innocente, R., Osti, M. F., ... De Paoli, A. (2023). Preoperative Intensified Chemoradiation with Intensity-Modulated Radiotherapy and Simultaneous Integrated Boost Combined with Capecitabine in Locally Advanced Rectal Cancer: Long-Term Outcomes of a Real-Life Multicenter Study. Cancers, 15(23), 5702. https://doi.org/10.3390/cancers15235702

