Circulating Tumour DNA Guided Adjuvant Chemotherapy Decision Making in Stage II Colon Cancer—A Clinical Vignette Study
Abstract
:Simple Summary
Abstract
1. Introduction
2. Methods
3. Results
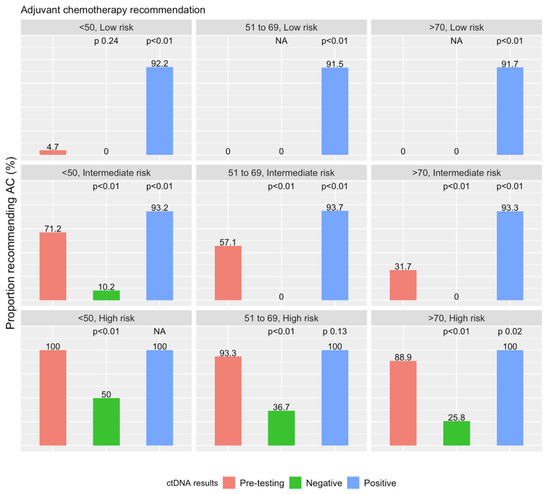
3.1. Adjuvant Chemotherapy Recommendation—Pre-ctDNA Testing
3.2. Adjuvant Chemotherapy Recommendation—Post-ctDNA Testing
4. Discussion
5. Conclusions
Supplementary Materials
Author Contributions
Funding
Institutional Review Board Statement
Informed Consent Statement
Data Availability Statement
Acknowledgments
Conflicts of Interest
References
- Investigators for IIMPACT B2. Efficacy of adjuvant fluorouracil and folinic acid in B2 colon cancer. International Multicentre Pooled Analysis of B2 Colon Cancer Trials (IMPACT B2) Investigators. J. Clin. Oncol. 1999, 17, 1356–1363. [Google Scholar] [CrossRef]
- Figueredo, A.; Charette, M.L.; Maroun, J.; Brouwers, M.C.; Zuraw, L. Adjuvant therapy for stage II colon cancer: A systematic review from the Cancer Care Ontario Program in evidence-based care’s gastrointestinal cancer disease site group. J. Clin. Oncol. 2004, 22, 3395–3407. [Google Scholar] [CrossRef]
- Benson, A.B.; Venook, A.P.; Al-Hawary, M.M.; Nilofer, A.; Yi-Jen, C.; Ciombor, K.K. Colon Cancer, Version 2.2023, NCCN Clinical Practice Guidelines in Oncology: NCCN. 2023. Available online: https://www.nccn.org/professionals/physician_gls/pdf/colon.pdf (accessed on 4 May 2023).
- Argilés, G.; Tabernero, J.; Labianca, R.; Hochhauser, D.; Salazar, R.; Iveson, T.; Laurent-Puig, P.; Quirke, P.; Yoshino, T.; Taieb, J.; et al. Localised colon cancer: ESMO Clinical Practice Guidelines for diagnosis, treatment and follow-up. Ann. Oncol. 2020, 31, 1291–1305. [Google Scholar] [CrossRef]
- Tie, J.; Wang, Y.; Tomasetti, C.; Li, L.; Springer, S.; Kinde, I.; Silliman, N.; Tacey, M.; Wong, H.-L.; Christie, M.; et al. Circulating tumor DNA analysis detects minimal residual disease and predicts recurrence in patients with stage II colon cancer. Sci. Transl. Med. 2016, 8, 346ra92. [Google Scholar] [CrossRef]
- Tarazona, N.; Gimeno-Valiente, F.; Gambardella, V.; Zuniga, S.; Rentero-Garrido, P.; Huerta, M.; Roselló, S.; Martinez-Ciarpaglini, C.; Carbonell-Asins, J.A.; Carrasco, F.; et al. Targeted next-generation sequencing of circulating-tumor DNA for tracking minimal residual disease in localized colon cancer. Ann. Oncol. 2019, 30, 1804–1812. [Google Scholar] [CrossRef]
- Jin, S.; Zhu, D.; Shao, F.; Chen, S.; Guo, Y.; Li, K.; Wang, Y.; Ding, R.; Gao, L.; Ma, W.; et al. Efficient detection and post-surgical monitoring of colon cancer with a multi-marker DNA methylation liquid biopsy. Proc. Natl. Acad. Sci. USA 2021, 118, e2017421118. [Google Scholar] [CrossRef]
- Musher, B.L.; Melson, J.E.; Amato, G.; Chan, D.; Hill, M.; Khan, I.; Kochuparambil, S.T.; Lyons, S.E.; Orsini, J., Jr.; Pedersen, S.K.; et al. Evaluation of Circulating Tumor DNA for Methylated BCAT1 and IKZF1 to Detect Recurrence of Stage II/Stage III Colorectal Cancer (CRC). Cancer Epidemiol. Biomark. Prev. 2020, 29, 2702–2709. [Google Scholar] [CrossRef]
- Reinert, T.; Schøler, L.V.; Thomsen, R.; Tobiasen, H.; Vang, S.; Nordentoft, I.; Lamy, P.; Kannerup, A.-S.; Mortensen, F.V.; Stribolt, K.; et al. Analysis of circulating tumour DNA to monitor disease burden following colorectal cancer surgery. Gut 2016, 65, 625–634. [Google Scholar] [CrossRef] [PubMed]
- Tie, J.; Cohen, J.D.; Lahouel, K.; Lo, S.N.; Wang, Y.; Kosmider, S.; Wong, R.; Shapiro, J.; Lee, M.; Harris, S.; et al. Circulating Tumor DNA Analysis Guiding Adjuvant Therapy in Stage II Colon Cancer. N. Engl. J. Med. 2022, 386, 2261–2272. [Google Scholar] [CrossRef] [PubMed]
- Morris, V.K.; Yothers, G.; Kopetz, S.; Jacobs, S.A.; Lucas, P.C.; Iqbal, A.; Boland, P.M.; Deming, D.A.; Scott, A.J.; Lim, H.J.; et al. NRG-GI005 (COBRA): Phase II/III study of circulating tumor DNA as a predictive biomarker in adjuvant chemotherapy in patients with stage II colon cancer. J. Clin. Oncol. 2020, 38 (Suppl. S4), TPS261. [Google Scholar] [CrossRef]
- Taïeb, J.; Benhaim, L.; Puig, P.L.; Le Malicot, K.; Emile, J.F.; Geillon, F.; Tougeron, D.; Manfredi, S.; Chauvenet, M.; Taly, V.; et al. Decision for adjuvant treatment in stage II colon cancer based on circulating tumor DNA:The CIRCULATE-PRODIGE 70 trial. Dig. Liver Dis. 2020, 52, 730–733. [Google Scholar] [CrossRef] [PubMed]
- Folprecht, G.; Reinacher-Schick, A.; Weitz, J.; Lugnier, C.; Kraeft, A.-L.; Wisser, S.; Aust, D.E.; Weiss, L.; von Bubnoff, N.; Kramer, M.; et al. The CIRCULATE Trial: Circulating Tumor DNA Based Decision for Adjuvant Treatment in Colon Cancer Stage II Evaluation (AIO-KRK-0217). Clin. Color. Cancer 2022, 21, 170–174. [Google Scholar] [CrossRef]
- Eysenbach, G. Improving the Quality of Web Surveys: The Checklist for Reporting Results of Internet E-Surveys (CHERRIES). J. Med. Internet Res. 2004, 6, e34. [Google Scholar] [CrossRef] [PubMed]
- André, T.; de Gramont, A.; Vernerey, D.; Chibaudel, B.; Bonnetain, F.; Tijeras-Raballand, A.; Scriva, A.; Hickish, T.; Tabernero, J.; Van Laethem, J.L.; et al. Adjuvant Fluorouracil, Leucovorin, and Oxaliplatin in Stage II to III Colon Cancer: Updated 10-Year Survival and Outcomes According to BRAF Mutation and Mismatch Repair Status of the MOSAIC Study. J. Clin. Oncol. 2015, 33, 4176–4187. [Google Scholar] [CrossRef] [PubMed]
- Sargent, D.J.; Goldberg, R.M.; Jacobson, S.D.; Macdonald, J.S.; Labianca, R.; Haller, D.G.; Shepherd, L.E.; Seitz, J.F.; Francini, G. A pooled analysis of adjuvant chemotherapy for resected colon cancer in elderly patients. N. Engl. J. Med. 2001, 345, 1091–1097. [Google Scholar] [CrossRef] [PubMed]
- Popescu, R.A.; Norman, A.; Ross, P.J.; Parikh, B.; Cunningham, D. Adjuvant or palliative chemotherapy for colorectal cancer in patients 70 years or older. J. Clin. Oncol. 1999, 17, 2412–2418. [Google Scholar] [CrossRef] [PubMed]
- O’Connor, E.S.; Greenblatt, D.Y.; LoConte, N.K.; Gangnon, R.E.; Liou, J.-I.; Heise, C.P.; Smith, M.A. Adjuvant chemotherapy for stage II colon cancer with poor prognostic features. J. Clin. Oncol. 2011, 29, 3381–3388. [Google Scholar] [CrossRef]
- Savill, K.M.Z.; Gentile, D.; Jeune-Smith, Y.; Klink, A.J.; Feinberg, B.A. Real-world utilization of ctDNA in the management of colorectal cancer. J. Clin. Oncol. 2022, 40 (Suppl. S6), 3075. [Google Scholar] [CrossRef]
- Iveson, T.J.; Sobrero, A.F.; Yoshino, T.; Souglakos, I.; Ou, F.-S.; Meyers, J.P.; Shi, Q.; Grothey, A.; Saunders, M.P.; Labianca, R.; et al. Duration of Adjuvant Doublet Chemotherapy (3 or 6 months) in Patients With High-Risk Stage II Colorectal Cancer. J. Clin. Oncol. 2021, 39, 631–641. [Google Scholar] [CrossRef]
- Sahin, I.; Lin, Y.; Yothers, G.; Lucas, P.; Deming, D.; George, T.; Kopetz, S.; Lieu, C.; Dasari, A. Minimal Residual Disease-Directed Adjuvant Therapy for Patients With Early-Stage Colon Cancer: CIRCULATE-US. Oncology 2022, 36, 604–608. [Google Scholar]
- To, Y.H.; Degeling, K.; Kosmider, S.; Wong, R.; Lee, M.; Dunn, C.; Gard, G.; Jalali, A.; Wong, V.; Ijzerman, M.; et al. Circulating Tumour DNA as a Potential Cost-Effective Biomarker to Reduce Adjuvant Chemotherapy Overtreatment in Stage II Colorectal Cancer. Pharmacoeconomics 2021, 39, 953–964. [Google Scholar] [CrossRef] [PubMed]
- Wildes, T.M.; Ruwe, A.P.; Fournier, C.; Gao, F.; Carson, K.R.; Piccirillo, J.F.; Tan, B.; Colditz, G.A. Geriatric assessment is associated with completion of chemotherapy, toxicity, and survival in older adults with cancer. J. Geriatr. Oncol. 2013, 4, 227–234. [Google Scholar] [CrossRef] [PubMed]
- Lunenburg, C.A.T.C.; van der Wouden, C.H.; Nijenhuis, M.; Rhenen, M.H.C.-V.; de Boer-Veger, N.J.; Buunk, A.M.; Houwink, E.J.F.; Mulder, H.; Rongen, G.A.; van Schaik, R.H.N.; et al. Dutch Pharmacogenetics Working Group (DPWG) guideline for the gene-drug interaction of DPYD and fluoropyrimidines. Eur. J. Hum. Genet. 2020, 28, 508–517. [Google Scholar] [CrossRef] [PubMed]


| Variable 1: Age | Variable 2: Clinico-Pathological Risk for Recurrence | |
|---|---|---|
| Level 1 | ≤50 years | High-risk—defined as the presence of any of the following features:
|
| Level 2 | 51 to 69 years | Intermediate-risk—defined as mismatch repair proficient (pMMR) tumour and the presence of only one of the following features:
|
| Level 3 | ≥70 years | Low-risk—defined as one of the following:
|
| Clinicopathological Risk | Low | Intermediate | High | ||||||
|---|---|---|---|---|---|---|---|---|---|
| Age | ≤50 | 51 to 69 | ≥70 | ≤50 | 51 to 69 | ≥70 | ≤50 | 51 to 69 | ≥70 |
| No. of responses | 64 | 59 | 60 | 59 | 63 | 60 | 60 | 60 | 62 |
| Recommend AC, n (%) | 3 (4.7) | 0 (0) | 0 (0) | 42 (71.2) | 36 (57.1) | 19 (31.7) | 60 (100) | 56 (93.3) | 55 (88.7) |
| Specific regimen recommended, n (%) | |||||||||
| 0 (0) | 0 (0) | 0 (0) | 1 (1.7) | 1 (1.6) | 0 (0) | 0 (0) | 0 (0) | 1 (1.6) |
| 3 (4.7) | 0 (0) | 0 (0) | 27 (45.8) | 24 (38.1) | 15 (25) | 26 (43.3) | 29 (48.3) | 41 (66.1) |
| 0 (0) | 0 (0) | 0 (0) | 12 (20.3) | 10 (15.9) | 4 (6.7) | 20 (33.3) | 15 (25) | 8 (12.9) |
| 0 (0) | 0 (0) | 0 (0) | 2 (3.4) | 1 (1.6) | 0 (0) | 14 (23.3) | 12 (20) | 5 (8.1) |
| 61 (95.3) | 59 (100) | 60 (100) | 17 (28.8) | 27 (42.9) | 41 (68.3) | 0 (0) | 4 (6.7) | 7 (11.3) |
| Order ctDNA testing, n (%) | 54 (84.4) | 49 (83.1) | 38 (63.3) | 54 (91.5) | 60 (95.2) | 54 (90) | 49 (81.7) | 49 (81.7) | 55 (88.7) |
| Clinicopathological Risk | Low | Intermediate | High | |||||||
|---|---|---|---|---|---|---|---|---|---|---|
| Age | ≤50 | 51 to 69 | ≥70 | ≤50 | 51 to 69 | ≥70 | ≤50 | 51 to 69 | ≥70 | |
| No. of responses | 64 | 59 | 60 | 59 | 63 | 60 | 60 | 60 | 63 | |
| Negative ctDNA | No change, n (%) | 61 (95) | 59 (100) | 60 (100) | 21 (35) | 27 (43) | 41 (68) | 22 (37) | 20 (33) | 22 (35) |
| De-escalate, n (%) | 3 (5) | 0 | 0 | 38 (65) | 36 (57) | 19 (32) | 38 (63% | 40 (67) | 41 (65) | |
| Escalate, n (%) | 0 | 0 | 0 | 0 | 0 | 0 | 0 | 0 | 0 | |
| Positive ctDNA | No change, n (%) | 5 (8) | 5 (8) | 5 (8) | 22 (59) | 15 (24) | 13 (22) | 37 (62) | 33 (55) | 38 (60) |
| De-escalate, n (%) | 0 | 0 | 0 | 0 | 0 | 0 | 0 | 0 | 0 | |
| Escalate, n (%) | 59 (92) | 54 (92) | 55 (92) | 37 (41) | 48 (76) | 47 (78) | 23 (38) | 27 (45) | 25 (40) | |
| p-value | <0.01 | <0.01 | <0.01 | <0.01 | <0.01 | <0.01 | <0.01 | <0.01 | <0.01 | |
Disclaimer/Publisher’s Note: The statements, opinions and data contained in all publications are solely those of the individual author(s) and contributor(s) and not of MDPI and/or the editor(s). MDPI and/or the editor(s) disclaim responsibility for any injury to people or property resulting from any ideas, methods, instructions or products referred to in the content. |
© 2023 by the authors. Licensee MDPI, Basel, Switzerland. This article is an open access article distributed under the terms and conditions of the Creative Commons Attribution (CC BY) license (https://creativecommons.org/licenses/by/4.0/).
Share and Cite
To, Y.H.; Gibbs, P.; Tie, J.; Loree, J.; Glyn, T.; Degeling, K. Circulating Tumour DNA Guided Adjuvant Chemotherapy Decision Making in Stage II Colon Cancer—A Clinical Vignette Study. Cancers 2023, 15, 5227. https://doi.org/10.3390/cancers15215227
To YH, Gibbs P, Tie J, Loree J, Glyn T, Degeling K. Circulating Tumour DNA Guided Adjuvant Chemotherapy Decision Making in Stage II Colon Cancer—A Clinical Vignette Study. Cancers. 2023; 15(21):5227. https://doi.org/10.3390/cancers15215227
Chicago/Turabian StyleTo, Yat Hang, Peter Gibbs, Jeanne Tie, Jonathan Loree, Tamara Glyn, and Koen Degeling. 2023. "Circulating Tumour DNA Guided Adjuvant Chemotherapy Decision Making in Stage II Colon Cancer—A Clinical Vignette Study" Cancers 15, no. 21: 5227. https://doi.org/10.3390/cancers15215227
APA StyleTo, Y. H., Gibbs, P., Tie, J., Loree, J., Glyn, T., & Degeling, K. (2023). Circulating Tumour DNA Guided Adjuvant Chemotherapy Decision Making in Stage II Colon Cancer—A Clinical Vignette Study. Cancers, 15(21), 5227. https://doi.org/10.3390/cancers15215227

