Cost-Effectiveness of Surveillance after Metastasectomy of Stage IV Colorectal Cancer
Abstract
Simple Summary
Abstract
1. Introduction
2. Methods
2.1. Overview
2.2. Model
2.3. Model Inputs
2.4. Scenario and Sensitivity Analyses
3. Results
3.1. Cost Estimates
3.2. Probabilistic Sensitivity Analysis
3.3. One-Way and Two-Way Sensitivity Analyses
4. Discussion
5. Conclusions
Author Contributions
Funding
Institutional Review Board Statement
Informed Consent Statement
Data Availability Statement
Conflicts of Interest
References
- World Health Organization. Cancer. Available online: https://www.who.int/news-room/fact-sheets/detail/cancer (accessed on 10 August 2021).
- Arnold, M.; Sierra, M.S.; Laversanne, M.; Soerjomataram, I.; Jemal, A.; Bray, F. Global Patterns and Trends in Colorectal Cancer Incidence and Mortality. Gut 2017, 66, 683–691. [Google Scholar] [CrossRef] [PubMed]
- Kopetz, S.; Chang, G.J.; Overman, M.J.; Eng, C.; Sargent, D.J.; Larson, D.W.; Grothey, A.; Vauthey, J.-N.; Nagorney, D.M.; McWilliams, R.R. Improved Survival in Metastatic Colorectal Cancer Is Associated with Adoption of Hepatic Resection and Improved Chemotherapy. J. Clin. Oncol. 2009, 27, 3677–3683. [Google Scholar] [CrossRef]
- Rose, J. Colorectal Cancer Surveillance: What’s New and What’s Next. World J. Gastroenterol. 2014, 20, 1887. [Google Scholar] [CrossRef]
- Pita-Fernández, S.; Alhayek-Aí, M.; González-Martín, C.; López-Calviño, B.; Seoane-Pillado, T.; Pértega-Díaz, S. Intensive Follow-up Strategies Improve Outcomes in Nonmetastatic Colorectal Cancer Patients after Curative Surgery: A Systematic Review and Meta-Analysis. Ann. Oncol. 2015, 26, 644–656. [Google Scholar] [CrossRef] [PubMed]
- Jones, R.P.; Jackson, R.; Dunne, D.F.J.; Malik, H.Z.; Fenwick, S.W.; Poston, G.J.; Ghaneh, P. Systematic Review and Meta-Analysis of Follow-up after Hepatectomy for Colorectal Liver Metastases2. Br. J. Surg. 2012, 99, 477–486. [Google Scholar] [CrossRef] [PubMed]
- Pfannschmidt, J.; Dienemann, H.; Hoffmann, H. Surgical Resection of Pulmonary Metastases from Colorectal Cancer: A Systematic Review of Published Series. Ann. Thorac. Surg. 2007, 84, 324–338. [Google Scholar] [CrossRef]
- de Jong, M.C.; Pulitano, C.; Ribero, D.; Strub, J.; Mentha, G.; Schulick, R.D.; Choti, M.A.; Aldrighetti, L.; Capussotti, L.; Pawlik, T.M. Rates and Patterns of Recurrence Following Curative Intent Surgery for Colorectal Liver Metastasis. Ann. Surg. 2009, 250, 440–448. [Google Scholar] [CrossRef] [PubMed]
- Taylor, A.; Primrose, J.N.; Langeberg, W.; Kelsh, M.A.; Mowat, F.; Alexander, D.; Choti, M.; Poston, G.; Kanas, G.P. Survival after Liver Resection in Metastatic Colorectal Cancer: Review and Meta-Analysis of Prognostic Factors. Clin. Epidemiol. 2012, 4, 283. [Google Scholar] [CrossRef]
- Elferink, M.A.G.; de Jong, K.P.; Klaase, J.M.; Siemerink, E.J.; de Wilt, J.H.W. Metachronous Metastases from Colorectal Cancer: A Population-Based Study in North-East Netherlands. Int. J. Color. Dis. 2015, 30, 205–212. [Google Scholar] [CrossRef]
- Gonzalez, M.; Poncet, A.; Combescure, C.; Robert, J.; Ris, H.B.; Gervaz, P. Risk Factors for Survival after Lung Metastasectomy in Colorectal Cancer Patients: A Systematic Review and Meta-Analysis. Ann. Surg. Oncol. 2013, 20, 572–579. [Google Scholar] [CrossRef]
- House, M.G.; Ito, H.; Gönen, M.; Fong, Y.; Allen, P.J.; DeMatteo, R.P.; Brennan, M.F.; Blumgart, L.H.; Jarnagin, W.R.; D’Angelica, M.I. Survival after Hepatic Resection for Metastatic Colorectal Cancer: Trends in Outcomes for 1600 Patients during Two Decades at a Single Institution. J. Am. Coll. Surg. 2010, 210, 744–752. [Google Scholar] [CrossRef] [PubMed]
- Adam, R.; Bismuth, H.; Castaing, D.; Waechter, F.; Navarro, F.; Abascal, A.; Majno, P.; Engerran, L. Repeat Hepatectomy for Colorectal Liver Metastases. Ann. Surg. 1997, 225, 51–62. [Google Scholar] [CrossRef] [PubMed]
- Warwick, R.; Page, R. Resection of Pulmonary Metastases from Colorectal Carcinoma. Eur. J. Surg. Oncol. (EJSO) 2007, 33, S59–S63. [Google Scholar] [CrossRef] [PubMed]
- Lee-Ying, R.M.; Renouf, D.J.; Lim, H.J.; Kennecke, H.F.; Gill, S.; Speers, C.; Cheung, W.Y. Utility of Surveillance Following Curative Intent Resection of Metastases. J. Clin. Oncol. 2015, 33, 6562. [Google Scholar] [CrossRef]
- Meyerhardt, J.A.; Mangu, P.B.; Flynn, P.J.; Korde, L.; Loprinzi, C.L.; Minsky, B.D.; Petrelli, N.J.; Ryan, K.; Schrag, D.H.; Wong, S.L.; et al. Follow-Up Care, Surveillance Protocol, and Secondary Prevention Measures for Survivors of Colorectal Cancer: American Society of Clinical Oncology Clinical Practice Guideline Endorsement. J. Clin. Oncol. 2013, 31, 4465–4470. [Google Scholar] [CrossRef]
- Members of the Colorectal Cancer Survivorship Guideline Development Group. Follow-Up Care, Surveillance Protocol, and Secondary Prevention Measures for Survivors of Colorectal Cancer; Cancer Care Ontario: Toronto, ON, Canada, 2021. [Google Scholar]
- El-Shami, K.; Oeffinger, K.C.; Erb, N.L.; Willis, A.; Bretsch, J.K.; Pratt-Chapman, M.L.; Cannady, R.S.; Wong, S.L.; Rose, J.; Barbour, A.L.; et al. American Cancer Society Colorectal Cancer Survivorship Care Guidelines. CA Cancer J. Clin. 2015, 65, 427–455. [Google Scholar] [CrossRef]
- National Comprehensive Cancer Network, Inc. NCCN Guidelines Version 2.2021 Colon Cancer; National Comprehensive Cancer Network: Philadelphia, PA, USA, 2021. [Google Scholar]
- Argilés, G.; Tabernero, J.; Labianca, R.; Hochhauser, D.; Salazar, R.; Iveson, T.; Laurent-Puig, P.; Quirke, P.; Yoshino, T.; Taieb, J.; et al. Localised Colon Cancer: ESMO Clinical Practice Guidelines for Diagnosis, Treatment and Follow-Up. Ann. Oncol. 2020, 31, 1291–1305. [Google Scholar] [CrossRef]
- Glynne-Jones, R.; Wyrwicz, L.; Tiret, E.; Brown, G.; Rödel, C.; Cervantes, A.; Arnold, D. Rectal Cancer: ESMO Clinical Practice Guidelines for Diagnosis, Treatment and Follow-Up. Ann. Oncol. 2017, 28, iv22–iv40. [Google Scholar] [CrossRef]
- Hardiman, K.M.; Felder, S.I.; Friedman, G.; Migaly, J.; Paquette, I.M.; Feingold, D.L. The American Society of Colon and Rectal Surgeons Clinical Practice Guidelines for the Surveillance and Survivorship Care of Patients After Curative Treatment of Colon and Rectal Cancer. Dis. Colon. Rectum 2021, 64, 517–533. [Google Scholar] [CrossRef]
- Dresen, R.C.; Gosens, M.J.; Martijn, H.; Nieuwenhuijzen, G.A.; Creemers, G.-J.; Daniels-Gooszen, A.W.; van den Brule, A.J.; van den Berg, H.A.; Rutten, H.J. Radical Resection After IORT-Containing Multimodality Treatment Is the Most Important Determinant for Outcome in Patients Treated for Locally Recurrent Rectal Cancer. Ann. Surg. Oncol. 2008, 15, 1937–1947. [Google Scholar] [CrossRef]
- Bhangu, A.; Ali, S.M.; Darzi, A.; Brown, G.; Tekkis, P. Meta-Analysis of Survival Based on Resection Margin Status Following Surgery for Recurrent Rectal Cancer. Color. Dis. 2012, 14, 1457–1466. [Google Scholar] [CrossRef]
- van Cutsem, E.; Cervantes, A.; Nordlinger, B.; Arnold, D. Metastatic Colorectal Cancer: ESMO Clinical Practice Guidelines for Diagnosis, Treatment and Follow-Up. Ann. Oncol. 2014, 25, iii1–iii9. [Google Scholar] [CrossRef]
- National Institute for Health and Care Excellence. Colorectal Cancer; National Institute for Health and Care Excellence: London, UK, 2022. [Google Scholar]
- Langenhoff, B.S.; Krabbe, P.F.M.; Ruers, T.J.M. Efficacy of Follow-up after Surgical Treatment of Colorectal Liver Metastases. Eur. J. Surg. Oncol. (EJSO) 2009, 35, 180–186. [Google Scholar] [CrossRef]
- Gomez, D.; Sangha, V.K.; Morris-Stiff, G.; Malik, H.Z.; Guthrie, A.J.; Toogood, G.J.; Lodge, J.P.A.; Prasad, K.R. Outcomes of Intensive Surveillance after Resection of Hepatic Colorectal Metastases. Br. J. Surg. 2010, 97, 1552–1560. [Google Scholar] [CrossRef] [PubMed]
- Connor, S.; Hart, M.G.; Redhead, D.N.; Ireland, H.; Madhavan, K.K.; Parks, R.W.; Garden, O.J. Follow-up and Outcomes for Resection of Colorectal Liver Metastases in Edinburgh. Eur. J. Surg. Oncol. (EJSO) 2007, 33, 55–60. [Google Scholar] [CrossRef]
- Gazelle, G.S.; Hunink, M.G.M.; Kuntz, K.M.; McMahon, P.M.; Halpern, E.F.; Beinfeld, M.; Lester, J.S.; Tanabe, K.K.; Weinstein, M.C. Cost-Effectiveness of Hepatic Metastasectomy in Patients with Metastatic Colorectal Carcinoma. Ann. Surg. 2003, 237, 544–555. [Google Scholar] [CrossRef] [PubMed]
- Bhattacharjya, S.; Aggarwal, R.; Davidson, B.R. Intensive Follow-up after Liver Resection for Colorectal Liver Metastases: Results of Combined Serial Tumour Marker Estimations and Computed Tomography of the Chest and Abdomen—A Prospective Study. Br. J. Cancer 2006, 95, 21–26. [Google Scholar] [CrossRef]
- NCCN. Clinical Practice Guidelines in Oncology: Colon Cancer, Version 3.2021; National Comprehensive Cancer Network: Philadelphia, PA, USA, 2021. [Google Scholar]
- CADTH. Guidelines for the Economic Evaluation of Health Technologies: Canada, 4th ed.; CADTH: Ottawa, ON, Canada, 2017. [Google Scholar]
- Husereau, D.; Drummond, M.; Augustovski, F.; de Bekker-Grob, E.; Briggs, A.H.; Carswell, C.; Caulley, L.; Chaiyakunapruk, N.; Greenberg, D.; Loder, E.; et al. Consolidated Health Economic Evaluation Reporting Standards 2022 (CHEERS 2022) Statement: Updated Reporting Guidance for Health Economic Evaluations. BMC Med. 2022, 20, 23. [Google Scholar] [CrossRef] [PubMed]
- Lee-Ying, R.; Bernard, B.; Gresham, G.; Chen, L.; Speers, C.; Kennecke, H.F.; Lim, H.J.; Cheung, W.Y.; Renouf, D.J. A Comparison of Survival by Site of Metastatic Resection in Metastatic Colorectal Cancer. Clin. Color. Cancer 2017, 16, e23–e28. [Google Scholar] [CrossRef]
- Heitman, S.J.; Hilsden, R.J.; Au, F.; Dowden, S.; Manns, B.J. Colorectal Cancer Screening for Average-Risk North Americans: An Economic Evaluation. PLoS Med. 2010, 7, e1000370. [Google Scholar] [CrossRef]
- Government of Alberta Interactive Health Data Application. Available online: http://www.ahw.gov.ab.ca/IHDA_Retrieval/ (accessed on 4 July 2022).
- McKay, A.; Kutnikoff, T.; Taylor, M. A Cost-Utility Analysis of Treatments for Malignant Liver Tumours: A Pilot Project. HPB 2007, 9, 42–51. [Google Scholar] [CrossRef][Green Version]
- Yezefski, T.A.; Le, D.; Chen, L.; Speers, C.H.; Chennupati, S.; Snider, J.; Gill, S.; Ramsey, S.D.; Kennecke, H.F.; Shankaran, V. Comparison of Treatment, Cost, and Survival in Patients with Metastatic Colorectal Cancer in Western Washington, United States, and British Columbia, Canada. JCO Oncol. Pract. 2020, 16, e425–e432. [Google Scholar] [CrossRef] [PubMed]
- Jeong, K.; Cairns, J. Systematic Review of Health State Utility Values for Economic Evaluation of Colorectal Cancer. Health Econ. Rev. 2016, 6, 36. [Google Scholar] [CrossRef]
- Wiering, B.; Oyen, W.J.G.; Adang, E.M.M.; van der Sijp, J.R.M.; Roumen, R.M.; de Jong, K.P.; Ruers, T.J.M.; Krabbe, P.F.M. Long-Term Global Quality of Life in Patients Treated for Colorectal Liver Metastases. Br. J. Surg. 2011, 98, 565–571. [Google Scholar] [CrossRef]
- Miller, A.R.; Cantor, S.B.; Peoples, G.E.; Pearlstone, D.B.; Skibber, J.M. Quality of Life and Cost Effectiveness Analysis of Therapy for Locally Recurrent Rectal Cancer. Dis. Colon. Rectum 2000, 43, 1695–1701. [Google Scholar] [CrossRef] [PubMed]
- Kjeldsen, B.J.; Kronborg, O.; Fenger, C.; Jørgensen, O.D. A Prospective Randomized Study of Follow-up after Radical Surgery for Colorectal Cancer. Br. J. Surg. 1997, 84, 666–669. [Google Scholar] [CrossRef]
- Tan, E.; Gouvas, N.; Nicholls, R.J.; Ziprin, P.; Xynos, E.; Tekkis, P.P. Diagnostic Precision of Carcinoembryonic Antigen in the Detection of Recurrence of Colorectal Cancer. Surg. Oncol. 2009, 18, 15–24. [Google Scholar] [CrossRef]
- Rose, J.; Augestad, K.M.; Kong, C.Y.; Meropol, N.J.; Kattan, M.W.; Hong, Q.; An, X.; Cooper, G.S. A Simulation Model of Colorectal Cancer Surveillance and Recurrence. BMC Med. Inform. Decis. Mak. 2014, 14, 29. [Google Scholar] [CrossRef] [PubMed]
- Ercolani, G.; Cucchetti, A.; Cescon, M.; Peri, E.; Brandi, G.; Del Gaudio, M.; Ravaioli, M.; Zanello, M.; Pinna, A.D. Effectiveness and Cost-Effectiveness of Peri-Operative versus Post-Operative Chemotherapy for Resectable Colorectal Liver Metastases. Eur. J. Cancer 2011, 47, 2291–2298. [Google Scholar] [CrossRef]
- Ackland, S.P.; Jones, M.; Tu, D.; Simes, J.; Yuen, J.; Sargeant, A.-M.; Dhillon, H.; Goldberg, R.M.; Abdi, E.; Shepherd, L.; et al. A Meta-Analysis of Two Randomised Trials of Early Chemotherapy in Asymptomatic Metastatic Colorectal Cancer. Br. J. Cancer 2005, 93, 1236–1243. [Google Scholar] [CrossRef][Green Version]
- Binder, L.; Ghadban, M.; Sit, C.; Barnard, K. Health Technology Assessment Process for Oncology Drugs: Impact of CADTH Changes on Public Payer Reimbursement Recommendations. Curr. Oncol. 2022, 29, 1514–1526. [Google Scholar] [CrossRef] [PubMed]
- Berian, J.R.; Cuddy, A.; Francescatti, A.B.; O’Dwyer, L.; Nancy You, Y.; Volk, R.J.; Chang, G.J. A Systematic Review of Patient Perspectives on Surveillance after Colorectal Cancer Treatment. J. Cancer Surviv. 2017, 11, 542–552. [Google Scholar] [CrossRef] [PubMed]
- Wen, F.; Yao, K.; Du, Z.-D.; He, X.-F.; Zhang, P.-F.; Tang, R.-L.; Li, Q. Cost-Effectiveness Analysis of Colon Cancer Treatments from MOSIAC and No. 16968 Trials. World J. Gastroenterol. 2014, 20, 17976–17984. [Google Scholar] [CrossRef]
- Attard, C.L.; Maroun, J.A.; Alloul, K.; Grima, D.T.; Bernard, L.M. Cost-Effectiveness of Oxaliplatin in the Adjuvant Treatment of Colon Cancer in Canada. Curr. Oncol. 2010, 17, 17–24. [Google Scholar] [CrossRef]
- Portier, G.; Elias, D.; Bouche, O.; Rougier, P.; Bosset, J.-F.; Saric, J.; Belghiti, J.; Piedbois, P.; Guimbaud, R.; Nordlinger, B.; et al. Multicenter Randomized Trial of Adjuvant Fluorouracil and Folinic Acid Compared with Surgery Alone After Resection of Colorectal Liver Metastases: FFCD ACHBTH AURC 9002 Trial. J. Clin. Oncol. 2006, 24, 4976–4982. [Google Scholar] [CrossRef]
- Nordlinger, B.; Sorbye, H.; Glimelius, B.; Poston, G.J.; Schlag, P.M.; Rougier, P.; Bechstein, W.O.; Primrose, J.N.; Walpole, E.T.; Finch-Jones, M.; et al. Perioperative FOLFOX4 Chemotherapy and Surgery versus Surgery Alone for Resectable Liver Metastases from Colorectal Cancer (EORTC 40983): Long-Term Results of a Randomised, Controlled, Phase 3 Trial. Lancet Oncol. 2013, 14, 1208–1215. [Google Scholar] [CrossRef] [PubMed]
- Rocha, F.G.; Helton, W.S. Resectability of Colorectal Liver Metastases: An Evolving Definition. HPB 2012, 14, 283–284. [Google Scholar] [CrossRef]
- Nordlinger, B.; Sorbye, H.; Glimelius, B.; Poston, G.J.; Schlag, P.M.; Rougier, P.; Bechstein, W.O.; Primrose, J.N.; Walpole, E.T.; Finch-Jones, M.; et al. Perioperative Chemotherapy with FOLFOX4 and Surgery versus Surgery Alone for Resectable Liver Metastases from Colorectal Cancer (EORTC Intergroup Trial 40983): A Randomised Controlled Trial. Lancet 2008, 371, 1007–1016. [Google Scholar] [CrossRef]




| Variable | Value | Spread * | Source(s) | Distribution Used in PSA |
|---|---|---|---|---|
| Cost variables | ||||
| Carcinoembryonic antigen test | 60.62 | NA | Alberta Medical Association [36] | NA |
| Clinic visit | 25.94 | 10.37–41.60 | Alberta Medical Association [37] | Gamma |
| Colonoscopy | 1059.35 | 618.06–14,833.48 | Heitman et al. [36] | Gamma |
| Computed tomography | 300.15 | NA | Government of Alberta [37] | Gamma |
| Hepatic metastasectomy | 4086.72 | 741.75 | McKay et al. [38] | Gamma |
| Post-anesthesia recovery | 84.58 | 31.43 | McKay et al. [38] | Gamma |
| Palliative chemotherapy | 6409.77 | NA | Yezefski et al. [39] | Gamma |
| Utilities | ||||
| No evidence of disease | 0.78 | 0.23 | Jeong et al. [40], Wiering et al. [41] | NA |
| Asymptomatic | 0.68 | 0.28 | Jeong et al. [40], Wiering et al. [41] | NA |
| Symptomatic | 0.50 | 0.28 | Jeong et al. [40], Miller et al. [42]. | NA |
| Recurrence | 0.74 | 0.25 | Jeong et al. [40], Wiering et al. [41] | NA |
| Clinical variables | ||||
| Sensitivity | ||||
| Clinic visit | 0.42 | 0.27–0.57 | Kjeldsen et al. [43] | Beta |
| Carcinoembryonic antigen test | 0.64 | 0.49–0.79 | Tan et al. [44] | Beta |
| Computed tomography | 0.83 | 0.68–0.98 | Rose et al. [45] | Beta |
| Colonoscopy | 0.95 | 0.80–1.00 | Rose et al. [45] | Beta |
| Specificity | ||||
| Clinic visit | 0.95 | 0.70–1.00 | Kjeldsen et al. [43] | Beta |
| Carcinoembryonic antigen test | 0.90 | 0.75–1.00 | Tan et al. [44] | Beta |
| Computed tomography | 0.93 | 0.78–1.00 | Rose et al. [45] | Beta |
| Colonoscopy | 1.00 | 0.85–1.00 | Rose et al. [45] | Beta |
| Metastasectomy mortality | 0.010 | 0.003–0.015 | Ercolani et al. [46] | Beta |
| Undetected to symptomatic, months | 4 | 1–28 | Ackland et al. [47] | Gamma |
| Asymptomatic metastasectomy rate | 0.23 | NA | Lee-Ying et al. [15] | NA |
| Symptomatic metastasectomy rate | 0.05 | NA | Lee-Ying et al. [15] | NA |
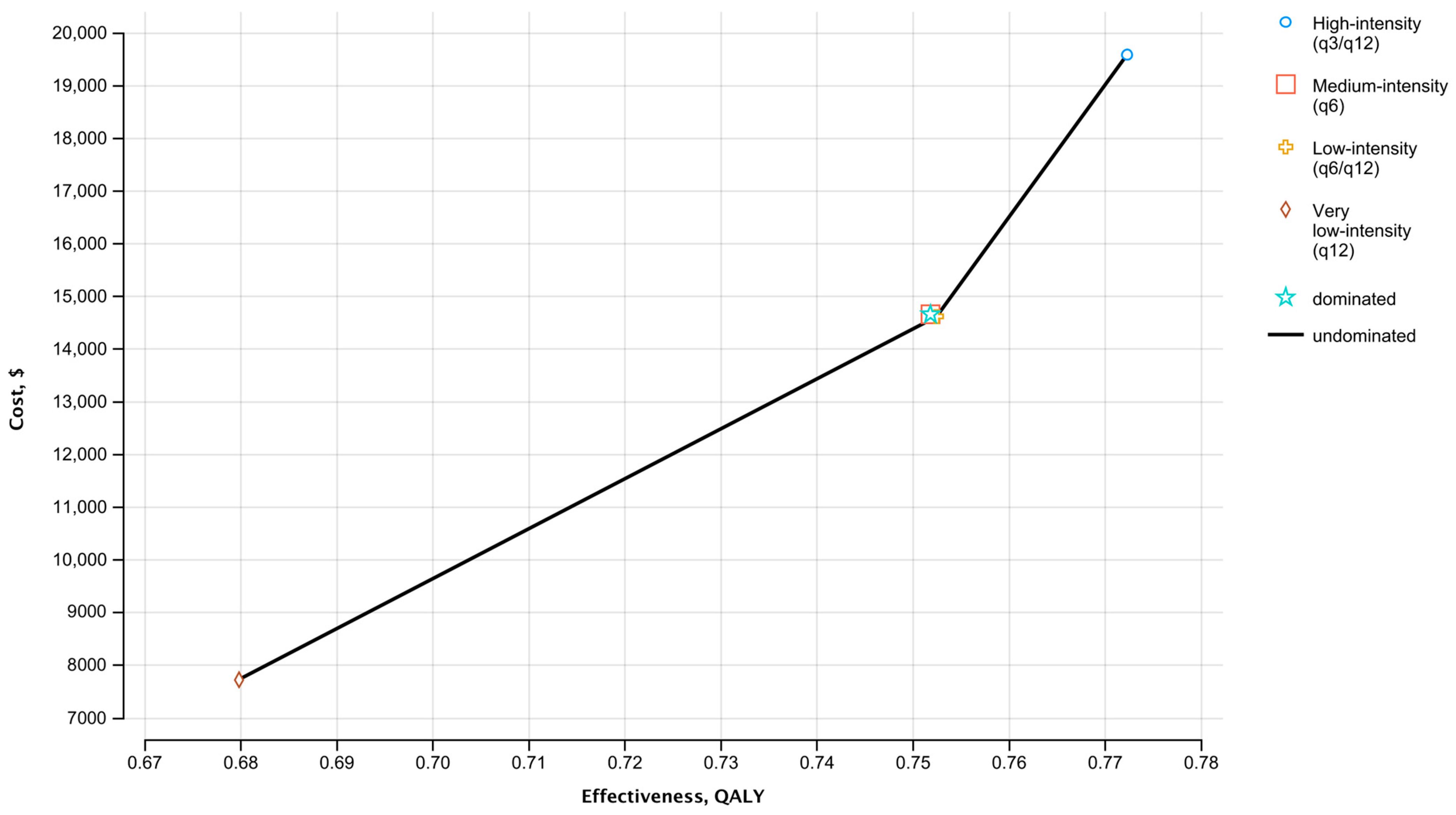
| Surveillance Strategy | Cost, CAD | Incremental Cost, CAD | Effectiveness | Incremental Effectiveness | Incremental Cost-Effectiveness Ratio | |||
|---|---|---|---|---|---|---|---|---|
| QALY | LY | QALY Gained | LY Gained | CAD/QALY Gained | CAD/LY Gained | |||
| q12 | 7707 | - | 0.6797 | 0.8952 | - | - | ||
| q6/q12 | 14,175 | 6469 | 0.7453 | 0.9769 | 0.0656 | 0.0816 | 98,592 | 79,236 |
| q6 | 14,191 | 16 | 0.7449 | 0.9763 | −0.0004 | −0.0006 | Extended dominated † | Extended dominated † |
| q3/q12 | 19,890 | 5699 | 0.7692 | 1.0125 | 0.0243 | 0.0362 | 234,132 | 157,584 |
| Variable | Incremental Cost-Effectiveness Ratio, CAD/QALY Gained | ||
|---|---|---|---|
| q6/q12 Strategy vs. q12 Strategy | q6 Strategy vs. q12 Strategy | q3/q12 Strategy vs. q12 Strategy | |
| Variation in time to symptomatic recurrence, months | |||
| 1 | 78,436 | Abs. dominated † | 92,246 |
| 28 | 527,497 | Abs. dominated † | 396,203 |
| Variation in the probability of repeat curative resection | |||
| Decreased by 25% | 112,263 | Abs. dominated † | 238,812 |
| Increased by 25% | 88,414 | Abs. dominated † | 187,704 |
Disclaimer/Publisher’s Note: The statements, opinions and data contained in all publications are solely those of the individual author(s) and contributor(s) and not of MDPI and/or the editor(s). MDPI and/or the editor(s) disclaim responsibility for any injury to people or property resulting from any ideas, methods, instructions or products referred to in the content. |
© 2023 by the authors. Licensee MDPI, Basel, Switzerland. This article is an open access article distributed under the terms and conditions of the Creative Commons Attribution (CC BY) license (https://creativecommons.org/licenses/by/4.0/).
Share and Cite
Ding, P.Q.; Au, F.; Cheung, W.Y.; Heitman, S.J.; Lee-Ying, R. Cost-Effectiveness of Surveillance after Metastasectomy of Stage IV Colorectal Cancer. Cancers 2023, 15, 4121. https://doi.org/10.3390/cancers15164121
Ding PQ, Au F, Cheung WY, Heitman SJ, Lee-Ying R. Cost-Effectiveness of Surveillance after Metastasectomy of Stage IV Colorectal Cancer. Cancers. 2023; 15(16):4121. https://doi.org/10.3390/cancers15164121
Chicago/Turabian StyleDing, Philip Q., Flora Au, Winson Y. Cheung, Steven J. Heitman, and Richard Lee-Ying. 2023. "Cost-Effectiveness of Surveillance after Metastasectomy of Stage IV Colorectal Cancer" Cancers 15, no. 16: 4121. https://doi.org/10.3390/cancers15164121
APA StyleDing, P. Q., Au, F., Cheung, W. Y., Heitman, S. J., & Lee-Ying, R. (2023). Cost-Effectiveness of Surveillance after Metastasectomy of Stage IV Colorectal Cancer. Cancers, 15(16), 4121. https://doi.org/10.3390/cancers15164121

