Function in Cancer Patients: Disease and Clinical Determinants
Abstract
Simple Summary
Abstract
1. Introduction
2. Methods
2.1. PROMIS Cancer Function Brief 3D Profile
2.2. Participants
2.3. Statistical Analysis
3. Results
3.1. Patient Demographics and Cancer Type
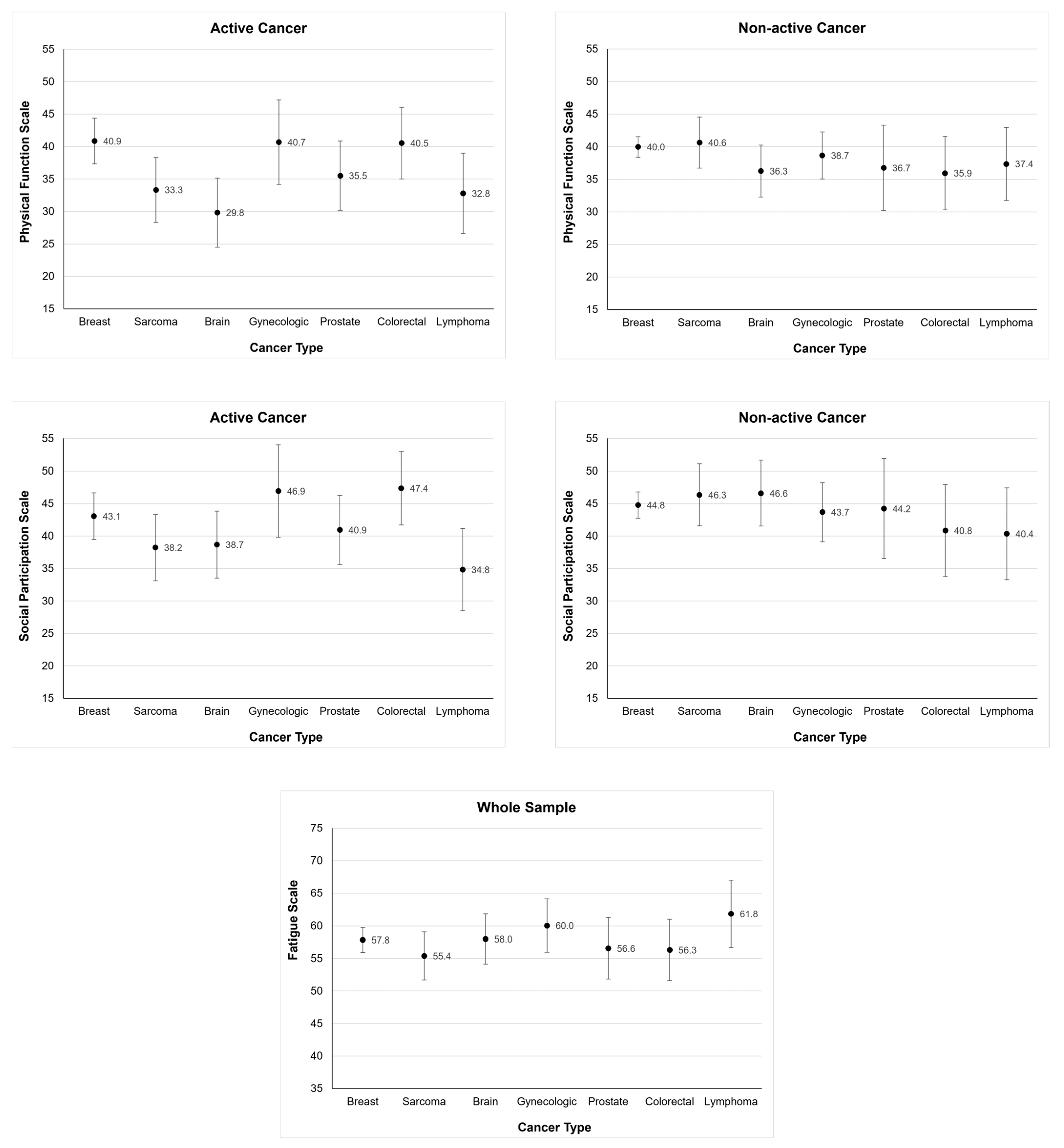
3.2. Physical Function
3.3. Social Participation
3.4. Fatigue
4. Discussion
5. Limitations
6. Conclusions
Author Contributions
Funding
Institutional Review Board Statement
Informed Consent Statement
Data Availability Statement
Acknowledgments
Conflicts of Interest
Appendix A
| Cancer Type | LS Mean | 95% Confidence Interval | |
|---|---|---|---|
| Lower CI | Upper CI | ||
| Breast | 40.9 | 37.3 | 44.4 |
| Sarcoma | 33.3 | 28.3 | 38.3 |
| Brain | 29.8 | 24.5 | 35.1 |
| Gynecologic | 40.7 | 34.2 | 47.2 |
| Prostate | 35.5 | 30.2 | 40.9 |
| Colorectal | 40.5 | 35.0 | 46.0 |
| Lymphoma, no alloBMT | 32.8 | 26.6 | 39.0 |
| Colorectal | Sarcoma | Brain | Prostate | Gynecological | Lymphoma | Breast | |
|---|---|---|---|---|---|---|---|
| Colorectal | 0.0323 | 0.0027 | 0.1492 | 0.9704 | 0.0569 | 0.9047 | |
| Sarcoma | 0.2800 | 0.5164 | 0.0422 | 0.8932 | 0.0016 | ||
| Brain | 0.0952 | 0.0044 | 0.4541 | <0.0001 | |||
| Prostate | 0.1772 | 0.4843 | 0.0433 | ||||
| Gynecological | 0.0757 | 0.9518 | |||||
| Lymphoma, no alloBMT | 0.0196 | ||||||
| Breast Cancer | |||||||
| Cancer Type | LS Mean | 95% Confidence Interval | |
|---|---|---|---|
| Lower CI | Upper CI | ||
| Breast | 40.0 | 38.4 | 41.6 |
| Sarcoma | 40.6 | 36.7 | 44.5 |
| Brain | 36.3 | 32.3 | 40.3 |
| Gynecologic | 38.7 | 35.1 | 42.3 |
| Prostate | 36.7 | 30.2 | 43.3 |
| Colorectal | 35.9 | 30.3 | 41.6 |
| Lymphoma, no alloBMT | 37.4 | 31.7 | 43.0 |
| Cancer Type | LS Mean | 95% Confidence Interval | |
|---|---|---|---|
| Lower CI | Upper CI | ||
| Breast | 43.1 | 39.5 | 46.7 |
| Sarcoma | 38.2 | 33.1 | 43.3 |
| Brain | 38.7 | 33.5 | 43.8 |
| Gynecologic | 46.9 | 39.8 | 54.0 |
| Prostate | 40.9 | 35.6 | 46.3 |
| Colorectal | 47.4 | 41.7 | 53.0 |
| Lymphoma, no alloBMT | 34.8 | 28.5 | 41.2 |
| Colorectal | Sarcoma | Brain | Prostate | Gynecological | Lymphoma | Breast | |
|---|---|---|---|---|---|---|---|
| Colorectal | 0.0083 | 0.0130 | 0.0684 | 0.9202 | 0.0029 | 0.1283 | |
| Sarcoma | 0.8827 | 0.4219 | 0.0266 | 0.3986 | 0.0444 | ||
| Brain | 0.4944 | 0.0356 | 0.3317 | 0.0756 | |||
| Prostate | 0.1390 | 0.1223 | 0.4145 | ||||
| Gynecological | 0.0106 | 0.2473 | |||||
| Lymphoma | 0.0196 | ||||||
| Breast | |||||||
| Cancer Type | LS Mean | 95% Confidence Interval | |
|---|---|---|---|
| Lower CI | Upper CI | ||
| Breast | 44.8 | 42.7 | 46.8 |
| Sarcoma | 46.3 | 41.6 | 51.1 |
| Brain | 46.6 | 41.5 | 51.7 |
| Gynecologic | 43.7 | 39.1 | 48.2 |
| Prostate | 44.2 | 36.6 | 51.9 |
| Colorectal | 40.8 | 33.7 | 47.9 |
| Lymphoma, no alloBMT | 40.4 | 33.3 | 47.4 |
| Cancer Type | LS Mean | 95% Confidence Interval | |
|---|---|---|---|
| Lower CI | Upper CI | ||
| Breast | 57.8 | 55.9 | 59.8 |
| Sarcoma | 55.4 | 51.7 | 59.1 |
| Brain | 58.0 | 54.1 | 61.8 |
| Gynecologic | 60.0 | 56.0 | 64.1 |
| Prostate | 56.6 | 51.9 | 61.3 |
| Colorectal | 56.3 | 51.6 | 61.0 |
| Lymphoma, no alloBMT | 61.8 | 56.7 | 67.0 |
References
- NIH National Cancer Institute, Cancer Stat Facts: Cancer of Any Site. 7 May 2022. Available online: https://seer.cancer.gov/statfacts/html/all.html (accessed on 29 June 2023).
- DiSipio, T.; Rye, S.; Newman, B.; Hayes, S. Incidence of unilateral arm lymphoedema after breast cancer: A systematic review and meta-analysis. Lancet Oncol. 2013, 14, 500–515. [Google Scholar] [CrossRef] [PubMed]
- Pezdirec, M.; Strojan, P.; Boltezar, I.H. Swallowing disorders after treatment for head and neck cancer. Radiol. Oncol. 2019, 53, 225–230. [Google Scholar] [CrossRef]
- Neo, J.; Fettes, L.; Gao, W.; Higginson, I.J.; Maddocks, M. Disability in activities of daily living among adults with cancer: A systematic review and meta-analysis. Cancer Treat. Rev. 2017, 61, 94–106. [Google Scholar] [CrossRef] [PubMed]
- Gerber, L.H. Cancer-Related Fatigue: Persistent, Pervasive, and Problematic. Phys. Med. Rehabil. Clin. N. Am. 2017, 28, 65–88. [Google Scholar] [CrossRef]
- Peters, E.; Mendoza Schulz, L.; Reuss-Borst, M. Quality of life after cancer-How the extent of impairment is influenced by patient characteristics. BMC Cancer 2016, 16, 787. [Google Scholar] [CrossRef] [PubMed]
- Brinkman, T.M.; Recklitis, C.J.; Michel, G.; Grootenhuis, M.A.; Klosky, J.L. Psychological Symptoms, Social Outcomes, Socioeconomic Attainment, and Health Behaviors Among Survivors of Childhood Cancer: Current State of the Literature. J. Clin. Oncol. 2018, 36, 2190–2197. [Google Scholar] [CrossRef]
- Gallicchio, L.; Tonorezos, E.; de Moor, J.S.; Elena, J.; Farrell, M.; Green, P.; Mitchell, S.A.; Mollica, M.A.; Perna, F.; Saiontz, N.G.; et al. Evidence Gaps in Cancer Survivorship Care: A Report From the 2019 National Cancer Institute Cancer Survivorship Workshop. J. Natl. Cancer Inst. 2021, 113, 1136–1142. [Google Scholar] [CrossRef]
- Basch, E.; Deal, A.M.; Dueck, A.C.; Scher, H.I.; Kris, M.G.; Hudis, C.; Schrag, D. Overall Survival Results of a Trial Assessing Patient-Reported Outcomes for Symptom Monitoring During Routine Cancer Treatment. JAMA 2017, 318, 197–198. [Google Scholar] [CrossRef]
- Hough, S.; McDevitt, R.; Nachar, V.R.; Kraft, S.; Brown, A.; Christen, C.; Frame, D.; Smerage, J.B. Chemotherapy Remote Care Monitoring Program: Integration of SMS Text Patient-Reported Outcomes in the Electronic Health Record and Pharmacist Intervention for Chemotherapy-Induced Nausea and Vomiting. JCO Oncol. Pract. 2021, 17, e1303–e1310. [Google Scholar] [CrossRef]
- Smith, S.R.; Vargo, M.; Zucker, D.; Shahpar, S.; Gerber, L.; Henderson, M.; Jay, G.; Lee, M.; Cheville, A. Psychometric Characteristics and Validity of the PROMIS Cancer Function Brief 3D Profile. Arch. Phys. Med. Rehabil. 2022, 103, S146–S161. [Google Scholar] [CrossRef]
- Smith, S.R.; Vargo, M.; Zucker, D.S.; Henderson, M.; Shahpar, S.; Wisotzky, E.M.; Custodio, C.; Basford, J.; Jay, G.; Gerber, L.; et al. The Cancer Rehabilitation Medicine Metrics Consortium: A Path to Enhanced, Multi-Site Outcome Assessment to Enhance Care and Demonstrate Value. Front. Oncol. 2020, 10, 625700. [Google Scholar] [CrossRef]
- Smith, S.R.; Vargo, M.; Zucker, D.S.; Shahpar, S.; Gerber, L.H.; Henderson, M.; Jay, G.; Cheville, A.L. Responsiveness and interpretation of the PROMIS Cancer Function Brief 3D Profile. Cancer 2022, 128, 3217–3223. [Google Scholar] [CrossRef]
- Armstrong, T.S.; Vera-Bolanos, E.; Acquaye, A.A.; Gilbert, M.R.; Ladha, H.; Mendoza, T. The symptom burden of primary brain tumors: Evidence for a core set of tumor- and treatment-related symptoms. Neuro. Oncol. 2016, 18, 252–260. [Google Scholar] [CrossRef] [PubMed]
- U.S. Department of Health and Human Services. (n.d.). Cancer of the Brain and other Nervous System—Cancer Stat Facts. SEER. Available online: https://seer.cancer.gov/statfacts/html/brain.html (accessed on 29 June 2023).
- Koeller, K.K.; Shih, R.Y. Extranodal Lymphoma of the Central Nervous System and Spine. Radiol. Clin. N. Am. 2016, 54, 649–671. [Google Scholar] [CrossRef] [PubMed]
- Deutsch, M.B.; Deangelis, L.M. Chapter 28—Neurologic Complications of Chemotherapy and Radiation Therapy. In Aminoff’s Neurology and General Medicine, 5th ed.; Aminoff, M.J., Josephson, S.A., Eds.; Academic Press: Boston, MA, USA, 2014; pp. 591–609. [Google Scholar] [CrossRef]
- Weaver, K.E.; Forsythe, L.P.; Reeve, B.B.; Alfano, C.M.; Rodriguez, J.L.; Sabatino, S.A.; Hawkins, N.A.; Rowland, J.H. Mental and physical health-related quality of life among U.S. cancer survivors: Population estimates from the 2010 National Health Interview Survey. Cancer Epidemiol. Biomarkers Prev. 2012, 21, 2108–2117. [Google Scholar] [CrossRef] [PubMed]
- Viscuse, P.; Yost, K.J.; Jenkins, S.; Lackore, K.; Habermann, T.; Thanarajasingam, G.; Thompson, C. Impact of lymphoma survivorship clinic visit on patient-centered outcomes. J. Cancer Surviv. 2019, 13, 344–352. [Google Scholar] [CrossRef]
- Haghighat, S.; Sussman, D.A.; Deshpande, A. US Preventive Services Task Force Recommendation Statement on Screening for Colorectal Cancer. JAMA 2021, 326, 1328. [Google Scholar] [CrossRef]
- LeBlanc, T.W.; Smith, J.M.; Currow, D.C. Symptom burden of haematological malignancies as death approaches in a community palliative care service: A retrospective cohort study of a consecutive case series. Lancet Haematol. 2015, 2, e334–e338. [Google Scholar] [CrossRef]
- Wang, Y.W.; Ou, Y.C.; Lin, H.; Huang, K.S.; Fu, H.C.; Wu, C.H.; Chen, Y.Y.; Huang, S.W.; Tu, H.P.; Tsai, C.C. Characteristics of Cancer-Related Fatigue and an Efficient Model to Identify Patients with Gynecological Cancer Seeking Fatigue-Related Management. Cancers 2023, 15, 2181. [Google Scholar] [CrossRef]
- Mandic, M.; Safizadeh, F.; Niedermaier, T.; Hoffmeister, M.; Brenner, H. Association of Overweight, Obesity, and Recent Weight Loss With Colorectal Cancer Risk. JAMA Netw. Open 2023, 6, e239556. [Google Scholar] [CrossRef]
- Naaman, S.C.; Shen, S.; Zeytinoglu, M.; Iyengar, N.M. Obesity and Breast Cancer Risk: The Oncogenic Implications of Metabolic Dysregulation. J. Clin. Endocrinol. Metab. 2022, 107, 2154–2166. [Google Scholar] [CrossRef]
- Pataky, Z.; Armand, S.; Muller-Pinget, S.; Golay, A.; Allet, L. Effects of obesity on functional capacity. Obesity 2014, 22, 56–62. [Google Scholar] [CrossRef]
- Wee, C.C.; Huskey, K.W.; Ngo, L.H.; Fowler-Brown, A.; Leveille, S.G.; Mittlemen, M.A.; McCarthy, E.P. Obesity, race, and risk for death or functional decline among Medicare beneficiaries: A cohort study. Ann. Intern. Med. 2011, 154, 645–655. [Google Scholar] [CrossRef] [PubMed]
- Tavan, H.; Azadi, A.; Veisani, Y. Return to Work in Cancer Patients: A Systematic Review and Meta-analysis. Indian J. Palliat. Care 2019, 25, 147–152. [Google Scholar] [CrossRef] [PubMed]
- de Boer, A.G.; Taskila, T.; Ojajarvi, A.; van Dijk, F.J.; Verbeek, J.H. Cancer survivors and unemployment: A meta-analysis and meta-regression. JAMA 2009, 301, 753–762. [Google Scholar] [CrossRef]
- Girgis, A.; Lambert, S.; Johnson, C.; Waller, A.; Currow, D. Physical, psychosocial, relationship, and economic burden of caring for people with cancer: A review. J. Oncol. Pract. 2013, 9, 197–202. [Google Scholar] [CrossRef] [PubMed]
- Jalili, S.; Ghasemi Shayan, R. A Comprehensive Evaluation of Health-Related Life Quality Assessment Through Head and Neck, Prostate, Breast, Lung, and Skin Cancer in Adults. Front. Public Health 2022, 10, 789456. [Google Scholar] [CrossRef]
- Silver, J.K.; Baima, J.; Mayer, R.S. Impairment-driven cancer rehabilitation: An essential component of quality care and survivorship. CA Cancer J. Clin. 2013, 63, 295–317. [Google Scholar] [CrossRef]
- Stoyles, N.; Cheville, A.; Zucker, D.; Richards, B.; Vargo, M.; Gerber, L.; Shahpar, S.; Henderson, M.; Jay, G.; Smith, S.R. Risk factors for reduced function in women with a history of breast cancer. Breast Cancer Res. Treat. 2023, 197, 613–621. [Google Scholar] [CrossRef]

| Characteristic | Overall (n = 332) | Breast (n = 209) | Sarcoma (n = 28) | Brain (n = 26) | Gynecologic (n = 23) | Prostate (n = 19) | Colorectal (n = 15) | Lymphoma (n = 12) | p-Value |
|---|---|---|---|---|---|---|---|---|---|
| Age (yrs) | <0.001 | ||||||||
| Mean (SD) | 56.4 (13.4) | 56.1 (11.6) | 47.9 (15.3) | 50.2 (17.4) | 58.3 (11.6) | 73.8 (8.6) | 59.4 (12.5) | 60.6 (15.1) | |
| BMI, n = 330 | 0.827 | ||||||||
| Mean (SD) | 3.3 (1.2) | 3.3 (1.2) | 3.2 (1.3) | 3.2 (1.3) | 3.1 (1.2) | 3.5 (1.3) | 3.7 (1.5) | 3.4 (1.1) | |
| BMI, n (%) | |||||||||
| <18.5 | 2 (1) | 1 (0) | 0 (0) | 0 (0) | 1 (4) | 0 (0) | 0 (0) | 0 (0) | |
| 18.5–25 | 104 (32) | 67 (32) | 10 (36) | 10 (38) | 6 (26) | 4 (21) | 4 (27) | 3 (25) | |
| >23–30 | 104 (32) | 59 (29) | 10 (36) | 9 (35) | 9 (39) | 9 (47) | 5 (33) | 3 (25) | |
| >30–35 | 66 (20) | 48 (23) | 4 (14) | 3 (12) | 4 (17) | 2 (11) | 1 (7) | 4 (33) | |
| >35–40 | 27 (8) | 18 (9) | 1 (4) | 1 (4) | 2 (9) | 1 (5) | 2 (13) | 2 (17) | |
| >40–45 | 27 (8) | 14 (7) | 3 (11) | 3 (12) | 1 (4) | 3 (16) | 3 (20) | 0 (0) | |
| Gender *, n (%) | 0.179 | ||||||||
| Male | 60 (18) | 3 (1) | 15 (54) | 11 (42) | 0 (0) | 19 (100) | 4 (27) | 8 (67) | |
| Female | 272 (82) | 206 (99) | 13 (46) | 15 (58) | 23 (100) | 0 (0) | 11 (73) | 4 (33) | |
| Active Disease, n (%) | 0.004 | ||||||||
| Non-active | 209 (63) | 146 (70) | 15 (54) | 14 (54) | 16 (70) | 6 (32) | 6 (40) | 6 (50) | |
| Active | 123 (37) | 63 (30) | 13 (46) | 12 (46) | 7 (30) | 13 (68) | 9 (60) | 6 (50) | |
| Neurological impairment, n (%) | 0.170 | ||||||||
| None/Minimal | 298 (90) | 190 (91) | 26 (93) | 23 (88) | 21 (91) | 18 (95) | 12 (80) | 8 (67) | |
| Moderate/Severe | 34 (10) | 19 (9) | 2 (7) | 3 (12) | 2 (9) | 1 (5) | 3 (20) | 4 (33) | |
| Musculoskeletal impairment, n (%) | 0.241 | ||||||||
| None/Minimal | 224 (67) | 137 (66) | 21 (75) | 23 (88) | 14 (61) | 12 (63) | 9 (60) | 8 (67) | |
| Moderate/Severe | 108 (33) | 72 (34) | 7 (25) | 3 (12) | 9 (39) | 7 (37) | 6 (40) | 4 (33) |
| Physical Function | Social Participation | Fatigue | ||||||||
|---|---|---|---|---|---|---|---|---|---|---|
| Active (n = 118) | Non-Active (n = 201) | Active (n = 122) | Non-Active (n = 203) | Whole Sample (n = 327) | ||||||
| Variable | Estimates (95% CI) | p Value | Estimates (95% CI) | p Value | Estimates (95% CI) | p Value | Estimates (95% CI) | p Value | Estimates (95% CI) | p Value |
| Intercept | 47.41 (39.71, 55.10) | 47.37 (42.23, 52.51) | 45.40 (37.84, 52.97) | 46.99 (40.53, 53.45) | 52.51 (47.30, 57.72) | |||||
| Cancer type (Ref: Breast) | Overall Effect | <0.001 | 0.340 | 0.008 | 0.708 | 0.379 | ||||
| Gynecologic | −0.18 (−6.18, 5.81) | 0.952 | −1.30 (−4.93, 2.32) | 0.479 | 3.87 (−2.72, 10.46) | 0.247 | −1.10 (−5.66, 3.46) | 0.636 | 2.19 (−1.78, 6.17) | 0.279 |
| Colorectal | −0.33 (−5.76, 5.10) | 0.905 | −4.03 (−9.79, 1.72) | 0.168 | 4.29 (−1.26, 9.84) | 0.128 | −3.94 (−11.19, 3.30) | 0.284 | −1.55 (−6.35, 3.26) | 0.526 |
| Lymphoma, no alloBMT | −8.08 (−14.83, −1.32) | 0.020 | −2.61 (−8.35, 3.12) | 0.370 | −8.25 (−15.15, −1.35) | 0.020 | −4.42 (−11.64, 2.81) | 0.229 | 3.99 (−1.36, 9.34) | 0.144 |
| Brain | −11.05 (−16.18, −5.92) | <0.001 | −3.69 (−7.74, 0.35) | 0.073 | −4.39 (−9.25, 0.46) | 0.076 | 1.82 (−3.34, 6.98) | 0.488 | 0.13 (−3.68, 3.94) | 0.946 |
| Sarcoma | −7.55 (−12.18, −2.92) | 0.002 | 0.66 (−3.24, 4.57) | 0.738 | −4.86 (−9.59, −0.12) | 0.044 | 1.56 (−3.19, 6.32) | 0.517 | −2.45 (−6.10, 1.19) | 0.186 |
| Prostate | −5.35 (−10.54, −0.16) | 0.043 | −3.22 (−9.68, 3.24) | 0.326 | −2.13 (−7.27, 3.02) | 0.414 | −0.55 (−8.09, 6.99) | 0.885 | −1.29 (−5.92, 3.35) | 0.586 |
| Age | −0.02 (−0.14, 0.09) | 0.710 | 0.05 (−0.03, 0.13) | 0.248 | 0.01 (−0.10, 0.13) | 0.848 | 0.12 (0.02, 0.23) | 0.024 | −0.09 (−0.18, −0.01) | 0.027 |
| BMI | −1.19 (−2.38, −0.01) | 0.047 | −1.68 (−2.47, −0.89) | <0.001 | −0.35 (−1.55, 0.84) | 0.557 | −1.62 (−2.62, −0.62) | 0.002 | 1.68 (0.88, 2.48) | <0.001 |
| Neurological impairment | −1.72 (−8.05, 4.61) | 0.591 | −4.76 (−7.72, −1.81) | 0.002 | −1.60 (−8.06, 4.85) | 0.624 | −4.64 (−8.41, −0.88) | 0.016 | 3.27 (−0.15, 6.69) | 0.061 |
| Musculoskeletal impairment | −1.15 (−4.43, 2.12) | 0.487 | −4.36 (−6.62, −2.11) | <0.001 | −2.06 (−5.35, 1.22) | 0.215 | −2.58 (−5.39, 0.23) | 0.072 | 2.83 (0.56, 5.09) | 0.015 |
| Active cancer(Ref: Non-active) | ------- | ------- | ------- | ------- | 4.14 (2.02, 6.26) | <0.001 | ||||
Disclaimer/Publisher’s Note: The statements, opinions and data contained in all publications are solely those of the individual author(s) and contributor(s) and not of MDPI and/or the editor(s). MDPI and/or the editor(s) disclaim responsibility for any injury to people or property resulting from any ideas, methods, instructions or products referred to in the content. |
© 2023 by the authors. Licensee MDPI, Basel, Switzerland. This article is an open access article distributed under the terms and conditions of the Creative Commons Attribution (CC BY) license (https://creativecommons.org/licenses/by/4.0/).
Share and Cite
Qin, E.S.; Richards, B.; Smith, S.R. Function in Cancer Patients: Disease and Clinical Determinants. Cancers 2023, 15, 3515. https://doi.org/10.3390/cancers15133515
Qin ES, Richards B, Smith SR. Function in Cancer Patients: Disease and Clinical Determinants. Cancers. 2023; 15(13):3515. https://doi.org/10.3390/cancers15133515
Chicago/Turabian StyleQin, Evelyn S., Blair Richards, and Sean R. Smith. 2023. "Function in Cancer Patients: Disease and Clinical Determinants" Cancers 15, no. 13: 3515. https://doi.org/10.3390/cancers15133515
APA StyleQin, E. S., Richards, B., & Smith, S. R. (2023). Function in Cancer Patients: Disease and Clinical Determinants. Cancers, 15(13), 3515. https://doi.org/10.3390/cancers15133515

