Impact of COVID-19 on 1-Year Survival Outcomes in Hepatocellular Carcinoma: A Multicenter Cohort Study
Abstract
Simple Summary
Abstract
1. Introduction
2. Methods
Statistical Analysis
3. Results
3.1. Lockdown Resulted in Significant Delay in Treatment
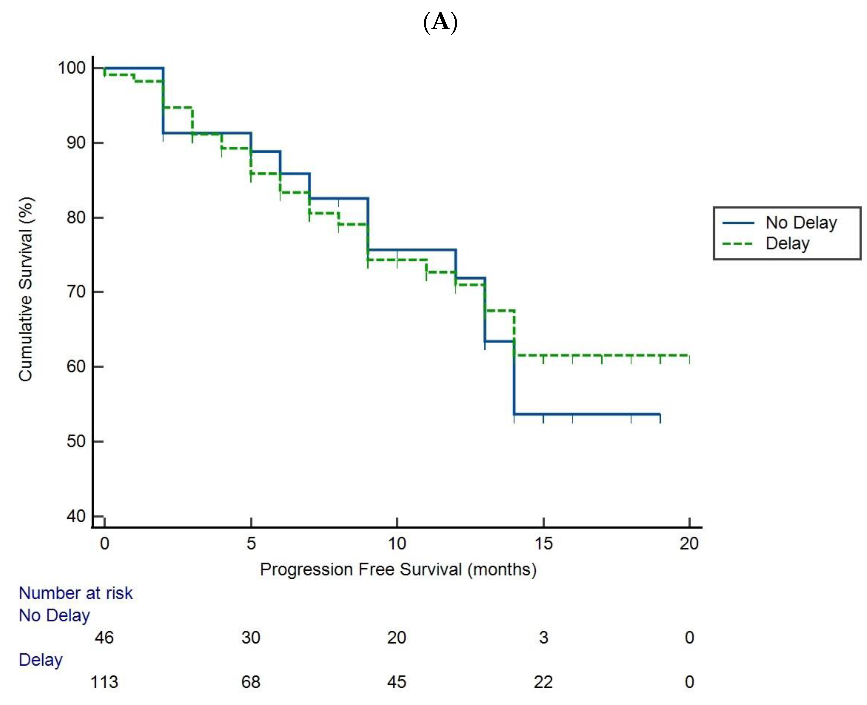
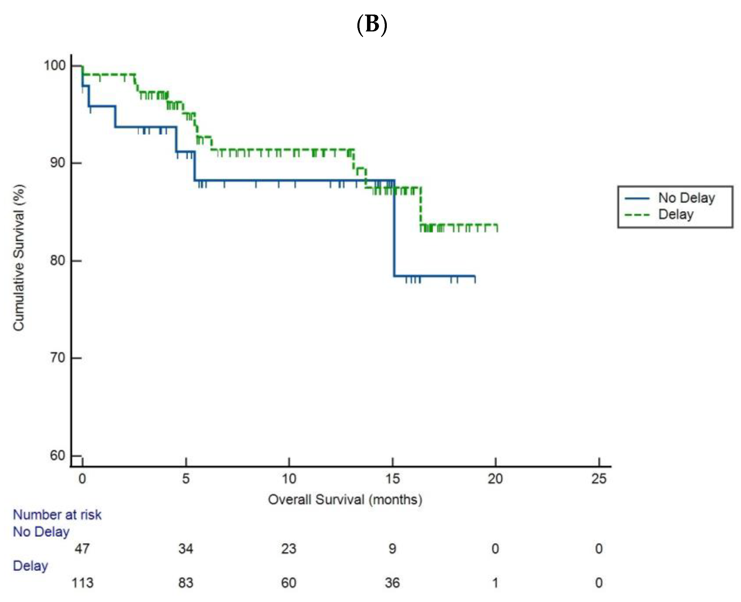
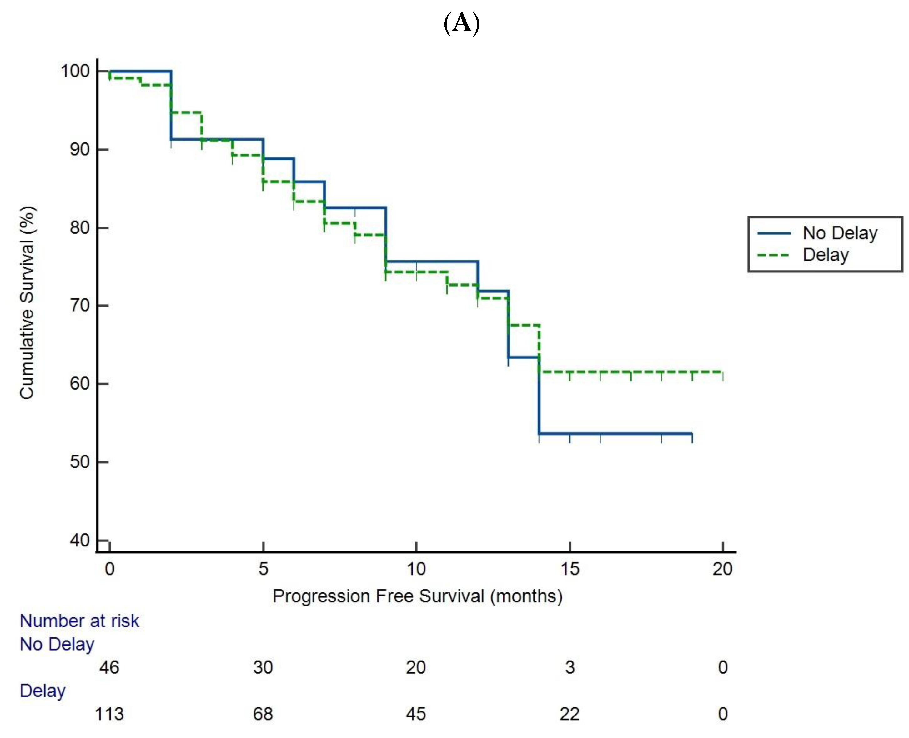
3.2. Delay Had No Impact on Short-Term Mortality
4. Discussion
5. Conclusions
Author Contributions
Funding
Institutional Review Board Statement
Informed Consent Statement
Data Availability Statement
Acknowledgments
Conflicts of Interest
References
- Richards, M.; Anderson, M.; Carter, P.; Ebert, B.L.; Mossialos, E. The impact of the COVID-19 pandemic on cancer care. Nat. Cancer 2020, 1, 565–567. [Google Scholar] [CrossRef]
- Lai, A.G.; Pasea, L.; Banerjee, A.; Hall, G.; Denaxas, S.; Chang, W.H.; Katsoulis, M.; Williams, B.; Pillay, D.; Noursadeghi, M.; et al. Estimated impact of the COVID-19 pandemic on cancer services and excess 1-year mortality in people with cancer and multimorbidity: Near real-time data on cancer care, cancer deaths and a population-based cohort study. BMJ Open 2020, 10, e043828. [Google Scholar] [CrossRef] [PubMed]
- Ferlay, J.; Colombet, M.; Soerjomataram, I.; Mathers, C.; Parkin, D.M.; Pineros, M.; Znaor, A.; Bray, F. Estimating the global cancer incidence and mortality in 2018: GLOBOCAN sources and methods. Int. J. Cancer 2019, 144, 1941–1953. [Google Scholar] [CrossRef] [PubMed]
- European Association for the Study of the Liver. EASL Clinical Practice Guidelines: Management of hepatocellular carcinoma. J. Hepatol. 2018, 69, 182–236. [Google Scholar] [CrossRef] [PubMed]
- Hanna, T.P.; King, W.D.; Thibodeau, S.; Jalink, M.; Paulin, G.A.; Harvey-Jones, E.; O’Sullivan, D.E.; Booth, C.M.; Sullivan, R.; Aggarwal, A. Mortality due to cancer treatment delay: Systematic review and meta-analysis. BMJ 2020, 371, m4087. [Google Scholar] [CrossRef]
- Tang, L.V.; Hu, Y. Poor clinical outcomes for patients with cancer during the COVID-19 pandemic. Lancet Oncol. 2020, 21, 862–864. [Google Scholar] [CrossRef]
- Meyer, T.; Chan, S.; Park, J. Management of HCC during COVID-19: ILCA Guidance. Available online: https://ilca-online.org/management-of-hcc-during-covid-19-ilca-guidance/ (accessed on 5 May 2023).
- Pinato, D.J.; Lee, A.J.X.; Biello, F.; Segui, E.; Aguilar-Company, J.; Carbo, A.; Bruna, R.; Bower, M.; Rizzo, G.; Benafif, S.; et al. Presenting Features and Early Mortality from SARS-CoV-2 Infection in Cancer Patients during the Initial Stage of the COVID-19 Pandemic in Europe. Cancers 2020, 12, 1841. [Google Scholar] [CrossRef]
- Marjot, T.; Moon, A.M.; Cook, J.A.; Abd-Elsalam, S.; Aloman, C.; Armstrong, M.J.; Pose, E.; Brenner, E.J.; Cargill, T.; Catana, M.A.; et al. Outcomes following SARS-CoV-2 infection in patients with chronic liver disease: An international registry study. J. Hepatol. 2021, 74, 567–577. [Google Scholar] [CrossRef]
- Iavarone, M.; D’Ambrosio, R.; Soria, A.; Triolo, M.; Pugliese, N.; Del Poggio, P.; Perricone, G.; Massironi, S.; Spinetti, A.; Buscarini, E.; et al. High rates of 30-day mortality in patients with cirrhosis and COVID-19. J. Hepatol. 2020, 73, 1063–1071. [Google Scholar] [CrossRef]
- NHS England. National Cancer Waiting Times Monitoring Dataset Guidance Version 11.0. Available online: https://www.england.nhs.uk/statistics/wp-content/uploads/sites/2/2020/09/national-cancer-waiting-times-monitoring-dataset-guidance-v11-sep2020.pdf (accessed on 31 May 2022).
- NHS England. Waiting Times for Suspected and Diagnosed Cancer Patients. 2020–21 Annual Report; NHS England: London, UK, 2021; pp. 1–23.
- Munoz-Martinez, S.; Sapena, V.; Forner, A.; Nault, J.C.; Sapisochin, G.; Rimassa, L.; Sangro, B.; Bruix, J.; Sanduzzi-Zamparelli, M.; Holowko, W.; et al. Assessing the impact of COVID-19 on liver cancer management (CERO-19). JHEP Rep. 2021, 3, 100260. [Google Scholar] [CrossRef]
- Boettler, T.; Marjot, T.; Newsome, P.N.; Mondelli, M.U.; Maticic, M.; Cordero, E.; Jalan, R.; Moreau, R.; Cornberg, M.; Berg, T. Impact of COVID-19 on the care of patients with liver disease: EASL-ESCMID position paper after 6 months of the pandemic. JHEP Rep. 2020, 2, 100169. [Google Scholar] [CrossRef]
- Sharma, R.; Pinato, D.J. Management of Hepatocellular Cancer in the time of SARS-CoV-2. Liver Int. 2020, 40, 1823–1825. [Google Scholar] [CrossRef]
- Brandi, N.; Spinelli, D.; Granito, A.; Tovoli, F.; Piscaglia, F.; Golfieri, R.; Renzulli, M. COVID-19: Has the Liver Been Spared? Int. J. Mol. Sci. 2023, 24, 1091. [Google Scholar] [CrossRef]
- Meyer, T.; Chan, S.; Park, J.-W. ILCA Guidance for Management of HCC during COVID-19 Pandemic. Available online: https://ilca-online.org/wp-content/uploads/2020/06/ilca-covid-19-.pdf (accessed on 3 June 2022).
- Geh, D.; Watson, R.; Sen, G.; French, J.J.; Hammond, J.; Turner, P.; Hoare, T.; Anderson, K.; McNeil, M.; McPherson, S.; et al. COVID-19 and liver cancer: Lost patients and larger tumours. BMJ Open Gastroenterol. 2022, 9, e000794. [Google Scholar] [CrossRef]
- Kuzuu, K.; Misawa, N.; Ashikari, K.; Kessoku, T.; Kato, S.; Hosono, K.; Yoneda, M.; Nonaka, T.; Matsushima, S.; Komatsu, T.; et al. Gastrointestinal Cancer Stage at Diagnosis Before and During the COVID-19 Pandemic in Japan. JAMA Netw. Open 2021, 4, e2126334. [Google Scholar] [CrossRef]
- Biagi, J.J.; Raphael, M.J.; Mackillop, W.J.; Kong, W.; King, W.D.; Booth, C.M. Association between time to initiation of adjuvant chemotherapy and survival in colorectal cancer: A systematic review and meta-analysis. JAMA 2011, 305, 2335–2342. [Google Scholar] [CrossRef]
- Chen, Z.; King, W.; Pearcey, R.; Kerba, M.; Mackillop, W.J. The relationship between waiting time for radiotherapy and clinical outcomes: A systematic review of the literature. Radiother. Oncol. J. Eur. Soc. Ther. Radiol. Oncol. 2008, 87, 3–16. [Google Scholar] [CrossRef]
- Raphael, M.J.; Biagi, J.J.; Kong, W.; Mates, M.; Booth, C.M.; Mackillop, W.J. The relationship between time to initiation of adjuvant chemotherapy and survival in breast cancer: A systematic review and meta-analysis. Breast Cancer Res. Treat. 2016, 160, 17–28. [Google Scholar] [CrossRef]
- NHS England. COVID-19: Deploying Our People Safely. Available online: https://www.england.nhs.uk/coronavirus/documents/covid-19-deploying-our-people-safely/ (accessed on 21 May 2022).
- Appleby, J. NHS sickness absence during the COVID-19 pandemic. BMJ 2021, 372, n471. [Google Scholar] [CrossRef]
- Cardiovascular and Interventional Radiological Society of Europe. COVID-19 Resource Centre. In Checklist for Preparing Your IR Service for COVID-19; Available online: https://www.cirse.org/wp-content/uploads/2020/04/CIRSE_APSCVIR_Checklist_COVID19.pdf (accessed on 14 March 2023).
- Renzulli, M.; Gentilini, M.; Marasco, G.; Brandi, N.; Granito, A.; Monaco, S.L.; Ierardi, A.M.; De Cinque, A.; Tovoli, F.; Bartalena, L.; et al. The duration of the conventional chemoembolization for hepatocellular carcinoma: Factors affecting the procedural time. Hepatoma Res. 2022, 8, 2394–5079. [Google Scholar] [CrossRef]
- Riera, R.; Bagattini, A.M.; Pacheco, R.L.; Pachito, D.V.; Roitberg, F.; Ilbawi, A. Delays and Disruptions in Cancer Health Care Due to COVID-19 Pandemic: Systematic Review. JCO Glob. Oncol. 2021, 7, 311–323. [Google Scholar] [CrossRef] [PubMed]
- Ajayi, F.; Jan, J.; Singal, A.G.; Rich, N.E. Racial and Sex Disparities in Hepatocellular Carcinoma in the USA. Curr. Hepatol. Rep. 2020, 19, 462–469. [Google Scholar] [CrossRef] [PubMed]
- Kirby, T. Evidence mounts on the disproportionate effect of COVID-19 on ethnic minorities. Lancet Respir. Med. 2020, 8, 547–548. [Google Scholar] [CrossRef] [PubMed]
- Smith, N.R.; Kelly, Y.J.; Nazroo, J.Y. Intergenerational continuities of ethnic inequalities in general health in England. J. Epidemiol. Community Health 2009, 63, 253–258. [Google Scholar] [CrossRef] [PubMed]
- Burton, A.; Balachandrakumar, V.K.; Driver, R.J.; Tataru, D.; Paley, L.; Marshall, A.; Alexander, G.; Rowe, I.A.; Partnership, H.-U.B.N.; Palmer, D.H.; et al. Regional variations in hepatocellular carcinoma incidence, routes to diagnosis, treatment and survival in England. Br. J. Cancer 2022, 126, 804–814. [Google Scholar] [CrossRef] [PubMed]



| Yes (115) | No (49) | p-Value | ||
|---|---|---|---|---|
| Sex | Male | 99 (86.1%) | 41 (83.7%) | p = 0.71 |
| Female | 16 (13.9%) | 8 (16.3%) | ||
| Age | ≤70 years | 64 (55.7%) | 29 (59.2%) | p = 0.68 |
| >70 years | 51 (44.3%) | 20 (40.8%) | ||
| Ethnicity | White | 91 (84.3%) | 35 (76.1%) | p = 0.229 |
| Non-white | 17 (15.7%) | 11 (23.9%) | ||
| Aetiology | HBV | 8 (7.0%) | 3 (6.1%) | p = 0.52 |
| HCV | 25 (21.7%) | 8 (16.3%) | ||
| NASH/NAFLD | 27 (23.5) | 12 (24.5) | ||
| ARLD | 28 (24.3%) | 14 (28.6%) | ||
| Other | 13 (11.3%) | 10 (20.4%) | ||
| Tumour diameter in mm (median) | 41.33 ± 2.86 (30.5) | 50.57 ± 5.69 (35.5) | p = 0.11 | |
| BCLC score | 0-A | 40 (34.7%) | 11 (22.5%) | p = 0.008 * |
| B | 24 (20.9%) | 9 (18.4%) | ||
| C | 8 (7.0%) | 9 (18.4%) | ||
| D | 3 (2.6%) | 3 (6.1%) | ||
| Unknown | 40 (34.8) | 17 (34.7%) | ||
| Metastatic disease | Yes | 6 (5.2%) | 8 (16.3%) | p = 0.020 * |
| No | 109 (94.8%) | 41 (83.7%) | ||
| ECOG Performance score | 0–1 | 70 (60.8%) | 31 (63.2%) | p = 0.47 |
| 2 | 2 (1.7%) | 2 (4.1%) | ||
| 3 | 2 (1.7%) | 0 (0%) | ||
| Unknown | 41 (35.7%) | 16 (32.7%) | ||
| Child– Pugh class | A | 89 (77.4%) | 40 (81.6%) | p = 0.72 |
| B | 15 (13.0%) | 5 (10.2%) | ||
| C | 1 (0.9%) | 1 (2.0%) | ||
| Unknown | 10 (8.7%) | 3 (6.1%) | ||
| Surgery | Ablation | TACE/TARE | Systemic Therapy | ||
|---|---|---|---|---|---|
| BCLC score | A | 16 (69.6%) | 14 (87.5%) | 20 (40.0%) | 1 (5.6%) |
| B | 4 (17.4%) | 2 (12.5%) | 22 (44.0%) | 5 (27.8%) | |
| C | 1 (4.3%) | 0 (0.0%) | 6 (12.0%) | 10 (55.6%) | |
| D | 2 (8.7%) | 0 (0.0%) | 2 (4.0%) | 2 (11.1%) | |
| Total | 23 (100.0%) | 16 (100.0%) | 18 (100.0%) | 50 (100.0%) |
| Univariable Model | Multivariable Model | |||
|---|---|---|---|---|
| Hazard Ratio (95% CI) | p-Value | Hazard Ratio (95% CI) | p-Value | |
| Delay (yes vs. no) | 1.1 (0.6–2.1) | 0.7 | ||
| Ethnicity (White vs. not White) | 1.4 (0.7–2.7) | 0.3 | ||
| Aetiology (Viral vs. Non-viral) | 0.7 (0.4–1.4) | 0.4 | ||
| BCLC Stage (A/B vs. C/D) | 0.4 (0.2–0.8) | 0.01 | 0.5 (0.2–1.2) | 0.2 |
| CTP Class (B/C vs. A) | 1.1 (0.5–2.7) | 0.8 | ||
| Tumour size <7 cm | 0.4 (0.2–0.7) | 0.002 | 0.4 (0.2–1.0) | 0.03 |
| Metastatic disease | 0.5 (0.2–1.2) | 0.1 | ||
Disclaimer/Publisher’s Note: The statements, opinions and data contained in all publications are solely those of the individual author(s) and contributor(s) and not of MDPI and/or the editor(s). MDPI and/or the editor(s) disclaim responsibility for any injury to people or property resulting from any ideas, methods, instructions or products referred to in the content. |
© 2023 by the authors. Licensee MDPI, Basel, Switzerland. This article is an open access article distributed under the terms and conditions of the Creative Commons Attribution (CC BY) license (https://creativecommons.org/licenses/by/4.0/).
Share and Cite
De Souza, S.; Kahol de Jong, J.; Perone, Y.; Shetty, S.; Qurashi, M.; Vithayathil, M.; Shah, T.; Ross, P.; Temperley, L.; Yip, V.S.; et al. Impact of COVID-19 on 1-Year Survival Outcomes in Hepatocellular Carcinoma: A Multicenter Cohort Study. Cancers 2023, 15, 3378. https://doi.org/10.3390/cancers15133378
De Souza S, Kahol de Jong J, Perone Y, Shetty S, Qurashi M, Vithayathil M, Shah T, Ross P, Temperley L, Yip VS, et al. Impact of COVID-19 on 1-Year Survival Outcomes in Hepatocellular Carcinoma: A Multicenter Cohort Study. Cancers. 2023; 15(13):3378. https://doi.org/10.3390/cancers15133378
Chicago/Turabian StyleDe Souza, Shuell, Jeffrey Kahol de Jong, Ylenia Perone, Shishir Shetty, Maria Qurashi, Mathew Vithayathil, Tahir Shah, Paul Ross, Laura Temperley, Vincent S. Yip, and et al. 2023. "Impact of COVID-19 on 1-Year Survival Outcomes in Hepatocellular Carcinoma: A Multicenter Cohort Study" Cancers 15, no. 13: 3378. https://doi.org/10.3390/cancers15133378
APA StyleDe Souza, S., Kahol de Jong, J., Perone, Y., Shetty, S., Qurashi, M., Vithayathil, M., Shah, T., Ross, P., Temperley, L., Yip, V. S., Banerjee, A., Bettinger, D., Sturm, L., Reeves, H. L., Geh, D., Orr, J., Allen, B., Jones, R. P., & Sharma, R. (2023). Impact of COVID-19 on 1-Year Survival Outcomes in Hepatocellular Carcinoma: A Multicenter Cohort Study. Cancers, 15(13), 3378. https://doi.org/10.3390/cancers15133378

