Neratinib and Capecitabine for the Treatment of Leptomeningeal Metastases from HER2-Positive Breast Cancer: A Series in the Setting of a Compassionate Program
Abstract
:Simple Summary
Abstract
1. Introduction
2. Materials and Methods
2.1. Eligibility Criteria
2.2. Study Design and Treatment
2.3. Endpoints
2.4. Statistical Analysis
3. Results
3.1. Patients
3.2. Efficacy
3.3. Tolerability
4. Discussion
5. Conclusions
Supplementary Materials
Author Contributions
Funding
Institutional Review Board Statement
Informed Consent Statement
Data Availability Statement
Conflicts of Interest
Appendix A
| Patient ID | |||||||||||
|---|---|---|---|---|---|---|---|---|---|---|---|
| General Symptoms | N (%) | 1 | 2 | 3 | 4 | 5 | 6 | 7 | 8 | 9 | 10 |
| Headache | 6 (60) | X | X | X | |||||||
| Nausea, vomit | 4 (40) | ||||||||||
| Seizures | 2 (20) | ||||||||||
| Cranial Nerve Impairment | |||||||||||
| Optic neuritis/visual impairment | 2 (20) | ||||||||||
| Hearing loss | 3 (30) | ||||||||||
| Facial weakness | 1 (10) | ||||||||||
| Diplopia/oculomotor nerve palsies | 4 (40) | ||||||||||
| Trigeminal hypoesthesia | 1 (10) | ||||||||||
| Gait Disturbances | |||||||||||
| Sensitive ataxia | 1 (10) | ||||||||||
| Cerebellar ataxia | 2 (20) | ||||||||||
| Cerebellar Symptoms | |||||||||||
| Dysmetria/limb ataxia | 4 (40) | ||||||||||
| Nystagmus | 2 (20) | ||||||||||
| Truncal ataxia | 1 (10) | ||||||||||
| Intention tremor | 2 (20) | ||||||||||
| Dysarthria/scanning speech | 2 (20) | ||||||||||
| Vertigo | 1 (10) | ||||||||||
| Spinal Symptoms | |||||||||||
| Lower motor neuron weakness | 0 | ||||||||||
| Sensory loss | 1 (10) | ||||||||||
| Radicular and back/neck pain | 4 (40) | ||||||||||
| Bladder, bowel, sexual dysfunctions | 0 | ||||||||||
| Total score | 4 | 3 | 7 | 7 | 3 | 4 | 3 | 2 | 6 | 4 | |
| Patient ID | |||||||||||
|---|---|---|---|---|---|---|---|---|---|---|---|
| General Symptoms | N (%) | 1 | 2 | 3 | 4 | 5 | 6 | 7 | 8 | 9 | 10 |
| Headache | 4 (40) | X | X | ||||||||
| Nausea, vomit | 3 (30) | ||||||||||
| Seizures | 2 (20) | ||||||||||
| Cranial Nerve Impairment | |||||||||||
| Optic neuritis/visual impairment | 2 (20) | ||||||||||
| Hearing loss | 3 (30) | ||||||||||
| Facial weakness | 1 (10) | ||||||||||
| Diplopia/oculomotor nerve palsies | 1 (10) | ||||||||||
| Trigeminal hypoesthesia | 1 (10) | ||||||||||
| Gait Disturbances | |||||||||||
| Sensitive ataxia | 2 (20) | ||||||||||
| Cerebellar ataxia | 2 (20) | ||||||||||
| Cerebellar Symptoms | |||||||||||
| Dysmetria/limb ataxia | 4 (40) | ||||||||||
| Nystagmus | 2 (20) | ||||||||||
| Truncal ataxia | 2 (20) | ||||||||||
| Intention tremor | 2 (20) | ||||||||||
| Dysarthria/scanning speech | 3 (30) | ||||||||||
| Vertigo | 1 (10) | ||||||||||
| Spinal Symptoms | |||||||||||
| Lower motor neuron weakness | 1 (10) | ||||||||||
| Sensory loss | 2 (20) | ||||||||||
| Radicular and back/neck pain | 4 (40) | ||||||||||
| Bladder, bowel, sexual dysfunctions | 3 (30) | ||||||||||
| Total score | 4 | 8 | 2 | 11 | 1 | 4 | 3 | 2 | 8 | 1 | |
| Overall neurological response | S | P | I | P | I | S | S | S | P | I | |
| Patient | Intracranial Best Response | Extracranial Best Response |
|---|---|---|
| 1 | SD | SD |
| 2 | PD | PR |
| 3 | SD | CR |
| 4 | SD | SD |
| 5 | SD | CR |
| 6 | PD | SD |
| 7 | PD | SD |
| 8 | SD | SD |
| 9 | PD | SD |
| 10 | SD | PD |
References
- Le Rhun, E.; Weller, M.; Brandsma, D.; Van den Bent, M.; de Azambuja, E.; Henriksson, R.; Boulanger, T.; Peters, S.; Watts, C.; Wick, W.; et al. EANO–ESMO Clinical Practice Guidelines for diagnosis, treatment and follow-up of patients with leptomeningeal metastasis from solid tumours. Ann. Oncol. 2017, 28, iv84–iv99. [Google Scholar] [CrossRef] [PubMed]
- Howlader, N.; Altekruse, S.F.; Li, C.I.; Chen, V.W.; Clarke, C.A.; Ries, L.A.; Cronin, K.A. US Incidence of Breast Cancer Subtypes Defined by Joint Hormone Receptor and HER2 Status. J. Natl. Cancer Inst. 2014, 106, dju055. [Google Scholar] [CrossRef] [PubMed] [Green Version]
- Pellerino, A.; Internò, V.; Mo, F.; Franchino, F.; Soffietti, R.; Rudà, R. Management of Brain and Leptomeningeal Metastases from Breast Cancer. Int. J. Mol. Sci. 2020, 21, 8534. [Google Scholar] [CrossRef]
- Griguolo, G.; Pouderoux, S.; Dieci, M.V.; Jacot, W.; Bourgier, C.; Miglietta, F.; Firmin, N.; Conte, P.; Viala, M.; Guarneri, V.; et al. Clinicopathological and Treatment-Associated Prognostic Factors in Patients with Breast Cancer Leptomeningeal Metastases in Relation to Tumor Biology. Oncologist 2018, 23, 1289–1299. [Google Scholar] [CrossRef] [PubMed] [Green Version]
- Rabindran, S.K.; Discafani, C.M.; Rosfjord, E.C.; Baxter, M.; Floyd, M.B.; Golas, J.; Hallett, W.A.; Johnson, B.D.; Nilakantan, R.; Overbeek, E.; et al. Antitumor Activity of HKI-272, an Orally Active, Irreversible Inhibitor of the HER-2 Tyrosine Kinase. Cancer Res. 2004, 64, 3958–3965. [Google Scholar] [CrossRef] [Green Version]
- Pegram, M.D. Neratinib in ERBB2-Positive Brain Metastases. JAMA Oncol. 2016, 2, 1541–1543. [Google Scholar] [CrossRef]
- Awada, A.; Colomer, R.; Inoue, K.; Bondarenko, I.; Badwe, R.A.; Demetriou, G.; Lee, S.C.; Mehta, A.O.; Kim, S.B.; Bachelot, T.; et al. Neratinib Plus Paclitaxel vs Trastuzumab Plus Paclitaxel in Previously Untreated Metastatic ERBB2-Positive Breast Cancer: The NEfERT-T Randomized Clinical Trial. JAMA Oncol. 2016, 2, 1557–1564. [Google Scholar] [CrossRef]
- Freedman, R.A.; Gelman, R.S.; Anders, C.K.; Melisko, M.E.; Parsons, H.A.; Cropp, A.M.; Silvestri, K.; Cotter, C.M.; Componeschi, K.P.; Marte, J.M.; et al. TBCRC 022: A Phase II Trial of Neratinib and Capecitabine for Patients with Human Epidermal Growth Factor Receptor 2–Positive Breast Cancer and Brain Metastases. J. Clin. Oncol. 2019, 37, 1081–1089. [Google Scholar] [CrossRef]
- Saura, C.; Oliveira, M.; Feng, Y.-H.; Dai, M.-S.; Chen, S.-W.; Hurvitz, S.A.; Kim, S.-B.; Moy, B.; Delaloge, S.; Gradishar, W.; et al. Neratinib Plus Capecitabine Versus Lapatinib Plus Capecitabine in HER2-Positive Metastatic Breast Cancer Previously Treated With ≥ 2 HER2-Directed Regimens: Phase III NALA Trial. J. Clin. Oncol. 2020, 38, 3138–3149. [Google Scholar] [CrossRef]
- Hurvitz, S.A.; Saura, C.; Oliveira, M.; Trudeau, M.E.; Moy, B.; Delaloge, S.; Gradishar, W.; Kim, S.B.; Haley, B.; Ryvo, L.; et al. Efficacy of Neratinib Plus Capecitabine in the Subgroup of Patients with Central Nervous System Involvement from the NALA Trial. Oncologist 2021, 26, e1327–e1338. [Google Scholar] [CrossRef]
- Martínez-Sáez, O.; Prat, A. Current and Future Management of HER2-Positive Metastatic Breast Cancer. JCO Oncol. Pract. 2021, 17, 594–604. [Google Scholar] [CrossRef]
- Soffietti, R.; Ahluwalia, M.; Lin, N.; Rudà, R. Management of brain metastases according to molecular subtypes. Nat. Rev. Neurol. 2020, 16, 557–574. [Google Scholar] [CrossRef]
- Gennari, A.; André, F.; Barrios, C.; Cortés, J.; de Azambuja, E.; DeMichele, A.; Dent, R.; Fenlon, D.; Gligorov, J.; Hurvitz, S.; et al. ESMO Clinical Practice Guideline for the diagnosis, staging and treatment of patients with metastatic breast cancer. Ann. Oncol. 2021, 32, 1475–1495. [Google Scholar] [CrossRef]
- Pellerino, A.; Brastianos, P.; Rudà, R.; Soffietti, R. Leptomeningeal Metastases from Solid Tumors: Recent Advances in Diagnosis and Molecular Approaches. Cancers 2021, 13, 2888. [Google Scholar] [CrossRef]
- Boire, A.; Brastianos, P.K.; Garzia, L.; Valiente, M. Brain metastasis. Nat. Rev. Cancer 2020, 20, 4–11. [Google Scholar] [CrossRef]
- Wang, N.; Ba, M.S.B.; Brastianos, P.K. Leptomeningeal metastasis from systemic cancer: Review and update on management. Cancer 2017, 124, 21–35. [Google Scholar] [CrossRef]
- Glantz, M.J.; Jaeckle, K.A.; Chamberlain, M.C.; Phuphanich, S.; Recht, L.; Swinnen, L.J.; Maria, B.; LaFollette, S.; Schumann, G.B.; Cole, B.F.; et al. A randomized controlled trial comparing intrathecal sustained-release cytarabine (DepoCyt) to intrathecal methotrexate in patients with neoplastic meningitis from solid tumors. Clin. Cancer Res. 1999, 5, 3394–3402. [Google Scholar]
- Hitchins, R.N.; Bell, D.R.; Woods, R.L.; Levi, J.A. A prospective randomized trial of single-agent versus combination chemotherapy in meningeal carcinomatosis. J. Clin. Oncol. 1987, 5, 1655–1662. [Google Scholar] [CrossRef]
- Boogerd, W.; van den Bent, M.J.; Koehler, P.; Heimans, J.; van der Sande, J.; Aaronson, N.; Hart, A.; Benraadt, J.; Vecht, C. The relevance of intraventricular chemotherapy for leptomeningeal metastasis in breast cancer: A randomised study. Eur. J. Cancer 2004, 40, 2726–2733. [Google Scholar] [CrossRef]
- Le Rhun, E.; Mailliez, A.; Wallet, J.; Rodrigues, I.; Boulanger, T.; Desmoulins, I.; Barriere, J.; Fabbro, M.; Taillibert, S.; Andre, C.; et al. 371OIntra-CSF liposomal cytarabine plus systemic therapy as initial treatment of breast cancer leptomeningeal metastasis: A randomised, open-label trial. Ann. Oncol. 2018, 29 (Suppl. 8), viii122–viii132. [Google Scholar] [CrossRef]
- Grossman, S.A.; Finkelstein, D.M.; Ruckdeschel, J.C.; Trump, D.L.; Moynihan, T.; Ettinger, D.S. Randomized prospective comparison of intraventricular methotrexate and thiotepa in patients with previously untreated neoplastic meningitis. Eastern Cooperative Oncology Group. J. Clin. Oncol. 1993, 11, 561–569. [Google Scholar] [CrossRef] [PubMed]
- Stemmler, H.-J.; Schmitt, M.; Willems, A.; Bernhard, H.; Harbeck, N.; Heinemann, V. Ratio of trastuzumab levels in serum and cerebrospinal fluid is altered in HER2-positive breast cancer patients with brain metastases and impairment of blood–brain barrier. Anti-Cancer Drugs 2007, 18, 23–28. [Google Scholar] [CrossRef] [PubMed]
- Bonneau, C.; Paintaud, G.; Trédan, O.; Dubot, C.; Desvignes, C.; Dieras, V.; Taillibert, S.; Tresca, P.; Turbiez, I.; Li, J.; et al. Phase I feasibility study for intrathecal administration of trastuzumab in patients with HER2 positive breast carcinomatous meningitis. Eur. J. Cancer 2018, 95, 75–84. [Google Scholar] [CrossRef]
- Figura, N.B.; Rizk, V.T.; Mohammadi, H.; Evernden, B.; Mokhtari, S.; Yu, H.M.; Robinson, T.J.; Etame, A.B.; Tran, N.D.; Liu, J.; et al. Clinical outcomes of breast leptomeningeal disease treated with intrathecal trastuzumab, intrathecal chemotherapy, or whole brain radiation therapy. Breast Cancer Res. Treat. 2019, 175, 781–788. [Google Scholar] [CrossRef]
- Zagouri, F.; Zoumpourlis, P.; Le Rhun, E.; Bartsch, R.; Zografos, E.; Apostolidou, K.; Dimopoulos, M.-A.; Preusser, M. Intrathecal administration of anti-HER2 treatment for the treatment of meningeal carcinomatosis in breast cancer: A metanalysis with meta-regression. Cancer Treat. Rev. 2020, 88, 102046. [Google Scholar] [CrossRef]
- Zairi, F.; Le Rhun, E.; Bertrand, N.; Boulanger, T.; Taillibert, S.; Aboukaïs, R.; Assaker, R.; Chamberlain, M.C. Complications related to the use of an intraventricular access device for the treatment of leptomeningeal metastases from solid tumor: A single centre experience in 112 patients. J. Neuro-Oncol. 2015, 124, 317–323. [Google Scholar] [CrossRef]
- Montes de Oca Delgado, M.; Cacho Díaz, B.; Santos Zambrano, J.; Guerrero Juárez, V.; López Martínez, M.S.; Castro Martínez, E.; Avendaño Méndez-Padilla, J.; Mejía Pérez, S.; Reyes Moreno, I.; Gutiérrez Aceves, A.; et al. The Comparative Treatment of Intraventricular Chemotherapy by Ommaya Reservoir vs. Lumbar Puncture in Patients with Leptomeningeal Carcinomatosis. Front. Oncol. 2018, 8, 509. [Google Scholar] [CrossRef]
- Sonabend, A.M.; Stupp, R. Overcoming the Blood–Brain Barrier with an Implantable Ultrasound Device. Clin. Cancer Res. 2019, 25, 3750–3752. [Google Scholar] [CrossRef] [Green Version]
- Brastianos, P.K.; Strickland, M.R.; Lee, E.Q.; Wang, N.; Cohen, J.V.; Chukwueke, U.; Forst, D.A.; Eichler, A.; Overmoyer, B.; Lin, N.U.; et al. Phase II study of ipilimumab and nivolumab in leptomeningeal carcinomatosis. Nat. Commun. 2021, 12, 5954. [Google Scholar] [CrossRef]
- Brastianos, P.K.; Lee, E.Q.; Cohen, J.V.; Tolaney, S.M.; Lin, N.U.; Wang, N.; Chukwueke, U.; White, M.D.; Nayyar, N.; Kim, A.; et al. Single-arm, open-label phase 2 trial of pembrolizumab in patients with leptomeningeal carcinomatosis. Nat. Med. 2020, 26, 1280–1284. [Google Scholar] [CrossRef]
- Schmid, P.; Adams, S.; Rugo, H.S.; Schneeweiss, A.; Barrios, C.H.; Iwata, H.; Diéras, V.; Hegg, R.; Im, S.-A.; Wright, G.S.; et al. Atezolizumab and Nab-Paclitaxel in Advanced Triple-Negative Breast Cancer. N. Engl. J. Med. 2018, 379, 2108–2121. [Google Scholar] [CrossRef]
- Chiari, R.; Metro, G.; Iacono, D.; Bellezza, G.; Rebonato, A.; Dubini, A.; Sperduti, I.; Bennati, C.; Paglialunga, L.; Burgio, M.A.; et al. Clinical impact of sequential treatment with ALK-TKIs in patients with advanced ALK-positive non-small cell lung cancer: Results of a multicenter analysis. Lung Cancer 2015, 90, 255–260. [Google Scholar] [CrossRef]
- Schuler, M.; Tan, E.-H.; O’Byrne, K.; Zhang, L.; Boyer, M.; Mok, T.; Hirsh, V.; Yang, J.C.-H.; Lee, K.H.; Lu, S.; et al. First-line afatinib vs gefitinib for patients with EGFR mutation-positive NSCLC (LUX-Lung 7): Impact of afatinib dose adjustment and analysis of mode of initial progression for patients who continued treatment beyond progression. J. Cancer Res. Clin. Oncol. 2019, 145, 1569–1579. [Google Scholar] [CrossRef] [Green Version]
- Serra, F.; Barruscotti, S.; Dominioni, T.; Zuccarini, A.; Pedrazzoli, P.; Chiellino, S. Treatment Following Progression in Metastatic Melanoma: The State of the Art from Scientific Literature to Clinical Need. Curr. Oncol. Rep. 2021, 23, 84. [Google Scholar] [CrossRef]
- Nakao, T.; Okuda, T.; Fujita, M.; Kato, A. A case of leptomeningeal metastases of human epidermal growth factor receptor 2-positive breast cancer that responded well to lapatinib plus capecitabine. Surg. Neurol. Int. 2019, 10, 131. [Google Scholar] [CrossRef]
- Murthy, R.K.; Loi, S.; Okines, A.; Paplomata, E.; Hamilton, E.; Hurvitz, S.A.; Lin, N.U.; Borges, V.; Abramson, V.; Anders, C.; et al. Tucatinib, Trastuzumab, and Capecitabine for HER2-Positive Metastatic Breast Cancer. N. Engl. J. Med. 2020, 382, 597–609. [Google Scholar] [CrossRef]
- Mueller, V.; Wardley, A.; Paplomata, E.; Hamilton, E.; Zelnak, A.; Fehrenbacher, L.; Jakobsen, E.; Curtit, E.; Boyle, F.; Brix, E.H.; et al. Preservation of quality of life in patients with human epidermal growth factor receptor 2–positive metastatic breast cancer treated with tucatinib or placebo when added to trastuzumab and capecitabine (HER2CLIMB trial). Eur. J. Cancer 2021, 153, 223–233. [Google Scholar] [CrossRef]
- Lin, N.U.; Borges, V.; Anders, C.; Murthy, R.K.; Paplomata, E.; Hamilton, E.; Hurvitz, S.; Loi, S.; Okines, A.; Abramson, V.; et al. Intracranial Efficacy and Survival with Tucatinib Plus Trastuzumab and Capecitabine for Previously Treated HER2-Positive Breast Cancer with Brain Metastases in the HER2CLIMB Trial. J. Clin. Oncol. 2020, 38, 2610–2619. [Google Scholar] [CrossRef]
- Murthy, R.K.; O’Brien, B.J.; Berry, D.A.; Singareeka-Raghavendra, A.; Monroe, M.G.; Johnson, J.A.; White, J.; Childreess, J.; Sanford, J.; Schwartz-Gomez, J.; et al. Safety and efficacy of a tucatinib-trastuzumab-capecitabine regimen for treatment of leptomeningeal metastasis (LM) in HER2+ breast cancer: Results from TBCRC049, a phase 2 non-randomized study. In Proceedings of the San Antonio Breast Cacner Symposium 2021, San Antonio, TX, USA, 7–10 December 2021. [Google Scholar]
- Stringer-Reasor, E.M.; O’Brien, B.J.; Topletz-Erickson, A.; White, J.B.; Lobbous, M.; Riley, K.; Childress, J.; LaMaster, K.; Melisko, M.E.; Morikawa, A.; et al. Pharmacokinetic (PK) analyses in CSF and plasma from TBCRC049, an ongoing trial to assess the safety and efficacy of the combination of tucatinib, trastuzumab and capecitabine for the treatment of leptomeningeal metastasis (LM) in HER2 positive breast cancer. J. Clin. Oncol. 2021, 39 (Suppl. 15), 1044. [Google Scholar] [CrossRef]


| Neratinib Plus | Control Group | |
|---|---|---|
| Capecitabine Group | ||
| Factor | N (%) | N (%) |
| Sex | ||
| Female | 10 (100) | 10 (100) |
| Male | 0 | 0 |
| Median age, years (range) | 45 (36–59) | 45 (35–67) |
| ≤45 years | 6 (60) | 5 (50) |
| >46 years | 4 (40) | 5 (50) |
| Primary Breast Cancer | ||
| HER2+ ER+ PR+ | 3 (30) | 2 (20) |
| HER2+ ER+ PR− | 6 (60) | 6 (20) |
| HER2+ ER− PR− | 1 (10) 1 | 2 (20) |
| Median KPS (range) | 80 (60–90) | 70 (60–90) |
| ≤80 | 7 (70) | 8 (80) |
| ≥90 | 3 (30) | 2 (20) |
| Median time since initial diagnosis of primary BC, months (range) | 45 (11–166) | 35 (13–58) |
| ≤45 months | 5 (50) | 7 (70) |
| >46 months | 5 (50) | 3 (30) |
| Systemic disease | ||
| Stable/controlled | 6 (60) | 4 (40) |
| Progressive | 4 (40) | 6 (60) |
| Site of extracranial disease at the time of LM diagnosis | ||
| Bone | 6 (60) | 6 (60) |
| Liver | 2 (20) | 3 (30) |
| Lung | 3 (30) | 2 (20) |
| Lymph nodes | 1 (10) | 6 (60) |
| Skin | 1 (10) | 0 (0) |
| Breast | 1 (10) | 0 (0) |
| Without extracranial disease | 1 (10) | 2 (20) |
| BM at the time of LM diagnosis | ||
| Yes | 6 (60) | 6 (60) |
| No | 4 (40) | 4 (40) |
| Median number of systemic | ||
| treatments before LM diagnosis (range) | 3 (2–5) | 3 (2–4) |
| ≤2 | 4 (40) | 5 (50) |
| ≥3 | 6 (60) | 5 (50) |
| Local therapy for BM before | ||
| LM diagnosis | ||
| Surgery | 2 (20) | 2 (20) |
| Radiotherapy | 6 (60) | 5 (50) |
| Patterns of LM on MRI | ||
| Cranial LM | 7 (70) | 5 (50) |
| Spinal LM | 1 (10) | 3 (30) |
| Cranial and spinal LM | 2 (20) | 2 (20) |
| Neratinib Plus Capecitabine Group | Control Group | |
|---|---|---|
| N (%) | N (%) | |
| Overall OS | ||
| At 6 months | 7 (70) | 1 (10) |
| At 12 months | 3 (30) | 0 (0) |
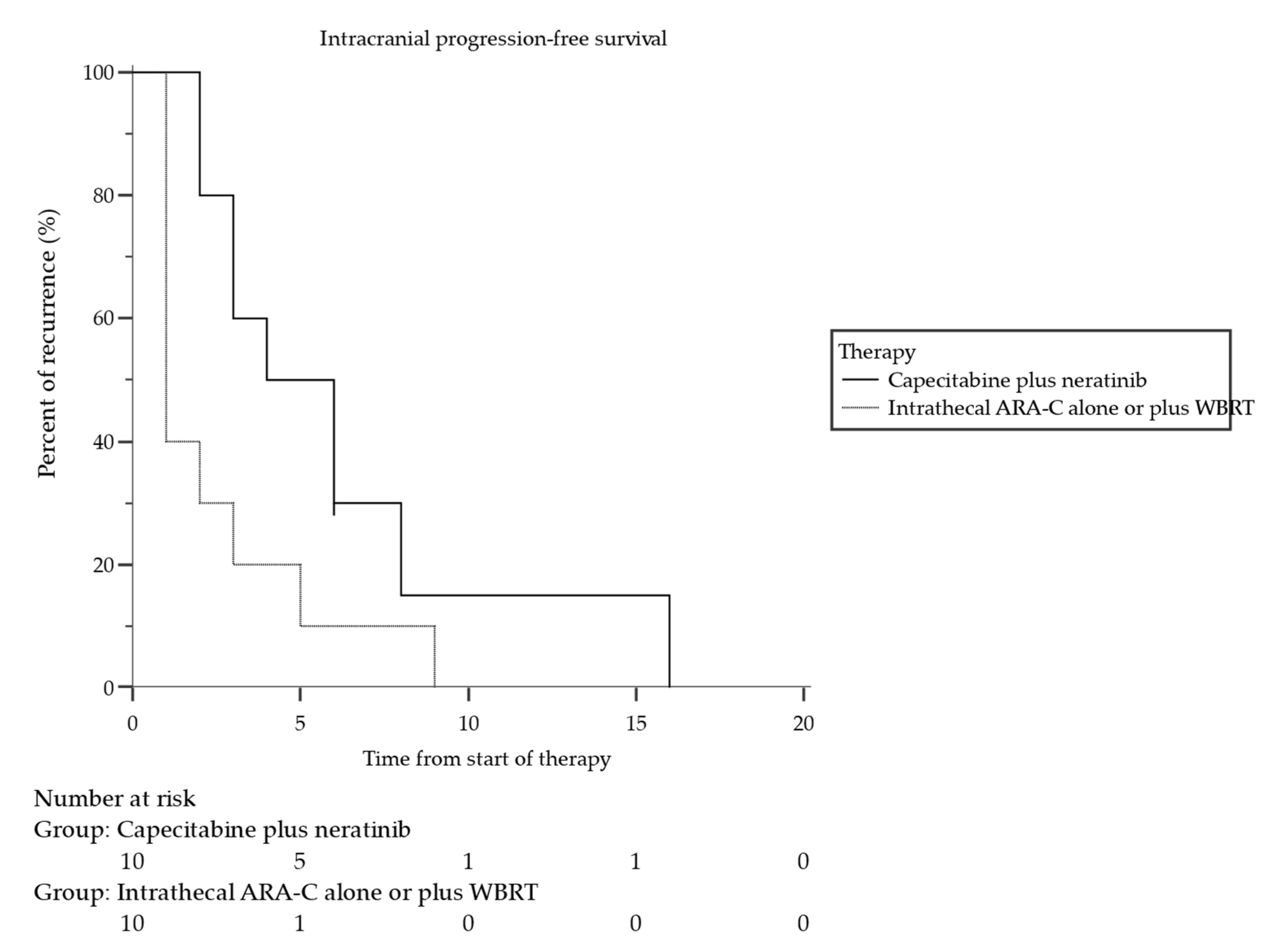
| Intracranial PFS | ||
| At 3 months | 4 (40) | 2 (20) |
| At 6 months | 4 (40) | 1 (10) |
| At 9 months | 1 (10) | 0 (0) |
| >9 months | 1(10) | 0 (0) |
| Best intracranial response 1 | ||
| Complete response | 0 | 0 |
| Partial response | 0 | 0 |
| Stable disease | 6 (60) | 3 (30) |
| Progressive disease | 4 (40) | 7 (70) |
| Best extracranial response 2 | ||
| Complete response | 2 (20) | Not applicable |
| Partial response | 1 (10) | |
| Stable disease | 6 (60) | |
| Progressive disease | 1 (10) | |
| Neurological benefit | ||
| Improvement | 3 (30) | 0 (0) |
| Stable | 4 (40) | 3 (30) |
| Worsening | 3 (30) | 7 (70) |
| Adverse Events 1 | N (%) | Grade 1–2 | Grade 3–4 |
|---|---|---|---|
| Gastrointestinal disorders Abdominal pain or discomfort Diarrhea Nausea, vomiting Liver function test elevation | 2 (20) 4 (40) 3 (20) 1 (10) | 2 2 2 1 | - 2 1 - |
| Constitutional Fatigue Weight loss Anorexia | 5 (50) 1 (10) 1 (10) | 5 1 1 | - - - |
| Skin Hand-foot syndrome | 1 (10) | 1 | - |
Publisher’s Note: MDPI stays neutral with regard to jurisdictional claims in published maps and institutional affiliations. |
© 2022 by the authors. Licensee MDPI, Basel, Switzerland. This article is an open access article distributed under the terms and conditions of the Creative Commons Attribution (CC BY) license (https://creativecommons.org/licenses/by/4.0/).
Share and Cite
Pellerino, A.; Soffietti, R.; Bruno, F.; Manna, R.; Muscolino, E.; Botta, P.; Palmiero, R.; Rudà, R. Neratinib and Capecitabine for the Treatment of Leptomeningeal Metastases from HER2-Positive Breast Cancer: A Series in the Setting of a Compassionate Program. Cancers 2022, 14, 1192. https://doi.org/10.3390/cancers14051192
Pellerino A, Soffietti R, Bruno F, Manna R, Muscolino E, Botta P, Palmiero R, Rudà R. Neratinib and Capecitabine for the Treatment of Leptomeningeal Metastases from HER2-Positive Breast Cancer: A Series in the Setting of a Compassionate Program. Cancers. 2022; 14(5):1192. https://doi.org/10.3390/cancers14051192
Chicago/Turabian StylePellerino, Alessia, Riccardo Soffietti, Francesco Bruno, Roberta Manna, Erminia Muscolino, Pierangela Botta, Rosa Palmiero, and Roberta Rudà. 2022. "Neratinib and Capecitabine for the Treatment of Leptomeningeal Metastases from HER2-Positive Breast Cancer: A Series in the Setting of a Compassionate Program" Cancers 14, no. 5: 1192. https://doi.org/10.3390/cancers14051192
APA StylePellerino, A., Soffietti, R., Bruno, F., Manna, R., Muscolino, E., Botta, P., Palmiero, R., & Rudà, R. (2022). Neratinib and Capecitabine for the Treatment of Leptomeningeal Metastases from HER2-Positive Breast Cancer: A Series in the Setting of a Compassionate Program. Cancers, 14(5), 1192. https://doi.org/10.3390/cancers14051192

