The Obscure Potential of AHNAK2
Abstract
:Simple Summary
Abstract
1. Introduction
2. Function
2.1. AHNAK2 in Normal Tissue
2.2. AHNAK2 in Disease
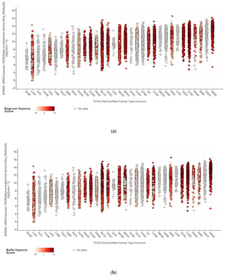
2.3. AHNAK2 in Cancer
3. Conclusions
Author Contributions
Funding
Conflicts of Interest
References
- Komuro, A.; Masuda, Y.; Kobayashi, K.; Babbitt, R.; Gunel, M.; Flavell, R.A.; Marchesi, V.T. The AHNAKs are a class of giant propeller-like proteins that associate with calcium channel proteins of cardiomyocytes and other cells. Proc. Natl. Acad. Sci. USA 2004, 101, 4053–4058. [Google Scholar] [CrossRef] [Green Version]
- Gerhard, D.S.; Wagner, L.; Feingold, E.A.; Shenmen, C.M.; Grouse, L.H.; Schuler, G.; Klein, S.L.; Old, S.; Rasooly, R.; Good, P.; et al. The status, quality, and expansion of the NIH full-length cDNA project: The Mammalian Gene Collection (MGC). Genome Res. 2004, 14, 2121–2127. [Google Scholar]
- Ota, T.; Suzuki, Y.; Nishikawa, T.; Otsuki, T.; Sugiyama, T.; Irie, R.; Wakamatsu, A.; Hayashi, K.; Sato, H.; Nagai, K.; et al. Complete sequencing and characterization of 21,243 full-length human cDNAs. Nat. Genet. 2004, 36, 40–45. [Google Scholar] [CrossRef]
- Shtivelman, E.; Cohen, F.E.; Bishop, J.M. A human gene (AHNAK) encoding an unusually large protein with a 1.2-microns polyionic rod structure. Proc. Natl. Acad. Sci. USA 1992, 89, 5472–5476. [Google Scholar] [CrossRef] [Green Version]
- Renault, L.; Nassar, N.; Vetter, I.; Becker, J.; Klebe, C.; Roth, M.; Wittinghofer, A. The 1.7 A crystal structure of the regulator of chromosome condensation (RCC1) reveals a seven-bladed propeller. Nature 1998, 392, 97–101. [Google Scholar] [CrossRef] [PubMed]
- Sondek, J.; Bohm, A.; Lambright, D.G.; Hamm, H.E.; Sigler, P.B. Crystal structure of a G-protein beta gamma dimer at 2.1 A resolution. Nature 1996, 379, 369–374. [Google Scholar] [CrossRef] [PubMed]
- ter Haar, E.; Musacchio, A.; Harrison, S.C.; Kirchhausen, T. Atomic Structure of Clathrin: A β Propeller Terminal Domain Joins an α Zigzag Linker. Cell 1998, 95, 563–573. [Google Scholar] [CrossRef] [Green Version]
- Davis, T.A.; Loos, B.; Engelbrecht, A.-M. AHNAK: The giant jack of all trades. Cell. Signal. 2014, 26, 2683–2693. [Google Scholar] [CrossRef]
- Nourry, C.; Grant, S.G.N.; Borg, J.-P. PDZ Domain Proteins: Plug and Play! Sci. STKE 2003, 179, re7. [Google Scholar] [CrossRef] [PubMed]
- Han, H.; Kursula, P. Periaxin and AHNAK nucleoprotein 2 form intertwined homodimers through domain swapping. J. Biol. Chem. 2014, 289, 14121–14131. [Google Scholar] [CrossRef] [Green Version]
- Hohaus, A.; Person, V.; Behlke, J.; Schaper, J.; Morano, I.; Haase, H. The carboxyl-terminal region of ahnak provides a link between cardiac L-type Ca2+ channels and the actin-based cytoskeleton. FASEB J. 2002, 16, 1205–1216. [Google Scholar] [CrossRef]
- Kouno, M.; Kondoh, G.; Horie, K.; Komazawa, N.; Ishii, N.; Takahashi, Y.; Takeda, J.; Hashimoto, T. Ahnak/Desmoyokin Is Dispensable for Proliferation, Differentiation, and Maintenance of Integrity in Mouse Epidermis. J. Investig. Dermatol. 2004, 123, 700–707. [Google Scholar] [CrossRef] [Green Version]
- Haase, H.; Alvarez, J.; Petzhold, D.; Doller, A.; Behlke, J.; Erdmann, J.; Hetzer, R.; Regitz-Zagrosek, V.; Vassort, G.; Morano, I. Ahnak is critical for cardiac Ca(v)1.2 calcium channel function and its β-adrenergic regulation. FASEB J. 2005, 19, 1969–1977. [Google Scholar] [CrossRef] [PubMed] [Green Version]
- Marg, A.; Haase, H.; Neumann, T.; Kouno, M.; Morano, I. AHNAK1 and AHNAK2 are costameric proteins: AHNAK1 affects transverse skeletal muscle fiber stiffness. Biochem. Biophys. Res. Commun. 2010, 401, 143–148. [Google Scholar] [CrossRef]
- Hashimoto, T.; Amagai, M.; Parry, D.A.; Dixon, T.W.; Tsukita, S.; Tsukita, S.; Miki, K.; Sakai, K.; Inokuchi, Y.; Kudoh, J. Desmoyokin, a 680 kDa keratinocyte plasma membrane-associated protein, is homologous to the protein encoded by human gene AHNAK. J. Cell. Sci. 1993, 105 Pt 2, 275–286. [Google Scholar] [CrossRef] [PubMed]
- Haase, H.; Podzuweit, T.; Lutsch, G.; Hohaus, A.; Kostka, S.; Lindschau, C.; Kott, M.; Kraft, R.; Morano, I. Signaling from beta-adrenoceptor to L-type calcium channel: Identification of a novel cardiac protein kinase A target possessing similarities to AHNAK. FASEB J. 1999, 13, 2161–2172. [Google Scholar] [CrossRef]
- Matza, D.; Badou, A.; Jha, M.K.; Willinger, T.; Antov, A.; Sanjabi, S.; Kobayashi, K.S.; Marchesi, V.T.; Flavell, R.A. Requirement for AHNAK1-mediated calcium signaling during T lymphocyte cytolysis. Proc. Natl. Acad. Sci. USA 2009, 106, 9785–9790. [Google Scholar] [CrossRef] [PubMed] [Green Version]
- Choi, E.W.; Lee, H.W.; Lee, J.S.; Kim, I.Y.; Shin, J.H.; Seong, J.K. Ahnak-knockout mice show susceptibility to Bartonella henselae infection because of CD4+ T cell inactivation and decreased cytokine secretion. BMB Rep. 2019, 52, 289–294. [Google Scholar] [CrossRef] [Green Version]
- Zhao, Z.; Xiao, S.; Yuan, X.; Yuan, J.; Zhang, C.; Li, H.; Su, J.; Wang, X.; Liu, Q. AHNAK as a Prognosis Factor Suppresses the Tumor Progression in Glioma. J. Cancer 2017, 8, 2924–2932. [Google Scholar] [CrossRef] [Green Version]
- Lee, I.H.; Sohn, M.; Lim, H.J.; Yoon, S.; Oh, H.; Shin, S.; Shin, J.H.; Oh, S.-H.; Kim, J.; Lee, D.K.; et al. Ahnak functions as a tumor suppressor via modulation of TGFβ/Smad signaling pathway. Oncogene 2014, 33, 4675–4684. [Google Scholar] [CrossRef]
- Tsai, J.H.; Yang, J. Epithelial-mesenchymal plasticity in carcinoma metastasis. Genes Dev. 2013, 27, 2192–2206. [Google Scholar] [CrossRef] [PubMed] [Green Version]
- Wang, S.; Huang, S.; Sun, Y.L. Epithelial-Mesenchymal Transition in Pancreatic Cancer: A Review. Biomed. Res. Int. 2017, 2017, 2646148. [Google Scholar] [CrossRef] [PubMed] [Green Version]
- Sohn, M.; Shin, S.; Yoo, J.-Y.; Goh, Y.; Lee, I.H.; Bae, Y.S. Ahnak promotes tumor metastasis through transforming growth factor-β-mediated epithelial-mesenchymal transition. Sci. Rep. 2018, 8, 1–10. [Google Scholar] [CrossRef] [Green Version]
- Haase, H.; Pagel, I.; Khalina, Y.; Zacharzowsky, U.; Person, V.; Lutsch, G.; Petzhold, D.; Kott, M.; Schaper, J.; Morano, I. The carboxyl-terminal ahnak domain induces actin bundling and stabilizes muscle contraction. FASEB J. 2004, 18, 839–841. [Google Scholar] [CrossRef] [Green Version]
- Sudo, H.; Tsuji, A.B.; Sugyo, A.; Abe, M.; Hino, O.; Saga, T. AHNAK is highly expressed and plays a key role in cell migration and invasion in mesothelioma. Int. J. Oncol. 2014, 44, 530–538. [Google Scholar] [CrossRef] [Green Version]
- Sun, L.; Li, K.; Liu, G.; Xu, Y.; Zhang, A.; Lin, D.; Zhang, H.; Zhao, X.; Jin, B.; Li, N.; et al. Distinctive pattern of AHNAK methylation level in peripheral blood mononuclear cells and the association with HBV-related liver diseases. Cancer Med. 2018, 7, 5178–5186. [Google Scholar] [CrossRef] [PubMed]
- Dumitru, C.A.; Bankfalvi, A.; Gu, X.; Zeidler, R.; Brandau, S.; Lang, S. AHNAK and inflammatory markers predict poor survival in laryngeal carcinoma. PLoS ONE 2013, 8, e56420. [Google Scholar] [CrossRef] [Green Version]
- Silva, T.A.; Smuczek, B.; Valadão, L.C.; Dzik, L.M.; Iglesia, R.P.; Cruz, M.C.; Zelanis, A.; de Siqueira, A.S.; Serrano, S.M.T.; Goldberg, G.S.; et al. AHNAK enables mammary carcinoma cells to produce extracellular vesicles that increase neighboring fibroblast cell motility. Oncotarget 2016, 7, 49998–50016. [Google Scholar] [CrossRef] [Green Version]
- Chen, B.; Wang, J.; Dai, D.; Zhou, Q.; Guo, X.; Tian, Z.; Huang, X.; Yang, L.; Tang, H.; Xie, X. AHNAK suppresses tumour proliferation and invasion by targeting multiple pathways in triple-negative breast cancer. J. Exp. Clin. Cancer Res. CR 2017, 36. [Google Scholar] [CrossRef] [PubMed] [Green Version]
- Benaud, C.; Gentil, B.J.; Assard, N.; Court, M.; Garin, J.; Delphin, C.; Baudier, J. AHNAK interaction with the annexin 2/S100A10 complex regulates cell membrane cytoarchitecture. J. Cell Biol. 2004, 164, 133–144. [Google Scholar] [CrossRef]
- Lee, I.H.; Lim, H.J.; Yoon, S.; Seong, J.K.; Bae, D.S.; Rhee, S.G.; Bae, Y.S. Ahnak Protein Activates Protein Kinase C (PKC) through Dissociation of the PKC-Protein Phosphatase 2A Complex. J. Biol. Chem. 2008, 283, 6312–6320. [Google Scholar] [CrossRef] [Green Version]
- Liu, Y.; Myrvang, H.K.; Dekker, L.V. Annexin A2 complexes with S100 proteins: Structure, function and pharmacological manipulation. Br. J. Pharmacol. 2015, 172, 1664–1676. [Google Scholar] [CrossRef] [Green Version]
- Jolly, C.; Winfree, S.; Hansen, B.; Steele-Mortimer, O. The Annexin A2/p11 complex is required for efficient invasion of Salmonella Typhimurium in epithelial cells: Annexin A2 is involved in Salmonella invasion. Cell Microbiol. 2014, 16, 64–77. [Google Scholar] [CrossRef] [Green Version]
- Sayeed, S.; Asano, E.; Ito, S.; Ohno, K.; Hamaguchi, M.; Senga, T. S100A10 is required for the organization of actin stress fibers and promotion of cell spreading. Mol. Cell Biochem. 2013, 374, 105–111. [Google Scholar] [CrossRef]
- Ramdas, M.; Harel, C.; Armoni, M.; Karnieli, E. AHNAK KO Mice are Protected from Diet-Induced Obesity but are Glucose Intolerant. Horm. Metab. Res. 2015, 47, 265–272. [Google Scholar] [CrossRef] [Green Version]
- Kim, I.Y.; Yi, S.S.; Shin, J.H.; Kim, Y.N.; Ko, C.-Y.; Kim, H.S.; Lee, S.Y.; Bae, Y.S.; Seong, J.K. Intensive morphometric analysis of enormous alterations in skeletal bone system with micro-CT for AHNAK−/− mice. Anat. Sci. Int. 2020. [Google Scholar] [CrossRef] [PubMed]
- Jaka, O.; Casas-Fraile, L.; López de Munain, A.; Sáenz, A. Costamere proteins and their involvement in myopathic processes. Expert Rev. Mol. Med. 2015, 17, e12. [Google Scholar] [CrossRef] [PubMed]
- Haase, N.; Rüder, C.; Haase, H.; Kamann, S.; Kouno, M.; Morano, I.; Dechend, R.; Zohlnhöfer, D.; Haase, T. Protective Function of Ahnak1 in Vascular Healing after Wire Injury. J. Vasc. Res. 2017, 54, 131–142. [Google Scholar] [CrossRef] [PubMed]
- Salim, C.; Boxberg, Y.V.; Alterio, J.; Féréol, S.; Nothias, F. The giant protein AHNAK involved in morphogenesis and laminin substrate adhesion of myelinating Schwann cells. Glia 2009, 57, 535–549. [Google Scholar] [CrossRef] [PubMed]
- Tey, S.; Shahrizaila, N.; Drew, A.P.; Samulong, S.; Goh, K.-J.; Battaloglu, E.; Atkinson, D.; Parman, Y.; Jordanova, A.; Chung, K.W.; et al. Linkage analysis and whole exome sequencing reveals AHNAK2 as a novel genetic cause for autosomal recessive CMT in a Malaysian family. Neurogenetics 2019, 20, 117–127. [Google Scholar] [CrossRef] [PubMed]
- Bird, T.D. Charcot-Marie-Tooth (CMT) Hereditary Neuropathy Overview. In GeneReviews®; Adam, M.P., Ardinger, H.H., Pagon, R.A., Wallace, S.E., Bean, L.J., Stephens, K., Amemiya, A., Eds.; University of Washington: Seattle, WA, USA, 1993. [Google Scholar]
- Maddala, R.; Skiba, N.P.; Lalane, R.; Sherman, D.L.; Brophy, P.J.; Rao, P.V. Periaxin is required for hexagonal geometry and membrane organization of mature lens fibers. Dev. Biol. 2011, 357, 179–190. [Google Scholar] [CrossRef] [PubMed] [Green Version]
- Tamirou, F.; Arnaud, L.; Talarico, R.; Scirè, C.A.; Alexander, T.; Amoura, Z.; Avcin, T.; Bortoluzzi, A.; Cervera, R.; Conti, F.; et al. Systemic lupus erythematosus: State of the art on clinical practice guidelines. RMD Open 2019, 4. [Google Scholar] [CrossRef] [PubMed]
- Wen, L.; Zhu, C.; Zhu, Z.; Yang, C.; Zheng, X.; Liu, L.; Zuo, X.; Sheng, Y.; Tang, H.; Liang, B.; et al. Exome-wide association study identifies four novel loci for systemic lupus erythematosus in Han Chinese population. Ann. Rheum. Dis. 2018, 77, 417. [Google Scholar] [CrossRef]
- Sköldberg, F.; Rönnblom, L.; Thornemo, M.; Lindahl, A.; Bird, P.I.; Rorsman, F.; Kämpe, O.; Landgren, E. Identification of AHNAK as a Novel Autoantigen in Systemic Lupus Erythematosus. Biochem. Biophys. Res. Commun. 2002, 291, 951–958. [Google Scholar] [CrossRef] [PubMed]
- Olsen, J.B.; Cao, X.-J.; Han, B.; Chen, L.H.; Horvath, A.; Richardson, T.I.; Campbell, R.M.; Garcia, B.A.; Nguyen, H. Quantitative Profiling of the Activity of Protein Lysine Methyltransferase SMYD2 Using SILAC-Based Proteomics. Mol. Cell Proteom. 2016, 15, 892–905. [Google Scholar] [CrossRef] [Green Version]
- Puckett, Y.; Garfield, K. Cancer, Pancreas. In StatPearls; StatPearls Publishing: Treasure Island, FL, USA, 2019. [Google Scholar]
- Bhasin, M.K.; Ndebele, K.; Bucur, O.; Yee, E.U.; Otu, H.H.; Plati, J.; Bullock, A.; Gu, X.; Castan, E.; Zhang, P.; et al. Meta-analysis of transcriptome data identifies a novel 5-gene pancreatic adenocarcinoma classifier. Oncotarget 2016, 7, 23263–23281. [Google Scholar] [CrossRef] [Green Version]
- Klett, H.; Fuellgraf, H.; Levit-Zerdoun, E.; Hussung, S.; Kowar, S.; Küsters, S.; Bronsert, P.; Werner, M.; Wittel, U.; Fritsch, R.; et al. Identification and Validation of a Diagnostic and Prognostic Multi-Gene Biomarker Panel for Pancreatic Ductal Adenocarcinoma. Front. Genet. 2018, 9, 108. [Google Scholar] [CrossRef] [Green Version]
- Smith, A.; Poole, L.; Dhanwada, K.; Goonesekere, N.C.W. Identification of Candidate Biomarkers and Cancer Genes AHNAK2 and EPPK1 in Pancreatic Cancer. J. Adv. Med. Med. Res. 2016, 1–8. [Google Scholar] [CrossRef]
- Almeida, P.P.; Cardoso, C.P.; de Freitas, L.M. PDAC-ANN: An artificial neural network to predict pancreatic ductal adenocarcinoma based on gene expression. BMC Cancer 2020, 20, 82. [Google Scholar] [CrossRef] [Green Version]
- Wang, M.; Li, X.; Zhang, J.; Yang, Q.; Chen, W.; Jin, W.; Huang, Y.; Yang, R.; Gao, W. AHNAK2 is a Novel Prognostic Marker and Oncogenic Protein for Clear Cell Renal Cell Carcinoma. Theranostics 2017, 7, 1100–1113. [Google Scholar] [CrossRef]
- Li, M.; Liu, Y.; Meng, Y.; Zhu, Y. AHNAK Nucleoprotein 2 Performs a Promoting Role in the Proliferation and Migration of Uveal Melanoma Cells. Cancer Biother. Radiopharm. 2019. [Google Scholar] [CrossRef] [PubMed]
- Ohmura, H.; Ito, M.; Uchino, K.; Okada, C.; Tanishima, S.; Yamada, Y.; Momosaki, S.; Komoda, M.; Kuwayama, M.; Yamaguchi, K.; et al. Methylation of drug resistance-related genes in chemotherapy-sensitive Epstein-Barr virus-associated gastric cancer. FEBS Open Bio 2019, 10, 147–157. [Google Scholar] [CrossRef] [PubMed]
- Witzke, K.E.; Großerueschkamp, F.; Jütte, H.; Horn, M.; Roghmann, F.; von Landenberg, N.; Bracht, T.; Kallenbach-Thieltges, A.; Käfferlein, H.; Brüning, T.; et al. Integrated Fourier Transform Infrared Imaging and Proteomics for Identification of a Candidate Histochemical Biomarker in Bladder Cancer. Am. J. Pathol. 2019, 189, 619–631. [Google Scholar] [CrossRef] [Green Version]
- Liu, G.; Guo, Z.; Zhang, Q.; Liu, Z.; Zhu, D. AHNAK2 Promotes Migration, Invasion, and Epithelial-Mesenchymal Transition in Lung Adenocarcinoma Cells via the TGF-β/Smad3 Pathway. Onco Targets Ther. 2020, 13, 12893–12903. [Google Scholar] [CrossRef] [PubMed]
- Zheng, M.; Liu, J.; Bian, T.; Liu, L.; Sun, H.; Zhou, H.; Zhao, C.; Yang, Z.; Shi, J.; Liu, Y. Correlation between prognostic indicator AHNAK2 and immune infiltrates in lung adenocarcinoma. Int. Immunopharmacol. 2021, 90, 107134. [Google Scholar] [CrossRef]
- Zheng, L.; Li, S.; Zheng, X.; Guo, R.; Qu, W. AHNAK2 is a novel prognostic marker and correlates with immune infiltration in papillary thyroid cancer: Evidence from integrated analysis. Int. Immunopharmacol. 2021, 90, 107185. [Google Scholar] [CrossRef]
- Ye, R.; Liu, D.; Guan, H.; AiErken, N.; Fang, Z.; Shi, Y.; Zhang, Y.; Wang, S. AHNAK2 promotes thyroid carcinoma progression by activating the NF-κB pathway. Life Sci. 2021, 286, 120032. [Google Scholar] [CrossRef]
- Yang, Z.-Q.; Liu, Y.-J.; Zhou, X.-L. An Integrated Microarray Analysis Reveals Significant Diagnostic and Prognostic Biomarkers in Pancreatic Cancer. Med. Sci. Monit. 2020, 26, e921769. [Google Scholar] [CrossRef]
- Lu, D.; Wang, J.; Shi, X.; Yue, B.; Hao, J. AHNAK2 is a potential prognostic biomarker in patients with PDAC. Oncotarget 2017, 8, 31775–31784. [Google Scholar] [CrossRef] [Green Version]
- Noon, A.P.; Zlotta, A.R. Urothelial Bladder Cancer Urinary Biomarkers. EJIFCC 2014, 25, 99–114. [Google Scholar] [PubMed]
- Mengual, L.; Burset, M.; Ribal, M.J.; Ars, E.; Marín-Aguilera, M.; Fernández, M.; Ingelmo-Torres, M.; Villavicencio, H.; Alcaraz, A. Gene expression signature in urine for diagnosing and assessing aggressiveness of bladder urothelial carcinoma. Clin. Cancer Res. 2010, 16, 2624–2633. [Google Scholar] [CrossRef] [Green Version]
- Shuch, B.; Amin, A.; Armstrong, A.J.; Eble, J.N.; Ficarra, V.; Lopez-Beltran, A.; Martignoni, G.; Rini, B.I.; Kutikov, A. Understanding pathologic variants of renal cell carcinoma: Distilling therapeutic opportunities from biologic complexity. Eur. Urol. 2015, 67, 85–97. [Google Scholar] [CrossRef] [PubMed]
- Zaidi, N.; Swinnen, J.V.; Smans, K. ATP-citrate lyase: A key player in cancer metabolism. Cancer Res. 2012, 72, 3709–3714. [Google Scholar] [CrossRef] [Green Version]
- Cancer Genome Atlas Research Network. Comprehensive molecular characterization of clear cell renal cell carcinoma. Nature 2013, 499, 43–49. [Google Scholar] [CrossRef] [Green Version]
- Jonsson, M.; Ragnum, H.B.; Julin, C.H.; Yeramian, A.; Clancy, T.; Frikstad, K.-A.M.; Seierstad, T.; Stokke, T.; Matias-Guiu, X.; Ree, A.H.; et al. Hypoxia-independent gene expression signature associated with radiosensitisation of prostate cancer cell lines by histone deacetylase inhibition. Br. J. Cancer 2016, 115, 929–939. [Google Scholar] [CrossRef] [Green Version]
- Schödel, J.; Grampp, S.; Maher, E.R.; Moch, H.; Ratcliffe, P.J.; Russo, P.; Mole, D.R. Hypoxia, Hypoxia-inducible Transcription Factors, and Renal Cancer. Eur. Urol. 2016, 69, 646–657. [Google Scholar] [CrossRef] [Green Version]
- Kim, C.M.; Vocke, C.; Torres-Cabala, C.; Yang, Y.; Schmidt, L.; Walther, M.; Linehan, W.M. Expression of hypoxia inducible factor-1alpha and 2alpha in genetically distinct early renal cortical tumors. J. Urol. 2006, 175, 1908–1914. [Google Scholar] [CrossRef]
- Li, L.; Zhang, L.; Zhang, X.; Yan, Q.; Minamishima, Y.A.; Olumi, A.F.; Mao, M.; Bartz, S.; Kaelin, W.G. Hypoxia-inducible factor linked to differential kidney cancer risk seen with type 2A and type 2B VHL mutations. Mol. Cell. Biol. 2007, 27, 5381–5392. [Google Scholar] [CrossRef] [Green Version]
- Meléndez-Rodríguez, F.; Urrutia, A.A.; Lorendeau, D.; Rinaldi, G.; Roche, O.; Böğürcü-Seidel, N.; Muelas, M.O.; Mesa-Ciller, C.; Turiel, G.; Bouthelier, A.; et al. HIF1α Suppresses Tumor Cell Proliferation through Inhibition of Aspartate Biosynthesis. Cell Rep. 2019, 26, 2257–2265.e4. [Google Scholar] [CrossRef] [PubMed] [Green Version]
- Shen, C.; Beroukhim, R.; Schumacher, S.E.; Zhou, J.; Chang, M.; Signoretti, S.; Kaelin, W.G. Genetic and functional studies implicate HIF1α as a 14q kidney cancer suppressor gene. Cancer Discov. 2011, 1, 222–235. [Google Scholar] [CrossRef] [PubMed] [Green Version]
- Marie-Egyptienne, D.T.; Lohse, I.; Hill, R.P. Cancer stem cells, the epithelial to mesenchymal transition (EMT) and radioresistance: Potential role of hypoxia. Cancer Lett. 2013, 341, 63–72. [Google Scholar] [CrossRef] [PubMed]
- Zheng, X.; Carstens, J.L.; Kim, J.; Scheible, M.; Kaye, J.; Sugimoto, H.; Wu, C.-C.; LeBleu, V.S.; Kalluri, R. EMT Program is Dispensable for Metastasis but Induces Chemoresistance in Pancreatic Cancer. Nature 2015, 527, 525–530. [Google Scholar] [CrossRef] [PubMed] [Green Version]
- Janku, F.; Yap, T.A.; Meric-Bernstam, F. Targeting the PI3K pathway in cancer: Are we making headway? Nat. Rev. Clin. Oncol. 2018, 15, 273–291. [Google Scholar] [CrossRef]
- Zhou, Y.-Y.; Kang, Y.-T.; Chen, C.; Xu, F.-F.; Wang, H.-N.; Jin, R. Combination of TNM staging and pathway based risk score models in patients with gastric cancer. J. Cell. Biochem. 2018, 119, 3608–3617. [Google Scholar] [CrossRef]
- Saito, M.; Fujiwara, Y.; Asao, T.; Honda, T.; Shimada, Y.; Kanai, Y.; Tsuta, K.; Kono, K.; Watanabe, S.; Ohe, Y.; et al. The genomic and epigenomic landscape in thymic carcinoma. Carcinogenesis 2017, 38, 1084–1091. [Google Scholar] [CrossRef] [PubMed]
- Malouf, G.G.; Dohan, A.; Yao, H.; Mouawad, R.; Carapito, R.; Bahram, S.; Khayat, I.C.M.; Kurtz, J.-E.; Su, X.; Pocard, M. Comprehensive characterization of pseudomyxoma peritonei. JCO 2019, 37, e15701. [Google Scholar] [CrossRef]
- Kirov, A.; Kacer, D.; Conley, B.A.; Vary, C.P.H.; Prudovsky, I. AHNAK2 Participates in the Stress-Induced Nonclassical FGF1 Secretion Pathway. J. Cell. Biochem. 2015, 116, 1522–1531. [Google Scholar] [CrossRef] [Green Version]
- Carter, E.P.; Fearon, A.E.; Grose, R.P. Careless talk costs lives: Fibroblast growth factor receptor signalling and the consequences of pathway malfunction. Trends Cell Biol. 2015, 25, 221–233. [Google Scholar] [CrossRef]
- Grose, R.; Dickson, C. Fibroblast growth factor signaling in tumorigenesis. Cytokine Growth Factor Rev. 2005, 16, 179–186. [Google Scholar] [CrossRef]
- Hashimoto, T.; Gamou, S.; Shimizu, N.; Kitajima, Y.; Nishikawa, T. Regulation of Translocation of the Desmoyokin/AHNAK Protein to the Plasma Membrane in Keratinocytes by Protein Kinase C. Exp. Cell Res. 1995, 217, 258–266. [Google Scholar] [CrossRef]
- De Seranno, S.; Benaud, C.; Assard, N.; Khediri, S.; Gerke, V.; Baudier, J.; Delphin, C. Identification of an AHNAK binding motif specific for the Annexin2/S100A10 tetramer. J. Biol. Chem. 2006, 281, 35030–35038. [Google Scholar] [CrossRef] [Green Version]
- Siegel, R.L.; Miller, K.D.; Jemal, A. Cancer statistics, 2019. CA A Cancer J. Clin. 2019, 69, 7–34. [Google Scholar] [CrossRef] [Green Version]
- Kim, M.J.; Sun, H.J.; Song, Y.S.; Yoo, S.; Kim, Y.A.; Seo, J.-S.; Park, Y.J.; Cho, S.W. CXCL16 positively correlated with M2-macrophage infiltration, enhanced angiogenesis, and poor prognosis in thyroid cancer. Sci. Rep. 2019, 9, 13288. [Google Scholar] [CrossRef] [PubMed] [Green Version]
- Liotti, F.; Visciano, C.; Melillo, R.M. Inflammation in thyroid oncogenesis. Am. J. Cancer Res. 2012, 2, 286–297. [Google Scholar] [PubMed]
- Xie, Z.; Lun, Y.; Li, X.; He, Y.; Wu, S.; Wang, S.; Sun, J.; He, Y.; Zhang, J. Bioinformatics analysis of the clinical value and potential mechanisms of AHNAK2 in papillary thyroid carcinoma. Aging (Albany NY) 2020, 12, 18163–18180. [Google Scholar] [CrossRef] [PubMed]
- Hirsch, F.R.; Scagliotti, G.V.; Mulshine, J.L.; Kwon, R.; Curran, W.J.; Wu, Y.-L.; Paz-Ares, L. Lung cancer: Current therapies and new targeted treatments. Lancet 2017, 389, 299–311. [Google Scholar] [CrossRef]



| Cancer | Type of Study | Experimental Environment | Findings | Reference |
|---|---|---|---|---|
| PDAC | mRNA microarray analysis | In silico analysis of microarray data from PDAC datasets | 1. Part of a 5-gene panel that differentiated between PDAC, early precursor lesions, and non-malignant tissue. | Bhasin et al. 2016 [48] |
| PDAC | mRNA microarray analysis with in-vitro studies | In silico analysis of microarray data from PDAC datasets with qPCR and immunohistochemistry | 1. Part of a 17-gene panel that discriminated between PDAC and non-tumour tissue in FFPE and fresh frozen tissue. 2. High protein expression in PDAC versus non-tumour tissue. | Klett et al. 2018 [49] |
| PDAC | mRNA microarray analysis | In silico analysis of microarray data from PDAC datasets | 1. Part of a 7-gene panel differentiating between PDAC and normal tissue with a significant association with poor prognosis. | Almeida et al. 2020 [51] |
| ccRCC | mRNA microarray analysis with in-vivo and in-vitro studies | qPCR of ccRCC cell lines versus non-tumour cell lines with knockdown studies of EMT, hypoxia, and fatty acid synthesis | 1. High expression in ccRCC samples versus non-tumour tissue. 2. Increased tumour proliferation, tumorigenesis, colony formation, and migration. 3.Upregulation in hypoxia with increased EMT and increased lipid droplets, compared to knockdown. | Wang et al. 2017 [52] |
| UM | mRNA microarray analysis with in-vitro studies | qPCR of UM cell lines versus non-tumour cell lines and knockdown studies | 1. High expression associated with shorter overall survival time in UM with inhibition of the PI3K signalling pathway and increased proliferation, migration, and invasiveness of cell lines versus knockdown. | Li et al. 2019 [53] |
| GC | DNA methylation analysis | Immunohistochemistry and DNA methylation status of gastric cancer cell lines | 1. Higher methylation in EBVGC cells compared to normal GC with a connection to 5-fluorouracil and cisplatin resistance. | Ohmura et al. 2019 [54] |
| BC | Proteomics study | Label-free Fourier transform infrared liquid chromatography-tandem mass spectrometry proteomic analysis of bladder cancer, urocystitis, and reactive urothelial atypia tissue. | 1. Potential biomarker for bladder cancer, which can differentiate between urocystitis and low-grade carcinoma with invasive high-grade bladder carcinoma when tissue is stained for AHNAK2. | Witzke et al. 2019 [55] |
| LUAD | mRNA microarray analysis with in vitro studies | In silico analysis of microarray data for LUAD at TCGA, CPTAC, GEO and GTEx datasets of lung tissue samples with in vitro studies | 1. AHNAK2 expression is upregulated in tumour samples. 2. Silencing AHNAK2 inhibits migration, invasion, and EMT in lung adenocarcinoma cells by repressing the TGF-β/Smad3 pathway. | Liu et al. 2020 [56] |
| LUAD | mRNA microarray analysis | In silico analysis of microarray data from lung adenocarcinoma datasets with tumour-immune estimation resource analysis. | 1. Significantly overexpressed in lung adenocarcinoma and found to be an independent prognostic factor. 2. Negatively correlated to activated B cells and CD8+ T cells, while positively correlated to CD4+ T cells and tumour-associated macrophages. | Zheng et al. 2021 [57] |
| PTC | mRNA microarray analysis with in vitro studies | In silico analysis of microarray data from GEO, Oncomine, TCGA, and HPA datasets. IHC staining analysis and tumour immune estimation resource analysis. | 1. Upregulation is significantly correlated to poor survival, advanced stage and grade. 2. Positive correlation with and B-cell, CD4+ T cell, macrophage, neutrophil, and dendritic cell infiltration. | Zheng et al. 2021 [58] |
| TC | mRNA microarray analysis with in vitro studies | In silico analysis of microarray data from TCGA. In-vitro studies of TC cell lines. | 1. AHNAK2 is associated with a poor clinical outcome. 2. Inhibition of AHNAK2 suppresses the NF-κB pathway. | Ye et al. 2021 [59] |
| Cancer | Signalling Pathway | Interaction with AHNAK2 | Reference |
|---|---|---|---|
| ccRCC | (1) HIF-1 signalling pathway (2) Fatty acid and lipid synthesis | (1) AHNAK2 upregulated in hypoxia in a HIF-1α-dependent manner. (2) AHNAK2 upregulates ACLY, ACC, and FASN. | Wang et al. 2017 [52] |
| UM | (1) PI3k/AKT pathway | (1) AHNAK2 upregulates p-PI3k and p-AKT expression. | Li et al. 2019 [53] |
| LUAD | (1) TGF-β/Smad3 pathway | (1) AHNAK2 upregulates the TGF-β/Smad3 pathway through increasing the expression of p-Smad3. | Liu et al. 2020 [56] |
| TC | (1) NF-κB pathway | (1) AHNAK2 upregulates the translocation of the NF-κB p65 subunit into the nucleus and the phosphorylation of IKKβ, resulting in upregulation of the NF-κB pathway. | Ye et al. 2021 [59] |
Publisher’s Note: MDPI stays neutral with regard to jurisdictional claims in published maps and institutional affiliations. |
© 2022 by the authors. Licensee MDPI, Basel, Switzerland. This article is an open access article distributed under the terms and conditions of the Creative Commons Attribution (CC BY) license (https://creativecommons.org/licenses/by/4.0/).
Share and Cite
Zardab, M.; Stasinos, K.; Grose, R.P.; Kocher, H.M. The Obscure Potential of AHNAK2. Cancers 2022, 14, 528. https://doi.org/10.3390/cancers14030528
Zardab M, Stasinos K, Grose RP, Kocher HM. The Obscure Potential of AHNAK2. Cancers. 2022; 14(3):528. https://doi.org/10.3390/cancers14030528
Chicago/Turabian StyleZardab, Mohamed, Konstantinos Stasinos, Richard P. Grose, and Hemant M. Kocher. 2022. "The Obscure Potential of AHNAK2" Cancers 14, no. 3: 528. https://doi.org/10.3390/cancers14030528
APA StyleZardab, M., Stasinos, K., Grose, R. P., & Kocher, H. M. (2022). The Obscure Potential of AHNAK2. Cancers, 14(3), 528. https://doi.org/10.3390/cancers14030528

