The Riddle of Cetuximab-Related Skin Toxicity: 1H-NMR Sebum Analysis Revealed Dynamic Lipid Alterations Associated with Skin Toxicity Development in Metastatic Colorectal Cancer Patients
Abstract
Simple Summary
Abstract
1. Introduction
2. Materials and Methods
2.1. Characteristics of Patients
2.2. Sebum Sampling
2.3. Extraction of Sebum Lipids
2.4. 1H-NMR Analysis of Sebum Lipids
2.5. Statistics
3. Results
3.1. 1H-NMR Analysis of Sebum Lipids
3.2. Sebum Production
3.3. Sebum Lipid Composition
3.4. Effect of Cetuximab Treatment on Sebum Production
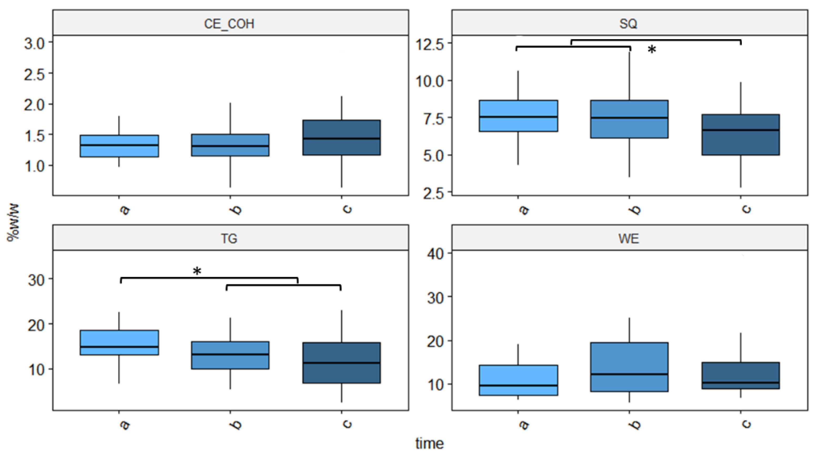
3.5. Effect of Cetuximab Treatment on Sebum Lipid Composition
3.6. Skin Rash Grade as Function of the Different Chemotherapy Regimens
3.7. Skin Rash Grade as Function of Patients’ Sex and Age
3.8. Skin Rash Grade and Sebum Alterations
4. Discussion
5. Conclusions
Supplementary Materials
Author Contributions
Funding
Institutional Review Board Statement
Informed Consent Statement
Data Availability Statement
Acknowledgments
Conflicts of Interest
References
- Dancey, J.; Sausville, E.A. Issues and Progress with Protein Kinase Inhibitors for Cancer Treatment. Nat. Rev. Drug Discov. 2003, 2, 296–313. [Google Scholar] [CrossRef] [PubMed]
- Peréz-Soler, R.; Saltz, L. Cutaneous Adverse Effects With HER1/EGFR-Targeted Agents: Is There a Silver Lining? J. Clin. Oncol. 2005, 23, 5235–5246. [Google Scholar] [CrossRef]
- Fabbrocini, G.; Panariello, L.; Caro, G.; Cacciapuoti, S. Acneiform Rash Induced by EGFR Inhibitors: Review of the Literature and New Insights. Ski. Appendage Disord. 2015, 1, 31–37. [Google Scholar] [CrossRef]
- Melosky, B.; Burkes, R.; Rayson, D.; Alcindor, T.; Shear, N.; Lacouture, M. Management of Skin Rash during Egfr-Targeted Monoclonal Antibody Treatment for Gastrointestinal Malignancies: Canadian Recommendations. Curr. Oncol. 2009, 16, 16–26. [Google Scholar] [CrossRef] [PubMed]
- Su, X.; Lacouture, M.E.; Jia, Y.; Wu, S. Risk of High-Grade Skin Rash in Cancer Patients Treated with Cetuximab & Ndash; an Antibody against Epidermal Growth Factor Receptor: Systemic Review and Meta-Analysis. Oncology 2009, 77, 124–133. [Google Scholar] [PubMed]
- Miettinen, P.J.; Berger, J.E.; Meneses, J.; Phung, Y.; Pedersen, R.A.; Werb, Z.; Derynck, R. Epithelial Immaturity and Multiorgan Failure in Mice Lacking Epidermal Growth Factor Receptor. Nature 1995, 376, 337–341. [Google Scholar] [CrossRef] [PubMed]
- Wacker, B.; Nagrani, T.; Weinberg, J.; Witt, K.; Clark, G.; Cagnoni, P.J. Correlation between Development of Rash and Efficacy in Patients Treated with the Epidermal Growth Factor Receptor Tyrosine Kinase Inhibitor Erlotinib in Two Large Phase III Studies. Clin. Cancer Res. 2007, 13, 3913–3921. [Google Scholar] [CrossRef] [PubMed]
- Robosky, L.C.; Wade, K.; Woolson, D.; Baker, J.D.; Manning, M.L.; Gage, D.A.; Reily, M.D. Quantitative Evaluation of Sebum Lipid Components with Nuclear Magnetic Resonance. J. Lipid Res. 2008, 49, 686–692. [Google Scholar] [CrossRef]
- National Cancer Institute. Available online: https://ctep.cancer.gov/protocoldevelopment/electronic_applications/ctc.htm (accessed on 6 January 2022).
- Miller, D.L. Sebum Collection and Monitoring Means and Method. U.S. Patent 4532937A, 6 August 1985. [Google Scholar]
- Lu, G.W.; Valiveti, S.; Spence, J.; Zhuang, C.; Robosky, L.; Wade, K.; Love, A.; Hu, L.-Y.; Pole, D.; Mollan, M. Comparison of Artificial Sebum with Human and Hamster Sebum Samples. Int. J. Pharm. 2009, 367, 37–43. [Google Scholar] [CrossRef]
- Mudgil, P.; Borchman, D.; Gerlach, D.; Yappert, M.C. Sebum/Meibum Surface Film Interactions and Phase Transitional Differences. Invest. Ophthalmol. Vis. Sci. 2016, 57, 2401–2411. [Google Scholar] [CrossRef]
- Ludovici, M.; Kozul, N.; Materazzi, S.; Risoluti, R.; Picardo, M.; Camera, E. Influence of the Sebaceous Gland Density on the Stratum Corneum Lipidome. Sci. Rep. 2018, 8, 11500. [Google Scholar] [CrossRef] [PubMed]
- Camera, E.; Ludovici, M.; Galante, M.; Sinagra, J.-L.; Picardo, M. Comprehensive Analysis of the Major Lipid Classes in Sebum by Rapid Resolution High-Performance Liquid Chromatography and Electrospray Mass Spectrometry. J. Lipid Res. 2010, 51, 3377–3388. [Google Scholar] [CrossRef] [PubMed]
- Borchman, D.; Foulks, G.N.; Yappert, M.C.; Milliner, S.E. Changes in Human Meibum Lipid Composition with Age Using Nuclear Magnetic Resonance Spectroscopy. Investig. Ophthalmol. Vis. Sci. 2012, 53, 475–482. [Google Scholar] [CrossRef]
- Pappas, A. Epidermal Surface Lipids. Derm.-Endocrinol. 2009, 1, 72–76. [Google Scholar] [CrossRef]
- Chen, F.; Hu, X.; He, Y.; Huang, D. Lipidomics Demonstrates the Association of Sex Hormones with Sebum. J. Cosmet. Dermatol. 2021, 20, 2015–2019. [Google Scholar] [CrossRef]
- Davis, S.R.; Lambrinoudaki, I.; Lumsden, M.; Mishra, G.D.; Pal, L.; Rees, M.; Santoro, N.; Simoncini, T. Menopause. Nat. Rev. Dis. Primers 2015, 1, 15004. [Google Scholar] [CrossRef]
- Vaule, H.; Leonard, S.W.; Traber, M.G. Vitamin E Delivery to Human Skin: Studies Using Deuterated α-Tocopherol Measured by APCI LC-MS. Free Radic. Biol. Med. 2004, 36, 456–463. [Google Scholar] [CrossRef]
- Larsen, H.M.; Thode, M.; Dieperink, K.B.; Bjerregaard, J.; Pfeiffer, P. Nursing Interventions to Minimize Cetuximab-Induced Dermatologic Toxicity. Clin. Nurs. Stud. 2017, 5, 45. [Google Scholar] [CrossRef][Green Version]
- Nakahara, T.; Moroi, Y.; Takayama, K.; Itoh, E.; Kido-Nakahara, M.; Nakanishi, Y.; Furue, M. Changes in Sebum Levels and the Development of Acneiform Rash in Patients Non-Small Cell Lung Cancer after Treatment with EGFR Inhibitors. OncoTargets Ther. 2015, 8, 259–263. [Google Scholar]
- Watanabe, S.; Nakamura, M.; Takahashi, H.; Hara, M.; Ijichi, K.; Kawakita, D.; Morita, A. Dermopathy Associated with Cetuximab and Panitumumab: Investigation of the Usefulness of Moisturizers in Its Management. Clin. Cosmet. Investig. Dermatol. 2017, 10, 353–361. [Google Scholar] [CrossRef][Green Version]
- Lacouture, M.E. Mechanisms of Cutaneous Toxicities to EGFR Inhibitors. Nat. Rev. Cancer 2006, 6, 803–812. [Google Scholar] [CrossRef] [PubMed]
- Guttman-Yassky, E.; Mita, A.; de Jonge, M.; Matthews, L.; McCarthy, S.; Iwata, K.K.; Verweij, J.; Rowinsky, E.K.; Krueger, J.G. Characterisation of the Cutaneous Pathology in Non-Small Cell Lung Cancer (NSCLC) Patients Treated with the EGFR Tyrosine Kinase Inhibitor Erlotinib. Eur. J. Cancer 2010, 46, 2010–2019. [Google Scholar] [CrossRef]
- Jung, Y.R.; Lee, J.-H.; Sohn, K.-C.; Lee, Y.; Seo, Y.-J.; Kim, C.-D.; Lee, J.-H.; Hong, S.-P.; Seo, S.-J.; Kim, S.-J.; et al. Adiponectin Signaling Regulates Lipid Production in Human Sebocytes. PLoS ONE 2017, 12, e0169824. [Google Scholar] [CrossRef]
- Chen, Y.E.; Fischbach, M.A.; Belkaid, Y. Skin Microbiota–Host Interactions. Nature 2018, 553, 427–436. [Google Scholar] [CrossRef]
- Mascia, F.; Lam, G.; Keith, C.; Garber, C.; Steinberg, S.M.; Kohn, E.; Yuspa, S.H. Genetic Ablation of Epidermal EGFR Reveals the Dynamic Origin of Adverse Effects of Anti-EGFR Therapy. Sci. Transl. Med. 2013, 5, 199. [Google Scholar] [CrossRef] [PubMed]
- Satoh, T.K.; Mellett, M.; Meier-Schiesser, B.; Fenini, G.; Otsuka, A.; Beer, H.-D.; Rordorf, T.; Maul, J.-T.; Hafner, J.; Navarini, A.A.; et al. IL-36γ Drives Skin Toxicity Induced by EGFR/MEK Inhibition and Commensal Cutibacterium Acnes. J. Clin. Investig. 2020, 130, 1417–1430. [Google Scholar] [CrossRef]
- Higaki, S.; Kitagawa, T.; Kagoura, M.; Morohashi, M.; Yamagishi, T. Correlation between Propionibacterium Acnes Biotypes, Lipase Activity and Rash Degree in Acne Patients. J. Dermatol. 2000, 27, 519–522. [Google Scholar] [CrossRef] [PubMed]
- Nagy, I.; Pivarcsi, A.; Kis, K.; Koreck, A.; Bodai, L.; McDowell, A.; Seltmann, H.; Patrick, S.; Zouboulis, C.C.; Kemény, L. Propionibacterium Acnes and Lipopolysaccharide Induce the Expression of Antimicrobial Peptides and Proinflammatory Cytokines/Chemokines in Human Sebocytes. Microbes Infect. 2006, 8, 2195–2205. [Google Scholar] [CrossRef]
- Pham, D.-M.; Boussouira, B.; Moyal, D.; Nguyen, Q.L. Oxidization of Squalene, a Human Skin Lipid: A New and Reliable Marker of Environmental Pollution Studies. Int. J. Cosmet. Sci. 2015, 37, 357–365. [Google Scholar] [CrossRef] [PubMed]
- Boussouira, B.; Pham, D.M. Squalene and Skin Barrier Function: From Molecular Target to Biomarker of Environmental Exposure. In Skin Stress Response Pathways; Springer International Publishing: Cham, Switzerland, 2016; pp. 29–48. [Google Scholar]
- Ottaviani, M.; Alestas, T.; Flori, E.; Mastrofrancesco, A.; Zouboulis, C.C.; Picardo, M. Peroxidated Squalene Induces the Production of Inflammatory Mediators in HaCaT Keratinocytes: A Possible Role in Acne Vulgaris. J. Investig. Dermatol. 2006, 126, 2430–2437. [Google Scholar] [CrossRef]
- Motoyoshi, K. Enhanced Comedo Formation in Rabbit Ear Skin by Squalene and Oleic Acid Peroxides. Br. J. Dermatol. 1983, 109, 191–198. [Google Scholar] [CrossRef] [PubMed]
- Tascini, A.S.; Noro, M.G.; Chen, R.; Seddon, J.M.; Bresme, F. Understanding the Interactions between Sebum Triglycerides and Water: A Molecular Dynamics Simulation Study. Phys. Chem. Phys. 2018, 20, 1848–1860. [Google Scholar] [CrossRef] [PubMed]
- Sugawara, T.; Nakagawa, N.; Shimizu, N.; Hirai, N.; Saijo, Y.; Sakai, S. Gender- and Age-related Differences in Facial Sebaceous Glands in Asian Skin, as Observed by Non-invasive Analysis Using Three-dimensional Ultrasound Microscopy. Skin Res. Technol. 2019, 25, 347–354. [Google Scholar] [CrossRef] [PubMed]
- Viegas, S.; Ladeira, C.; Costa-Veiga, A.; Perelman, J.; Gajski, G. Forgotten public health impacts of cancer—An overview. Arch. Ind. Hyg. Toxicol. 2017, 68, 287–297. [Google Scholar] [CrossRef] [PubMed]







| Characteristics | n (%) |
|---|---|
| Mean age (range) | 60 (43–77) |
| Sex | |
| female | 10 (33%) |
| male | 20 (67%) |
| Chemotherapy | |
| FOLFIRI | 20 (67%) |
| CAPIRI | 3 (10%) |
| FOLFOX | 7 (23%) |
| Skin rash grade | |
| G0 | 1 (3%) |
| G1 | 14 (47%) |
| G2 | 7 (23%) |
| G3 | 8 (27%) |
| M | F | ||
|---|---|---|---|
| irinotecan-based | |||
| G0 | 0 | 0 | |
| G1 | 6 (40%) | 5 (63%) | |
| G2 | 5 (33%) | 1 (12%) | |
| G3 | 4 (27%) | 2 (25%) | |
| oxaliplatin-based | |||
| G0 | 1 (20%) | 0 | |
| G1 | 2 (40%) | 1 (50%) | |
| G2 | 1 (20%) | 0 | |
| G3 | 1 (20%) | 1 (50%) | |
Publisher’s Note: MDPI stays neutral with regard to jurisdictional claims in published maps and institutional affiliations. |
© 2022 by the authors. Licensee MDPI, Basel, Switzerland. This article is an open access article distributed under the terms and conditions of the Creative Commons Attribution (CC BY) license (https://creativecommons.org/licenses/by/4.0/).
Share and Cite
Saorin, A.; Di Gregorio, E.; Buonadonna, A.; Miolo, G.; Corona, G. The Riddle of Cetuximab-Related Skin Toxicity: 1H-NMR Sebum Analysis Revealed Dynamic Lipid Alterations Associated with Skin Toxicity Development in Metastatic Colorectal Cancer Patients. Cancers 2022, 14, 5308. https://doi.org/10.3390/cancers14215308
Saorin A, Di Gregorio E, Buonadonna A, Miolo G, Corona G. The Riddle of Cetuximab-Related Skin Toxicity: 1H-NMR Sebum Analysis Revealed Dynamic Lipid Alterations Associated with Skin Toxicity Development in Metastatic Colorectal Cancer Patients. Cancers. 2022; 14(21):5308. https://doi.org/10.3390/cancers14215308
Chicago/Turabian StyleSaorin, Asia, Emanuela Di Gregorio, Angela Buonadonna, Gianmaria Miolo, and Giuseppe Corona. 2022. "The Riddle of Cetuximab-Related Skin Toxicity: 1H-NMR Sebum Analysis Revealed Dynamic Lipid Alterations Associated with Skin Toxicity Development in Metastatic Colorectal Cancer Patients" Cancers 14, no. 21: 5308. https://doi.org/10.3390/cancers14215308
APA StyleSaorin, A., Di Gregorio, E., Buonadonna, A., Miolo, G., & Corona, G. (2022). The Riddle of Cetuximab-Related Skin Toxicity: 1H-NMR Sebum Analysis Revealed Dynamic Lipid Alterations Associated with Skin Toxicity Development in Metastatic Colorectal Cancer Patients. Cancers, 14(21), 5308. https://doi.org/10.3390/cancers14215308

