Prognostic Value and Quantitative CT Analysis in RANKL Expression of Spinal GCTB in the Denosumab Era: A Machine Learning Approach
Abstract
Simple Summary
Abstract
1. Introduction
2. Materials and Methods
2.1. Patients
2.2. Immunohistochemistry (IHC) Analysis
2.3. Postoperative Follow-Up and Clinical Data
2.4. Computed Tomography Imaging and Multiregional Labeling
2.5. Radiomics Feature Extraction and Preprocessing
2.6. Feature Selection and Machine Learning Analysis Strategy
2.7. Statistical Analysis
3. Results
3.1. Patient Information
3.2. Feature Robustness for Multiregional VOIs
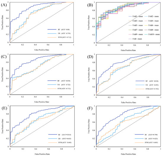
3.3. Performance of Models Based on Different Classifiers
3.4. Performance and Validation of the Final Prediction Models
4. Discussion
5. Conclusions
Supplementary Materials
Author Contributions
Funding
Institutional Review Board Statement
Informed Consent Statement
Data Availability Statement
Acknowledgments
Conflicts of Interest
References
- Casimiro, S.; Vilhais, G.; Gomes, I.; Costa, L. The Roadmap of RANKL/RANK Pathway in Cancer. Cells 2021, 10, 1978. [Google Scholar] [CrossRef]
- Dougall, W.C. Molecular pathways: Osteoclast-dependent and osteoclast-independent roles of the RANKL/RANK/OPG pathway in tumorigenesis and metastasis. Clin. Cancer Res. 2012, 18, 326–335. [Google Scholar] [CrossRef] [PubMed]
- Quattrini, I.; Pollino, S.; Pazzaglia, L.; Conti, A.; Novello, C.; Ferrari, C.; Pignotti, E.; Picci, P.; Benassi, M.S. Prognostic role of nuclear factor/IB and bone remodeling proteins in metastatic giant cell tumor of bone: A retrospective study. J. Orthop. Res. Off. Publ. Orthop. Res. Soc. 2015, 33, 1205–1211. [Google Scholar] [CrossRef] [PubMed]
- Chawla, S.; Blay, J.Y.; Rutkowski, P.; Le Cesne, A.; Reichardt, P.; Gelderblom, H.; Grimer, R.J.; Choy, E.; Skubitz, K.; Seeger, L.; et al. Denosumab in patients with giant-cell tumour of bone: A multicentre, open-label, phase 2 study. Lancet Oncol. 2019, 20, 1719–1729. [Google Scholar] [CrossRef]
- Tsukamoto, S.; Mavrogenis, A.F.; Kido, A.; Errani, C. Current Concepts in the Treatment of Giant Cell Tumors of Bone. Cancers 2021, 13, 3647. [Google Scholar] [CrossRef]
- Bukata, S.V.; Blay, J.Y.; Rutkowski, P.; Skubitz, K.; Henshaw, R.; Seeger, L.; Dai, T.; Jandial, D.; Chawla, S. Denosumab Treatment for Giant Cell Tumor of the Spine Including the Sacrum. Spine 2021, 46, 277–284. [Google Scholar] [CrossRef]
- Chen, X.; Li, H.; Zhu, S.; Wang, Y.; Qian, W. Pre-operative denosumab is associated with higher risk of local recurrence in giant cell tumor of bone: A systematic review and meta-analysis. BMC Musculoskelet. Disord. 2020, 21, 256. [Google Scholar] [CrossRef]
- Palmerini, E.; Chawla, N.S.; Ferrari, S.; Sudan, M.; Picci, P.; Marchesi, E.; Leopardi, M.P.; Syed, I.; Sankhala, K.K.; Parthasarathy, P.; et al. Denosumab in advanced/unresectable giant-cell tumour of bone (GCTB): For how long? Eur. J. Cancer 2017, 76, 118–124. [Google Scholar] [CrossRef]
- Asano, N.; Saito, M.; Kobayashi, E.; Morii, T.; Kikuta, K.; Watanabe, I.; Anazawa, U.; Takeuchi, K.; Suzuki, Y.; Susa, M.; et al. Preoperative Denosumab Therapy Against Giant Cell Tumor of Bone is Associated with an Increased Risk of Local Recurrence After Curettage Surgery. Ann. Surg. Oncol. 2022, 29, 3992–4000. [Google Scholar] [CrossRef]
- Allard, B.; Aspeslagh, S.; Garaud, S.; Dupont, F.A.; Solinas, C.; Kok, M.; Routy, B.; Sotiriou, C.; Stagg, J.; Buisseret, L. Immuno-oncology-101: Overview of major concepts and translational perspectives. Semin. Cancer Biol. 2018, 52, 1–11. [Google Scholar] [CrossRef] [PubMed]
- Kang, C.Y.; Duarte, S.E.; Kim, H.S.; Kim, E.; Park, J.; Lee, A.D.; Kim, Y.; Kim, L.; Cho, S.; Oh, Y.; et al. Artificial Intelligence-based Radiomics in the Era of Immuno-oncology. Oncologist 2022, 27, e471–e483. [Google Scholar] [CrossRef] [PubMed]
- Von Schacky, C.E.; Wilhelm, N.J.; Schafer, V.S.; Leonhardt, Y.; Gassert, F.G.; Foreman, S.C.; Gassert, F.T.; Jung, M.; Jungmann, P.M.; Russe, M.F.; et al. Multitask Deep Learning for Segmentation and Classification of Primary Bone Tumors on Radiographs. Radiology 2021, 301, 398–406. [Google Scholar] [CrossRef] [PubMed]
- Avanzo, M.; Wei, L.; Stancanello, J.; Vallieres, M.; Rao, A.; Morin, O.; Mattonen, S.A.; El Naqa, I. Machine and deep learning methods for radiomics. Med. Phys. 2020, 47, e185–e202. [Google Scholar] [CrossRef]
- Limkin, E.J.; Sun, R.; Dercle, L.; Zacharaki, E.I.; Robert, C.; Reuze, S.; Schernberg, A.; Paragios, N.; Deutsch, E.; Ferte, C. Promises and challenges for the implementation of computational medical imaging (radiomics) in oncology. Ann. Oncol. 2017, 28, 1191–1206. [Google Scholar] [CrossRef]
- Peduzzi, P.; Concato, J.; Feinstein, A.R.; Holford, T.R. Importance of events per independent variable in proportional hazards regression analysis. II. Accuracy and precision of regression estimates. J. Clin. Epidemiol. 1995, 48, 1503–1510. [Google Scholar] [CrossRef]
- De Groot, A.F.; Appelman-Dijkstra, N.M.; van der Burg, S.H.; Kroep, J.R. The anti-tumor effect of RANKL inhibition in malignant solid tumors—A systematic review. Cancer Treat. Rev. 2018, 62, 18–28. [Google Scholar] [CrossRef] [PubMed]
- Renema, N.; Navet, B.; Heymann, M.F.; Lezot, F.; Heymann, D. RANK-RANKL signalling in cancer. Biosci. Rep. 2016, 36, e00366. [Google Scholar] [CrossRef]
- Gonzalez-Suarez, E.; Sanz-Moreno, A. RANK as a therapeutic target in cancer. Febs J. 2016, 283, 2018–2033. [Google Scholar] [CrossRef] [PubMed]
- McGrath, E.E. OPG/RANKL/RANK Pathway as a Therapeutic Target in Cancer. J. Thorac. Oncol. 2011, 6, 1468–1473. [Google Scholar] [CrossRef] [PubMed]
- Van Dam, P.A.; Verhoeven, Y.; Trinh, X.B.; Wouters, A.; Lardon, F.; Prenen, H.; Smits, E.; Baldewijns, M.; Lammens, M. RANK/RANKL signaling inhibition may improve the effectiveness of checkpoint blockade in cancer treatment. Crit. Rev. Oncol. Hemat. 2019, 133, 85–91. [Google Scholar] [CrossRef] [PubMed]
- Ghani, S.A.; Wan Ismail, W.F.; Md Salleh, M.S.; Yahaya, S.; Syahrul Fitri, Z.M. The Values of Receptor Activator Nuclear Kappa-B Ligand Expression in Stage III Giant Cell Tumor of the Bone. Indian J. Orthop. 2018, 52, 31–34. [Google Scholar] [CrossRef] [PubMed]
- El Naqa, I.; Ten Haken, R.K. Can radiomics personalise immunotherapy? Lancet Oncol. 2018, 19, 1138–1139. [Google Scholar] [CrossRef]
- Gillies, R.J.; Anderson, A.R.; Gatenby, R.A.; Morse, D.L. The biology underlying molecular imaging in oncology: From genome to anatome and back again. Clin. Radiol. 2010, 65, 517–521. [Google Scholar] [CrossRef]
- Calabrese, E.; Rudie, J.D.; Rauschecker, A.M.; Villanueva-Meyer, J.E.; Clarke, J.L.; Solomon, D.A.; Cha, S. Combining radiomics and deep convolutional neural network features from preoperative MRI for predicting clinically relevant genetic biomarkers in glioblastoma. Neurooncol. Adv. 2022, 4, vdac060. [Google Scholar] [CrossRef] [PubMed]
- Chen, H.; Lin, F.; Zhang, J.; Lv, X.; Zhou, J.; Li, Z.C.; Chen, Y. Deep Learning Radiomics to Predict PTEN Mutation Status From Magnetic Resonance Imaging in Patients With Glioma. Front. Oncol. 2021, 11, 734433. [Google Scholar] [CrossRef]
- Zhang, S.; Wang, X.; Yang, Z.; Zhu, Y.; Zhao, N.; Li, Y.; He, J.; Sun, H.; Xie, Z. Intra- and Peritumoral Radiomics Model Based on Early DCE-MRI for Preoperative Prediction of Molecular Subtypes in Invasive Ductal Breast Carcinoma: A Multitask Machine Learning Study. Front. Oncol. 2022, 12, 905551. [Google Scholar] [CrossRef]
- D’Arnese, E.; Donato, G.W.D.; Sozzo, E.D.; Sollini, M.; Sciuto, D.; Santambrogio, M.D. On the Automation of Radiomics-Based Identification and Characterization of NSCLC. IEEE J. Biomed. Health Inf. 2022, 26, 2670–2679. [Google Scholar] [CrossRef]
- Bao, J.; Liu, Y.; Ping, X.; Zha, X.; Hu, S.; Hu, C. Preoperative Ki-67 proliferation index prediction with a radiomics nomogram in stage T1a-b lung adenocarcinoma. Eur. J. Radiol. 2022, 155, 110437. [Google Scholar] [CrossRef]
- Cui, R.; Yang, Z.; Liu, L. What does radiomics do in PD-L1 blockade therapy of NSCLC patients? Thorac. Cancer 2022, 13, 2669–2680. [Google Scholar] [CrossRef]
- Liu, Y.F.; Shu, X.; Qiao, X.F.; Ai, G.Y.; Liu, L.; Liao, J.; Qian, S.; He, X.J. Radiomics-Based Machine Learning Models for Predicting P504s/P63 Immunohistochemical Expression: A Noninvasive Diagnostic Tool for Prostate Cancer. Front. Oncol. 2022, 12, 911426. [Google Scholar] [CrossRef]
- Wang, J.; Hu, Y.; Zhou, X.; Bao, S.; Chen, Y.; Ge, M.; Jia, Z. A radiomics model based on DCE-MRI and DWI may improve the prediction of estimating IDH1 mutation and angiogenesis in gliomas. Eur. J. Radiol. 2022, 147, 110141. [Google Scholar] [CrossRef] [PubMed]
- Yin, P.; Mao, N.; Zhao, C.; Wu, J.; Sun, C.; Chen, L.; Hong, N. Comparison of radiomics machine-learning classifiers and feature selection for differentiation of sacral chordoma and sacral giant cell tumour based on 3D computed tomography features. Eur. Radiol. 2019, 29, 1841–1847. [Google Scholar] [CrossRef] [PubMed]
- Wang, Q.; Zhang, Y.; Zhang, E.; Xing, X.; Chen, Y.; Nie, K.; Yuan, H.; Su, M.Y.; Lang, N. A Multiparametric Method Based on Clinical and CT-Based Radiomics to Predict the Expression of p53 and VEGF in Patients With Spinal Giant Cell Tumor of Bone. Front. Oncol. 2022, 12, 894696. [Google Scholar] [CrossRef] [PubMed]
- Wang, Q.; Zhang, Y.; Zhang, E.; Xing, X.; Chen, Y.; Su, M.Y.; Lang, N. Prediction of the early recurrence in spinal giant cell tumor of bone using radiomics of preoperative CT: Long-term outcome of 62 consecutive patients. J. Bone Oncol. 2021, 27, 100354. [Google Scholar] [CrossRef]
- Chong, H.H.; Yang, L.; Sheng, R.F.; Yu, Y.L.; Wu, D.J.; Rao, S.X.; Yang, C.; Zeng, M.S. Multi-scale and multi-parametric radiomics of gadoxetate disodium-enhanced MRI predicts microvascular invasion and outcome in patients with solitary hepatocellular carcinoma ≤ 5 cm. Eur. Radiol. 2021, 31, 4824–4838. [Google Scholar] [CrossRef]
- Wang, Y.; Liu, W.; Yu, Y.; Liu, J.J.; Xue, H.D.; Qi, Y.F.; Lei, J.; Yu, J.C.; Jin, Z.Y. CT radiomics nomogram for the preoperative prediction of lymph node metastasis in gastric cancer. Eur. Radiol. 2020, 30, 976–986. [Google Scholar] [CrossRef] [PubMed]
- Wang, Y.; Liu, W.; Yu, Y.; Han, W.; Liu, J.J.; Xue, H.D.; Lei, J.; Jin, Z.Y.; Yu, J.C. Potential value of CT radiomics in the distinction of intestinal-type gastric adenocarcinomas. Eur. Radiol. 2020, 30, 2934–2944. [Google Scholar] [CrossRef]
- Wang, Y.; Liu, W.; Yu, Y.; Liu, J.J.; Jiang, L.; Xue, H.D.; Lei, J.; Jin, Z.; Yu, J.C. Prediction of the Depth of Tumor Invasion in Gastric Cancer: Potential Role of CT Radiomics. Acad. Radiol. 2020, 27, 1077–1084. [Google Scholar] [CrossRef]
- Horvat, N.; Veeraraghavan, H.; Khan, M.; Blazic, I.; Zheng, J.; Capanu, M.; Sala, E.; Garcia-Aguilar, J.; Gollub, M.J.; Petkovska, I. MR Imaging of Rectal Cancer: Radiomics Analysis to Assess Treatment Response after Neoadjuvant Therapy. Radiology 2018, 287, 833–843. [Google Scholar] [CrossRef]
- Taghavi, M.; Trebeschi, S.; Simões, R.; Meek, D.B.; Beckers, R.C.J.; Lambregts, D.M.J.; Verhoef, C.; Houwers, J.B.; van der Heide, U.A.; Beets-Tan, R.G.H.; et al. Machine learning-based analysis of CT radiomics model for prediction of colorectal metachronous liver metastases. Abdom. Radiol. 2021, 46, 249–256. [Google Scholar] [CrossRef] [PubMed]
- Kim, M.; Jung, S.Y.; Park, J.E.; Jo, Y.; Park, S.Y.; Nam, S.J.; Kim, J.H.; Kim, H.S. Diffusion- and perfusion-weighted MRI radiomics model may predict isocitrate dehydrogenase (IDH) mutation and tumor aggressiveness in diffuse lower grade glioma. Eur. Radiol. 2020, 30, 2142–2151. [Google Scholar] [CrossRef] [PubMed]
- Jia, T.Y.; Xiong, J.F.; Li, X.Y.; Yu, W.; Xu, Z.Y.; Cai, X.W.; Ma, J.C.; Ren, Y.C.; Larsson, R.; Zhang, J.; et al. Identifying EGFR mutations in lung adenocarcinoma by noninvasive imaging using radiomics features and random forest modeling. Eur. Radiol. 2019, 29, 4742–4750. [Google Scholar] [CrossRef] [PubMed]
- Yin, P.; Zhi, X.; Sun, C.; Wang, S.; Liu, X.; Chen, L.; Hong, N. Radiomics Models for the Preoperative Prediction of Pelvic and Sacral Tumor Types: A Single-Center Retrospective Study of 795 Cases. Front. Oncol. 2021, 11, 709659. [Google Scholar] [CrossRef] [PubMed]
- Fields, B.K.K.; Demirjian, N.L.; Hwang, D.H.; Varghese, B.A.; Cen, S.Y.; Lei, X.; Desai, B.; Duddalwar, V.; Matcuk, G.R., Jr. Whole-tumor 3D volumetric MRI-based radiomics approach for distinguishing between benign and malignant soft tissue tumors. Eur. Radiol. 2021, 31, 8522–8535. [Google Scholar] [CrossRef]
- Gillies, R.J.; Kinahan, P.E.; Hricak, H. Radiomics: Images Are More than Pictures, They Are Data. Radiology 2016, 278, 563–577. [Google Scholar] [CrossRef]
- Peduzzi, P.; Concato, J.; Kemper, E.; Holford, T.R.; Feinstein, A.R. A simulation study of the number of events per variable in logistic regression analysis. J. Clin. Epidemiol. 1996, 49, 1373–1379. [Google Scholar] [CrossRef]
- Van Smeden, M.; Moons, K.G.; de Groot, J.A.; Collins, G.S.; Altman, D.G.; Eijkemans, M.J.; Reitsma, J.B. Sample size for binary logistic prediction models: Beyond events per variable criteria. Stat. Methods Med. Res. 2019, 28, 2455–2474. [Google Scholar] [CrossRef]








| Variables | Whole Cohort | ||
|---|---|---|---|
| RANKL status | Total | High | Low |
| 107 | 66 | 41 | |
| Gender | |||
| Female | 62 | 41 | 21 |
| Male | 45 | 25 | 20 |
| Age | |||
| Mean ± SD | 32.94 ± 12.99 | 34.92 ± 13.22 | 29.76 ± 12.26 |
| Location | |||
| Cervical vertebrae | 36 | 19 | 17 |
| Thoracic vertebrae | 35 | 18 | 17 |
| Lumbar vertebrae | 26 | 21 | 5 |
| Sacrum | 10 | 8 | 2 |
| Tumor stage | |||
| Stage Ⅱ | 40 | 26 | 14 |
| Stage Ⅲ | 57 | 40 | 27 |
| Tumor diameter, cm | 4.72 ± 1.99 | 4.96 ± 1.94 | 4.34 ± 2.03 |
| Tumor volume, cm3 | 60.75 ± 147.72 | 54.76 ± 82.81 | 70.40 ± 215.71 |
| Surgery method | |||
| Partial removal/curettage | 32 | 20 | 12 |
| Total en bloc spondylectomy | 75 | 45 | 30 |
| Radiotherapy | 22 | 13 | 9 |
| Denosumab | 15 | 8 | 7 |
| Index | AUC (95%CI) | F1 Score | Recall | Precision | Sensitivity | Specificity | Accuracy |
|---|---|---|---|---|---|---|---|
| Training cohort | |||||||
| RFVOI-entire | 0.814 (0.718–0.912) | 0.764 | 0.720 | 0.793 | 0.918 | 0.581 | 0.719 |
| RFVOI-edge | 0.798 (0.695–0.902) | 0.810 | 0.919 | 0.691 | 0.979 | 0.241 | 0.709 |
| RFVOI-core | 0.880 (0.807–0.958) | 0.857 | 0.934 | 0.817 | 0.720 | 0.719 | 0.802 |
| Validation cohort | |||||||
| RFVOI-entire | 0.648 (0.419–0.906) | 0.674 | 0.657 | 0.708 | 0.657 | 0.433 | 0.646 |
| RFVOI-edge | 0.677 (0.415–0.892) | 0.790 | 0.940 | 0.688 | 0.940 | 0.233 | 0.682 |
| RFVOI-core | 0.745 (0.571–0.898) | 0.775 | 0.850 | 0.728 | 0.850 | 0.633 | 0.694 |
Publisher’s Note: MDPI stays neutral with regard to jurisdictional claims in published maps and institutional affiliations. |
© 2022 by the authors. Licensee MDPI, Basel, Switzerland. This article is an open access article distributed under the terms and conditions of the Creative Commons Attribution (CC BY) license (https://creativecommons.org/licenses/by/4.0/).
Share and Cite
Wang, Q.; Chen, Y.; Qin, S.; Liu, X.; Liu, K.; Xin, P.; Zhao, W.; Yuan, H.; Lang, N. Prognostic Value and Quantitative CT Analysis in RANKL Expression of Spinal GCTB in the Denosumab Era: A Machine Learning Approach. Cancers 2022, 14, 5201. https://doi.org/10.3390/cancers14215201
Wang Q, Chen Y, Qin S, Liu X, Liu K, Xin P, Zhao W, Yuan H, Lang N. Prognostic Value and Quantitative CT Analysis in RANKL Expression of Spinal GCTB in the Denosumab Era: A Machine Learning Approach. Cancers. 2022; 14(21):5201. https://doi.org/10.3390/cancers14215201
Chicago/Turabian StyleWang, Qizheng, Yongye Chen, Siyuan Qin, Xiaoming Liu, Ke Liu, Peijin Xin, Weili Zhao, Huishu Yuan, and Ning Lang. 2022. "Prognostic Value and Quantitative CT Analysis in RANKL Expression of Spinal GCTB in the Denosumab Era: A Machine Learning Approach" Cancers 14, no. 21: 5201. https://doi.org/10.3390/cancers14215201
APA StyleWang, Q., Chen, Y., Qin, S., Liu, X., Liu, K., Xin, P., Zhao, W., Yuan, H., & Lang, N. (2022). Prognostic Value and Quantitative CT Analysis in RANKL Expression of Spinal GCTB in the Denosumab Era: A Machine Learning Approach. Cancers, 14(21), 5201. https://doi.org/10.3390/cancers14215201
