Treatments after Immune Checkpoint Inhibitors in Patients with dMMR/MSI Metastatic Colorectal Cancer
Abstract
:Simple Summary
Abstract
1. Introduction
2. Materials and Methods
2.1. Study Population
2.2. Outcomes
2.3. Statistical Analysis
3. Results
3.1. Patients’ Characteristics
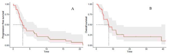
3.2. Efficacy
4. Discussion
5. Conclusions
Supplementary Materials
Author Contributions
Funding
Institutional Review Board Statement
Informed Consent Statement
Data Availability Statement
Conflicts of Interest
References
- Venderbosch, S.; Nagtegaal, I.D.; Maughan, T.S.; Smith, C.G.; Cheadle, J.P.; Fisher, D.; Kaplan, R.; Quirke, P.; Seymour, M.T.; Richman, S.D.; et al. Mismatch Repair Status and BRAF Mutation Status in Metastatic Colorectal Cancer Patients: A Pooled Analysis of the CAIRO, CAIRO2, COIN and FOCUS Studies. Clin. Cancer Res. 2014, 20, 5322–5330. [Google Scholar] [CrossRef] [PubMed] [Green Version]
- Randrian, V.; Evrard, C.; Tougeron, D. Microsatellite Instability in Colorectal Cancers: Carcinogenesis, Neo-Antigens, Immuno-Resistance and Emerging Therapies. Cancers 2021, 13, 3063. [Google Scholar] [CrossRef]
- Le, D.T.; Uram, J.N.; Wang, H.; Bartlett, B.R.; Kemberling, H.; Eyring, A.D.; Skora, A.D.; Luber, B.S.; Azad, N.S.; Laheru, D.; et al. PD-1 Blockade in Tumors with Mismatch-Repair Deficiency. N. Engl. J. Med. 2015, 372, 2509–2520. [Google Scholar] [CrossRef] [Green Version]
- Le, D.T.; Kim, T.W.; Van Cutsem, E.; Geva, R.; Jäger, D.; Hara, H.; Burge, M.; O’Neil, B.; Kavan, P.; Yoshino, T.; et al. Phase II Open-Label Study of Pembrolizumab in Treatment-Refractory, Microsatellite Instability—High/Mismatch Repair—Deficient Metastatic Colorectal Cancer: KEYNOTE-164. J. Clin. Oncol. 2019, 38, 11–19. [Google Scholar] [CrossRef] [PubMed]
- Overman, M.J.; Lonardi, S.; Wong, K.Y.M.; Lenz, H.-J.; Gelsomino, F.; Aglietta, M.; Morse, M.; Van Cutsem, E.; McDermott, R.S.; Hill, A.G.; et al. Nivolumab (NIVO) + Low-Dose Ipilimumab (IPI) in Previously Treated Patients (Pts) with Microsatellite Instability-High/Mismatch Repair-Deficient (MSI-H/DMMR) Metastatic Colorectal Cancer (MCRC): Long-Term Follow-Up. J. Clin. Oncol. 2019, 37, 635. [Google Scholar] [CrossRef]
- Overman, M.J.; McDermott, R.; Leach, J.L.; Lonardi, S.; Lenz, H.-J.; Morse, M.A.; Desai, J.; Hill, A.; Axelson, M.; Moss, R.A.; et al. Nivolumab in Patients with Metastatic DNA Mismatch Repair-Deficient or Microsatellite Instability-High Colorectal Cancer (CheckMate 142): An Open-Label, Multicentre, Phase 2 Study. Lancet Oncol. 2017, 18, 1182–1191. [Google Scholar] [CrossRef]
- André, T.; Shiu, K.-K.; Kim, T.W.; Jensen, B.V.; Jensen, L.H.; Punt, C.; Smith, D.; Garcia-Carbonero, R.; Benavides, M.; Gibbs, P.; et al. Pembrolizumab in Microsatellite-Instability-High Advanced Colorectal Cancer. N. Engl. J. Med. 2020, 383, 2207–2218. [Google Scholar] [CrossRef] [PubMed]
- Andre, T.; Amonkar, M.; Norquist, J.M.; Shiu, K.-K.; Kim, T.W.; Jensen, B.V.; Jensen, L.H.; Punt, C.J.A.; Smith, D.; Garcia-Carbonero, R.; et al. Health-Related Quality of Life in Patients with Microsatellite Instability-High or Mismatch Repair Deficient Metastatic Colorectal Cancer Treated with First-Line Pembrolizumab versus Chemotherapy (KEYNOTE-177): An Open-Label, Randomised, Phase 3 Trial. Lancet Oncol. 2021, 22, 665–677. [Google Scholar] [CrossRef]
- Grothey, A.; Fakih, M.; Tabernero, J. Management of BRAF-Mutant Metastatic Colorectal Cancer: A Review of Treatment Options and Evidence-Based Guidelines. Ann. Oncol. 2021, 32, 959–967. [Google Scholar] [CrossRef]
- Benson, A.B.; Venook, A.P.; Al-Hawary, M.M.; Arain, M.A.; Chen, Y.-J.; Ciombor, K.K.; Cohen, S.; Cooper, H.S.; Deming, D.; Farkas, L.; et al. Colon Cancer, Version 2.2021, NCCN Clinical Practice Guidelines in Oncology. J. Natl. Compr. Cancer Netw. 2021, 19, 329–359. [Google Scholar] [CrossRef]
- Billan, S.; Kaidar-Person, O.; Gil, Z. Treatment after Progression in the Era of Immunotherapy. Lancet Oncol. 2020, 21, e463–e476. [Google Scholar] [CrossRef]
- Emens, L.A.; Middleton, G. The Interplay of Immunotherapy and Chemotherapy: Harnessing Potential Synergies. Cancer Immunol. Res. 2015, 3, 436–443. [Google Scholar] [CrossRef] [Green Version]
- Llosa, N.J.; Cruise, M.; Tam, A.; Wicks, E.C.; Hechenbleikner, E.M.; Taube, J.M.; Blosser, R.L.; Fan, H.; Wang, H.; Luber, B.S.; et al. The Vigorous Immune Microenvironment of Microsatellite Instable Colon Cancer Is Balanced by Multiple Counter-Inhibitory Checkpoints. Cancer Discov. 2015, 5, 43–51. [Google Scholar] [CrossRef] [Green Version]
- Marisa, L.; Svrcek, M.; Collura, A.; Becht, E.; Cervera, P.; Wanherdrick, K.; Buhard, O.; Goloudina, A.; Jonchère, V.; Selves, J.; et al. The Balance Between Cytotoxic T-Cell Lymphocytes and Immune Checkpoint Expression in the Prognosis of Colon Tumors. JNCI J. Natl. Cancer Inst. 2018, 110, 68–77. [Google Scholar] [CrossRef]
- Cohen, R.; Buhard, O.; Cervera, P.; Hain, E.; Dumont, S.; Bardier, A.; Bachet, J.-B.; Gornet, J.-M.; Lopez-Trabada, D.; Dumont, S.; et al. Clinical and Molecular Characterisation of Hereditary and Sporadic Metastatic Colorectal Cancers Harbouring Microsatellite Instability/DNA Mismatch Repair Deficiency. Eur. J. Cancer 2017, 86, 266–274. [Google Scholar] [CrossRef] [PubMed] [Green Version]
- Tougeron, D.; Sueur, B.; Zaanan, A.; de la Fouchardiére, C.; Sefrioui, D.; Lecomte, T.; Aparicio, T.; Guetz, G.D.; Artru, P.; Hautefeuille, V.; et al. Prognosis and Chemosensitivity of Deficient MMR Phenotype in Patients with Metastatic Colorectal Cancer: An AGEO Retrospective Multicenter Study. Int. J. Cancer 2020, 147, 285–296. [Google Scholar] [CrossRef]
- Innocenti, F.; Ou, F.-S.; Qu, X.; Zemla, T.J.; Niedzwiecki, D.; Tam, R.; Mahajan, S.; Goldberg, R.M.; Bertagnolli, M.M.; Blanke, C.D.; et al. Mutational Analysis of Patients With Colorectal Cancer in CALGB/SWOG 80405 Identifies New Roles of Microsatellite Instability and Tumor Mutational Burden for Patient Outcome. J. Clin. Oncol. 2019, 37, 1217–1227. [Google Scholar] [CrossRef] [PubMed]
- Taieb, J.; Shi, Q.; Pederson, L.; Alberts, S.; Wolmark, N.; Van Cutsem, E.; de Gramont, A.; Kerr, R.; Grothey, A.; Lonardi, S.; et al. Prognosis of Microsatellite Instability and/or Mismatch Repair Deficiency Stage III Colon Cancer Patients after Disease Recurrence Following Adjuvant Treatment: Results of an ACCENT Pooled Analysis of Seven Studies. Ann. Oncol. 2019, 30, 1466–1471. [Google Scholar] [CrossRef] [Green Version]
- Sargent, D.J.; Marsoni, S.; Monges, G.; Thibodeau, S.N.; Labianca, R.; Hamilton, S.R.; French, A.J.; Kabat, B.; Foster, N.R.; Torri, V.; et al. Defective Mismatch Repair As a Predictive Marker for Lack of Efficacy of Fluorouracil-Based Adjuvant Therapy in Colon Cancer. J. Clin. Oncol. 2010, 28, 3219–3226. [Google Scholar] [CrossRef] [Green Version]
- Zaanan, A.; Henriques, J.; Cohen, R.; Sefrioui, D.; Evrard, C.; de la Fouchardiere, C.; Lecomte, T.; Aparicio, T.; Svrcek, M.; Taieb, J.; et al. Efficacy of Anti-EGFR in Microsatellite Instability Metastatic Colorectal Cancer Depending on Sporadic or Familial Origin. J. Natl. Cancer Inst. 2021, 113, 496–500. [Google Scholar] [CrossRef] [PubMed]
- Guyot D’Asnières De Salins, A.; Tachon, G.; Cohen, R.; Karayan-Tapon, L.; Junca, A.; Frouin, E.; Godet, J.; Evrard, C.; Randrian, V.; Duval, A.; et al. Discordance between Immunochemistry of Mismatch Repair Proteins and Molecular Testing of Microsatellite Instability in Colorectal Cancer. ESMO Open 2021, 6, 100120. [Google Scholar] [CrossRef]
- Grothey, A.; Cutsem, E.V.; Sobrero, A.; Siena, S.; Falcone, A.; Ychou, M.; Humblet, Y.; Bouché, O.; Mineur, L.; Barone, C.; et al. Regorafenib Monotherapy for Previously Treated Metastatic Colorectal Cancer (CORRECT): An International, Multicentre, Randomised, Placebo-Controlled, Phase 3 Trial. Lancet 2013, 381, 303–312. [Google Scholar] [CrossRef]
- Mayer, R.J.; Van Cutsem, E.; Falcone, A.; Yoshino, T.; Garcia-Carbonero, R.; Mizunuma, N.; Yamazaki, K.; Shimada, Y.; Tabernero, J.; Komatsu, Y.; et al. Randomized Trial of TAS-102 for Refractory Metastatic Colorectal Cancer. N. Engl. J. Med. 2015, 372, 1909–1919. [Google Scholar] [CrossRef] [PubMed] [Green Version]
- Martin-Romano, P.; Ammari, S.; El-Dakdoukti, Y.; Baldini, C.; Varga, A.; Vuagnat, P.; Angevin, E.; Bahleda, R.; Gazzah, A.; Champiat, S.; et al. Chemotherapy beyond Immune Checkpoint Inhibitors in Patients with Metastatic Colorectal Cancer. Eur. J. Cancer 2020, 137, 117–126. [Google Scholar] [CrossRef]
- Tone, M.; Izumo, T.; Awano, N.; Kuse, N.; Inomata, M.; Jo, T.; Yoshimura, H.; Miyamoto, S.; Kunitoh, H. Treatment Effect and Safety Profile of Salvage Chemotherapy Following Immune Checkpoint Inhibitors in Lung Cancer. Lung Cancer Manag. 2019, 4, LMT12. [Google Scholar] [CrossRef]
- Aspeslagh, S.; Matias, M.; Palomar, V.; Dercle, L.; Lanoy, E.; Soria, J.-C.; Postel-Vinay, S. In the Immuno-Oncology Era, Is Anti-PD-1 or Anti-PD-L1 Immunotherapy Modifying the Sensitivity to Conventional Cancer Therapies? Eur. J. Cancer 2017, 87, 65–74. [Google Scholar] [CrossRef]
- Fukumura, D.; Kloepper, J.; Amoozgar, Z.; Duda, D.G.; Jain, R.K. Enhancing Cancer Immunotherapy Using Antiangiogenics: Opportunities and Challenges. Nat. Rev. Clin. Oncol. 2018, 15, 325–340. [Google Scholar] [CrossRef]
- Lapeyre-Prost, A.; Terme, M.; Pernot, S.; Pointet, A.-L.; Voron, T.; Tartour, E.; Taieb, J. Immunomodulatory Activity of VEGF in Cancer. Int. Rev. Cell Mol. Biol. 2017, 330, 295–342. [Google Scholar] [CrossRef]
- Kankeu Fonkoua, L.A.; Chakrabarti, S.; Sonbol, M.B.; Kasi, P.M.; Starr, J.S.; Liu, A.J.; Nevala, W.K.; Maus, R.L.; Bois, M.C.; Pitot, H.C.; et al. Outcomes on Anti-VEGFR-2/Paclitaxel Treatment after Progression on Immune Checkpoint Inhibition in Patients with Metastatic Gastroesophageal Adenocarcinoma. Int. J. Cancer 2021, 149, 378–386. [Google Scholar] [CrossRef] [PubMed]
- Sasaki, A.; Kawazoe, A.; Eto, T.; Okunaka, M.; Mishima, S.; Sawada, K.; Nakamura, Y.; Kotani, D.; Kuboki, Y.; Taniguchi, H.; et al. Improved Efficacy of Taxanes and Ramucirumab Combination Chemotherapy after Exposure to Anti-PD-1 Therapy in Advanced Gastric Cancer. ESMO Open 2020, 5, e000775. [Google Scholar] [CrossRef] [PubMed]
- Yoon, H.; Fuchs, C.; Özgüroğlu, M.; Bang, Y.; Bartolomeo, M.D.; Mandala, M.; Ryu, M.; Fornaro, L.; Olesinski, T.; Caglevic, C.; et al. O-12 KEYNOTE-061: Response to Subsequent Therapy Following Second-Line Pembrolizumab or Paclitaxel in Patients with Advanced Gastric or Gastroesophageal Junction Adenocarcinoma. Ann. Oncol. 2020, 31, 236. [Google Scholar] [CrossRef]

| N (%) | ||
|---|---|---|
| Number of patients | 31 (100) | |
| Median age (range) | 56 (28–77) | |
| Gender | Male | 19 (61) |
| Female | 12 (39) | |
| ECOG | 0–1 | 18 (58) |
| ≥2 | 13 (42) | |
| Metastatic sites | 1 | 5 (16) |
| ≥2 | 26 (84) | |
| Mutational status | RAS/BRAF wild-type | 14 (45) |
| RAS-mutated | 8 (26) | |
| BRAF-mutated | 8 (26) | |
| RAS- and BRAF-mutated | 1 (3) | |
| Mechanism of MMR deficiency * | Lynch syndrome | 12 (39) |
| Sporadic | 9 (29) | |
| Unknown | 10 (32) | |
| Number of treatment lines prior to ICI | 1 | 16 (52) |
| ≥2 | 15 (48) | |
| Exposure prior to ICI | Fluoropyrimidine | 31 (100) |
| Oxaliplatin | 29 (94) | |
| Irinotecan | 21 (68) | |
| Anti-VEGF | 16 (52) | |
| Anti-EGFR | 11 (36) | |
| Type of immunotherapy | Anti-PD1 monotherapy | 15 (48) |
| Anti-PDL1 monotherapy | 7 (23) | |
| Anti-PD(L)1 + anti-CTLA4 | 5 (16) | |
| Anti-PD(L)1 + Others ** | 4 (13) | |
| Best response to ICI | Progressive Disease | 11 (36) |
| Stable Disease | 15 (48) | |
| Partial Response | 5 (16) | |
| Reason for ICI discontinuation | Progressive disease | 28 (90%) |
| Toxicity | 3 (10%) |
| N (%) | ||
|---|---|---|
| Number of prior therapy lines (Including Immune Checkpoint Inhibitor(s)) | 2 | 12 (39) |
| 3 | 15 (48) | |
| 4 | 3 (10) | |
| 5 | 1 (3) | |
| Chemotherapy regimen | 5FU/Capecitabine monotherapy | 2 (6) |
| Trifluridine-tipiracil | 5 (16) | |
| FOLFIRI | 9 (29) | |
| FOLFOX | 9 (29) | |
| FOLFIRINOX | 2 (6) | |
| Others * | 4 (13) | |
| Associated targeted therapy | No | 13 (42) |
| Bevacizumab or aflibercept | 12 (39) | |
| Cetuximab or panitumumab | 6 (19) | |
| Best response | Progressive Disease | 17 (55) |
| Stable Disease | 10 (32) | |
| Partial Response | 4 (13) |
| Progression-Free Survival | Overall Survival | |||||
|---|---|---|---|---|---|---|
| HR 1 | 95% CI 1 | p-Value | HR 1 | 95% CI 1 | p-Value | |
| Age | 1.02 | 0.99, 1.04 | 0.2 | 1.02 | 0.99, 1.05 | 0.12 |
| Gender | 0.4 | 0.6 | ||||
| Male | - | - | - | - | ||
| Female | 1.43 | 0.68, 3.01 | 1.26 | 0.55, 2.89 | ||
| ECOG | 0.045 | 0.2 | ||||
| 0–1 | - | - | - | - | ||
| 2 or more | 2.22 | 1.03, 4.77 | 1.76 | 0.75, 4.09 | ||
| Pathological type | 0.4 | 0.8 | ||||
| Conventional adenocarcinoma | - | - | - | - | ||
| Mucinous adenocarcinoma | 0.73 | 0.34, 1.59 | 0.92 | 0.40, 2.14 | ||
| KRAS mutational status | 0.3 | 0.6 | ||||
| Wild-type | - | - | - | - | ||
| Mutated | 1.65 | 0.68, 3.97 | 1.27 | 0.51, 3.13 | ||
| ICI best response | 0.6 | >0.9 | ||||
| Progressive disease | - | - | - | - | ||
| Partial response or stable disease | 0.83 | 0.37, 1.84 | 1.03 | 0.42, 2.52 | ||
| ICI duration | 0.2 | 0.11 | ||||
| <6 months | - | - | - | - | ||
| >6 months | 0.60 | 0.28, 1.27 | 0.51 | 0.22, 1.18 | ||
| Post-ICI treatment line | >0.9 | 0.2 | ||||
| Third | - | - | - | - | ||
| Fourth or more | 1.01 | 0.47, 2.17 | 1.78 | 0.70, 4.55 | ||
| Post-ICI anti-VEGF | >0.9 | 0.8 | ||||
| None | - | - | - | - | ||
| mAb anti-VEGF | 1.01 | 0.48, 2.13 | 1.11 | 0.48, 2.53 | ||
| Patient | Mutational Status | Pre-ICI Regimen | Line | Pre-ICI Best Response | Pre-ICI PFS | ICI | ICI Best Response | ICI Duration | Post-ICI Regimen | Line * | Post-ICI Best Response | Post-ICI PFS | OS |
|---|---|---|---|---|---|---|---|---|---|---|---|---|---|
| S005 | KRAS wt BRAF mut | FOLFOX | 1 | SD | 3 | Anti-PD1 | SD | 14.6 | FOLFIRI | 3 | PR | 17.7 | 24.2 + |
| S013 | KRAS wt BRAF mut | Dabrafenib Trametinib Panitumumab | 2 | SD | 2.7 | Anti-PD1 | SD | 5.6 | FOLFIRI 3 bevacizumab | 4 | SD | 21.2 | 39.7 |
| G004 | KRAS wt BRAF wt | FOLFOX Cetuximab | 4 | PD | 3.3 | Anti-PDL1 | SD | 19.5 | Trifluridine -tipiracil | 6 | SD | 21.3 | 33.2 + |
| G006 | KRAS wt BRAF wt | FOLFIRI Bevacizumab | 1 | PR | 20 | Anti-PD1 + Other ** | PD | 6.6 | Trifluridine -tipiracil | 3 | PR | 16.1 | 42.1 + |
Publisher’s Note: MDPI stays neutral with regard to jurisdictional claims in published maps and institutional affiliations. |
© 2022 by the authors. Licensee MDPI, Basel, Switzerland. This article is an open access article distributed under the terms and conditions of the Creative Commons Attribution (CC BY) license (https://creativecommons.org/licenses/by/4.0/).
Share and Cite
Bui, Q.L.; Mas, L.; Hollebecque, A.; Tougeron, D.; de la Fouchardière, C.; Pudlarz, T.; Alouani, E.; Guimbaud, R.; Taieb, J.; André, T.; et al. Treatments after Immune Checkpoint Inhibitors in Patients with dMMR/MSI Metastatic Colorectal Cancer. Cancers 2022, 14, 406. https://doi.org/10.3390/cancers14020406
Bui QL, Mas L, Hollebecque A, Tougeron D, de la Fouchardière C, Pudlarz T, Alouani E, Guimbaud R, Taieb J, André T, et al. Treatments after Immune Checkpoint Inhibitors in Patients with dMMR/MSI Metastatic Colorectal Cancer. Cancers. 2022; 14(2):406. https://doi.org/10.3390/cancers14020406
Chicago/Turabian StyleBui, Quang Loc, Léo Mas, Antoine Hollebecque, David Tougeron, Christelle de la Fouchardière, Thomas Pudlarz, Emily Alouani, Rosine Guimbaud, Julien Taieb, Thierry André, and et al. 2022. "Treatments after Immune Checkpoint Inhibitors in Patients with dMMR/MSI Metastatic Colorectal Cancer" Cancers 14, no. 2: 406. https://doi.org/10.3390/cancers14020406
APA StyleBui, Q. L., Mas, L., Hollebecque, A., Tougeron, D., de la Fouchardière, C., Pudlarz, T., Alouani, E., Guimbaud, R., Taieb, J., André, T., Colle, R., & Cohen, R. (2022). Treatments after Immune Checkpoint Inhibitors in Patients with dMMR/MSI Metastatic Colorectal Cancer. Cancers, 14(2), 406. https://doi.org/10.3390/cancers14020406

