Prognostic Potential of the Baseline Pan-Immune-Inflammation Value and Neutrophil/Lymphocyte Ratio in Stage I to III Melanoma Patients
Abstract
:Simple Summary
Abstract
1. Introduction
2. Methods
2.1. Patients
2.2. Laboratory Parameters
2.3. Statistics
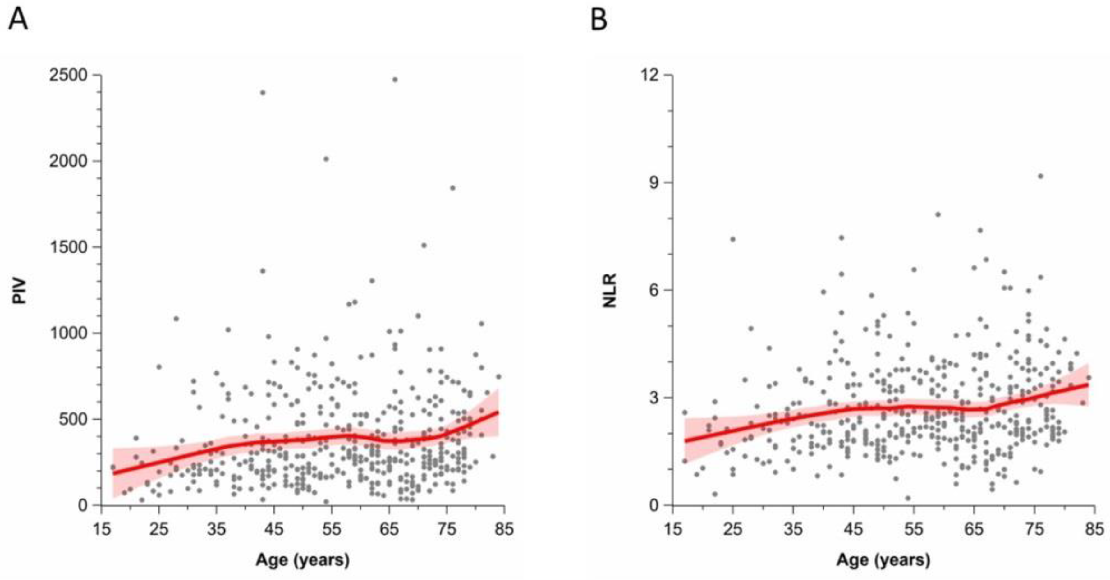
3. Results
4. Discussion
5. Conclusions
Supplementary Materials
Author Contributions
Funding
Institutional Review Board Statement
Informed Consent Statement
Data Availability Statement
Acknowledgments
Conflicts of Interest
References
- Whiteman, D.C.; Green, A.C.; Olsen, C.M. The Growing Burden of Invasive Melanoma: Projections of Incidence Rates and Numbers of New Cases in Six Susceptible Populations through 2031. J. Investig. Dermatol. 2016, 136, 1161–1171. [Google Scholar] [CrossRef] [PubMed]
- Schadendorf, D.; van Akkooi, A.C.; Berking, C.; Griewank, K.G.; Gutzmer, R.; Hauschild, A.; Stang, A.; Roesch, A.; Ugurel, S. Melanoma. Lancet 2018, 392, 971–984. [Google Scholar] [CrossRef]
- Seité, S.; Del Marmol, V.; Moyal, D.; Friedman, A.J. Public primary and secondary skin cancer prevention, perceptions and knowledge: An international cross-sectional survey. J. Eur. Acad. Dermatol. Venereol. 2017, 31, 815–820. [Google Scholar] [CrossRef]
- Chow, M.T.; Möller, A.; Smyth, M.J. Inflammation and immune surveillance in cancer. Semin. Cancer Biol. 2011, 22, 23–32. [Google Scholar] [CrossRef]
- Gonzalez, H.; Hagerling, C.; Werb, Z. Roles of the immune system in cancer: From tumor initiation to metastatic progression. Genes Dev. 2018, 32, 1267–1284. [Google Scholar] [CrossRef] [PubMed]
- Hernando-Calvo, A.; García-Alvarez, A.; Villacampa, G.; Ortiz, C.; Bodet, D.; García-Patos, V.; Recio, J.A.; Dienstmann, R.; Muñoz-Couselo, E. Dynamics of clinical biomarkers as predictors of immunotherapy benefit in metastatic melanoma patients. Clin. Transl. Oncol. 2020, 23, 311–317. [Google Scholar] [CrossRef]
- Zaragoza, J.; Caille, A.; Beneton, N.; Bens, G.; Christiann, F.; Maillard, H.; Machet, L. High neutrophil to lymphocyte ratio measured before starting ipilimumab treatment is associated with reduced overall survival in patients with melanoma. Br. J. Dermatol. 2015, 174, 146–151. [Google Scholar] [CrossRef] [PubMed]
- Wade, R.G.; Robinson, A.V.; Lo, M.C.I.; Keeble, C.; Marples, M.; Dewar, D.J.; Moncrieff, M.D.S.; Peach, H. Baseline Neutrophil–Lymphocyte and Platelet—Lymphocyte Ratios as Biomarkers of Survival in Cutaneous Melanoma: A Multicenter Cohort Study. Ann. Surg. Oncol. 2018, 25, 3341–3349. [Google Scholar] [CrossRef]
- Robinson, A.V.; Keeble, C.; Lo, M.C.I.; Thornton, O.; Peach, H.; Moncrieff, M.D.S.; Dewar, D.J.; Wade, R.G. The neutrophil–lymphocyte ratio and locoregional melanoma: A multicentre cohort study. Cancer Immunol. Immunother. 2020, 69, 559–568. [Google Scholar] [CrossRef]
- Bai, X.; Dai, J.; Li, C.; Cui, C.; Mao, L.; Wei, X.; Sheng, X.; Chi, Z.; Yan, X.; Tang, B.; et al. Risk Models for Advanced Melanoma Patients Under Anti-PD-1 Monotherapy—Ad hoc Analyses of Pooled Data from Two Clinical Trials. Front. Oncol. 2021, 11, 702. [Google Scholar] [CrossRef]
- Ludwig, J.M.; Haubold, J.; Bauer, S.; Richly, H.; Siveke, J.T.; Wimmer, J.; Umutlu, L.; Schaarschmidt, B.M.; Theysohn, J.M. Predictive impact of the inflammation-based indices in uveal melanoma liver metastases treated with transarterial hepatic chemoperfusion. Radiol. Oncol. 2021, 55, 347–353. [Google Scholar] [CrossRef] [PubMed]
- Fucà, G.; Beninato, T.; Bini, M.; Mazzeo, L.; Di Guardo, L.; Cimminiello, C.; Randon, G.; Apollonio, G.; Bisogno, I.; Del Vecchio, M.; et al. The Pan-Immune-Inflammation Value in Patients with Metastatic Melanoma Receiving First-Line Therapy. Target. Oncol. 2021, 16, 529–536. [Google Scholar] [CrossRef] [PubMed]
- Gambichler, T.; Said, S.; Abu Rached, N.; Scheel, C.H.; Susok, L.; Stranzenbach, R.; Becker, J.C. Pan-immune-inflammation value independently predicts disease recurrence in patients with Merkel cell carcinoma. J. Cancer Res. Clin. Oncol. 2022, 1–7. [Google Scholar] [CrossRef]
- Susok, L.; Said, S.; Reinert, D.; Mansour, R.; Scheel, C.H.; Becker, J.C.; Gambichler, T. The pan-immune-inflammation value and systemic immune-inflammation index in advanced melanoma patients under immunotherapy. J. Cancer Res. Clin. Oncol. 2022, 1–6. [Google Scholar] [CrossRef]
- Gambichler, T.; Späth, J.; Said, S.; Scheel, C.H.; Susok, L.; Stranzenbach, R. Outcome of extracorporeal photopheresis in mycosis fungoides patients is not predicted by quotients of systemic immune-inflammatory biomarkers. J. Clin. Apher. 2022, 37, 360–366. [Google Scholar] [CrossRef]
- Guven, D.C.; Sahin, T.K.; Erul, E.; Kilickap, S.; Gambichler, T.; Aksoy, S. The Association between the Pan-Immune-Inflammation Value and Cancer Prognosis: A Systematic Review and Meta-Analysis. Cancers 2022, 14, 2675. [Google Scholar] [CrossRef]
- Eisenhauer, E.A.; Therasse, P.; Bogaerts, J.; Schwartz, L.H.; Sargent, D.; Ford, R.; Dancey, J.; Arbuck, S.; Gwyther, S.; Mooney, M.; et al. New response evaluation criteria in solid tumours: Revised RECIST guideline (Version 1.1). Eur. J. Cancer 2009, 45, 228–247. [Google Scholar] [CrossRef] [PubMed]
- Cleveland, W.S.; Devlin, S.J.; Grosse, E. Regression by local fitting: Methods, properties, and computational algorithms. J. Econ. 1988, 37, 87–114. [Google Scholar] [CrossRef]
- Cleveland, W.S.; Grosse, E. Computational methods for local regression. Stat. Comput. 1991, 1, 47–62. [Google Scholar] [CrossRef]
- Kanaki, T.; Stang, A.; Gutzmer, R.; Zimmer, L.; Chorti, E.; Sucker, A.; Ugurel, S.; Hadaschik, E.; Gräger, N.S.; Satzger, I.; et al. Impact of American Joint Committee on Cancer 8th edition classification on staging and survival of patients with melanoma. Eur. J. Cancer 2019, 119, 18–29. [Google Scholar] [CrossRef]
- Liu, J.; Charles, P.L.; Zhou, P.B. Inflammation fuels tumor progress and metastasis. Curr. Pharm. Des. 2015, 21, 3032–3040. [Google Scholar] [CrossRef] [PubMed]
- Mirili, C.; Yılmaz, A.; Demirkan, S.; Bilici, M.; Tekin, S.B. Clinical significance of prognostic nutritional index (PNI) in malignant melanoma. Int. J. Clin. Oncol. 2019, 24, 1301–1310. [Google Scholar] [CrossRef] [PubMed]
- Templeton, A.J.; Ace, O.; McNamara, M.G.; Al-Mubarak, M.; Vera-Badillo, F.E.; Hermanns, T.; Šeruga, B.; Ocaña, A.; Tannock, I.F.; Amir, E. Prognostic role of platelet to lymphocyte ratio in solid tumors: A systematic review and meta-analysis. Cancer Epidemiol. Biomark. Prev. 2014, 23, 1204–1212. [Google Scholar] [CrossRef]
- Zhong, J.-H.; Huang, D.-H.; Chen, Z.-Y. Prognostic role of systemic immune-inflammation index in solid tumors: A systematic review and meta-analysis. Oncotarget 2017, 8, 75381–75388. [Google Scholar] [CrossRef]
- Kanatsios, S.; Melbourne Melanoma Project; Li Wai Suen, C.S.; Cebon, J.S.; Gyorki, D.E. Neutrophil to lymphocyte ratio is an independent predictor of outcome for patients undergoing definitive resection for stage IV melanoma. J. Surg. Oncol. 2018, 118, 915–921. [Google Scholar] [CrossRef] [PubMed]
- Marconcini, R.; Spagnolo, F.; Stucci, L.S.; Ribero, S.; Marra, E.; De Rosa, F.; Picasso, V.; Di Guardo, L.; Cimminiello, C.; Cavalieri, S.; et al. Current status and perspectives in immunotherapy for metastatic melanoma. Oncotarget 2018, 9, 12452–12470. [Google Scholar] [CrossRef]
- Yang, R.; Chang, Q.; Meng, X.; Gao, N.; Wang, W. Prognostic value of Systemic immune-inflammation index in cancer: A me-ta-analysis. J. Cancer 2018, 9, 3295–3302. [Google Scholar] [CrossRef]
- Yu, J.; Wu, X.; Yu, H.; Li, S.; Mao, L.; Chi, Z.; Si, L.; Sheng, X.; Cui, C.; Dai, J.; et al. Systemic Immune-Inflammation Index and Circulating T-Cell Immune Index Predict Outcomes in High-Risk Acral Melanoma Patients Treated with High-Dose Interferon. Transl. Oncol. 2017, 10, 719–725. [Google Scholar] [CrossRef]
- Li, C.; Tian, W.; Zhao, F.; Li, M.; Ye, Q.; Wei, Y.; Li, T.; Xie, K. Systemic immune-inflammation index, SII, for prognosis of elderly patients with newly diagnosed tumors. Oncotarget 2018, 9, 35293–35299. [Google Scholar] [CrossRef]
- Fucà, G.; Guarini, V.; Antoniotti, C.; Morano, F.; Moretto, R.; Corallo, S.; Marmorino, F.; Lonardi, S.; Rimassa, L.; Sartore-Bianchi, A.; et al. The Pan-Immune-Inflammation Value is a new prognostic biomarker in metastatic colorectal cancer: Results from a pooled-analysis of the Valentino and TRIBE first-line trials. Br. J. Cancer 2020, 123, 403–409. [Google Scholar] [CrossRef]
- Cohen, J.T.; Miner, T.J.; Vezeridis, M.P. Is the neutrophil-to-lymphocyte ratio a useful prognostic indicator in melanoma patients? Melanoma Manag. 2020, 7, MMT47. [Google Scholar] [CrossRef] [PubMed]
- Fest, J.; Ruiter, R.; Ikram, M.A.; Voortman, T.; Van Eijck, C.H.J.; Stricker, B.H. Reference values for white blood-cell-based inflammatory markers in the Rotterdam Study: A population-based prospective cohort study. Sci. Rep. 2018, 8, 10566. [Google Scholar] [CrossRef] [PubMed]
- Gambichler, T.; Mansour, R.; Scheel, C.H.; Said, S.; Abu Rached, N.; Susok, L. Prognostic Performance of the Derived Neutrophil-to-Lymphocyte Ratio in Stage IV Melanoma Patients Treated with Immune Checkpoint Inhibitors. Dermato 2022, 2, 14–20. [Google Scholar] [CrossRef]
- Pinto-Paz, M.E.; Cotrina-Concha, J.M.; Benites-Zapata, V.A. Mortality in cutaneous malignant melanoma and its association with Neutrophil-to-Lymphocyte ratio. Cancer Treat. Res. Commun. 2021, 29, 100464. [Google Scholar] [CrossRef]
- Lino-Silva, L.S.; Salcedo-Hernández, R.; García-Pérez, L.; Meneses-García, A.; Zepeda-Najar, C. Basal neutrophil-to-lymphocyte ratio is associated with overall survival in melanoma. Melanoma Res. 2017, 27, 140–144. [Google Scholar] [CrossRef]
- Davis, J.L.; Langan, R.C.; Panageas, K.S.; Zheng, J.; Postow, M.A.; Brady, M.S.; Ariyan, C.; Coit, D.G. Elevated Blood Neutrophil-to-Lymphocyte Ratio: A Readily Available Biomarker Associated with Death due to Disease in High Risk Nonmetastatic Melanoma. Ann. Surg. Oncol. 2017, 24, 1989–1996. [Google Scholar] [CrossRef]
- Ma, J.; Kuzman, J.; Ray, A.; Lawson, B.O.; Khong, B.; Xuan, S.; Hahn, A.W.; Khong, H.T. Neutrophil-to-lymphocyte Ratio (NLR) as a predictor for recurrence in patients with stage III melanoma. Sci. Rep. 2018, 8, 4044. [Google Scholar] [CrossRef]
- Blakely, A.M.; Cohen, J.T.; Comissiong, D.S.; Vezeridis, M.P.; Miner, T.J. Prognosis and management of thick and ultrathick melano-ma. Am. J. Clin. Oncol. 2019, 42, 824–829. [Google Scholar] [CrossRef]




| Patients with CM | |||||
|---|---|---|---|---|---|
| Characteristics | pT1 (n = 94) | pT2 (n =196) | pT3 (n = 115) | pT4 (n = 52) | Controls (n = 49) |
| Males | 48 (51.1) | 93 (47.5) | 48 (41.7) | 28 (53.9) | 24 (49.0) |
| Median Age (years; P10, P90) | 54 (32; 73) | 58 (34; 74) | 59 (35; 77) | 64 (40; 78) | 61 (33;80) |
| CM subtype | |||||
| Superficial spreading melanoma | 64 (68.1) | 104 (53.1) | 25 (21.7) | 7 (13.5) | |
| Nodular melanoma | 6 (6.4) | 43 (21.9) | 45 (39.1) | 30 (57.7) | |
| Lentigo maligna melanoma | 1 (1.1) | 2 (1.0) | 0 | 0 | |
| Acrolentiginous melanoma | 3 (3.2) | 8 (4.1) | 8 (7.0) | 4 (7.7) | |
| Others | 20 (21.3) | 39 (19.9) | 37 (32.2) | 11 (21.2) | |
| Median tumor thickness, mm (P10, P90) | 0.8 (0.5; 1.0) | 1.4 (1.1; 1.8) | 2.8 (2.1; 3.8) | 5.5 (4.2; 9.8) | |
| Ulceration of primary CM, n (%) | 14 (14.9) | 37 (18.9) | 49 (42.6) | 39 (75.0) | |
| NLR, median (P10, P90) | 2.35 (1.42; 3.86) | 2.30 (1.30; 4.20) | 2.53 (1.30; 4.57) | 2.89 (1.56) | 1.90 (1.1; 11.60) |
| PIV, median (P10, P90) | 268 (138; 586) | 269 (96; 693) | 358 (121; 768) | 421 (136) | 276 (133; 790) |
| CM relapse, n (%) | 9 (9.6) | 39 (19.9) | 47 (40.9) | 33 (63.5) | |
| Median relapse-free survival (months) (P10, P90) | 102 (18; 193) | ||||
| CM-specific death, n (%) | 3 (3.2) | 28 (14.3) | 29 (25.2) | 26 (50.0) | |
| Median CM-specific survival (months) (P10, P90) | 110 (40; 195) | ||||
| Model and Variables | p-Value | Hazard Ratio (HR) | 95% Confidence Interval |
|---|---|---|---|
| PIV model | |||
| PIV 2nd third (219.73 ≤ 393.73) | 0.3530 | 0.79 | 0.49 to 1.29 |
| PIV 3rd third (>393.73) | 0.2689 | 1.28 | 0.83 to 1.98 |
| Stage II | 0.0950 | 1.69 | 0.91 to 3.15 |
| Stage III | <0.0001 | 4.00 | 2.36 to 6.79 |
| CM subtypes-ALM | 0.0118 | 2.25 | 1.19 to 4.24 |
| -LMM | 0.8756 | 1.17 | 0.16 to 8.81 |
| -NM | 0.5384 | 1.16 | 0.73 to 1.85 |
| -Others | 0.8349 | 0.94 | 0.55 to 1.62 |
| Age | 0.0015 | 1.02 | 1.00 to 1.03 |
| Tumor thickness (mm) | <0.0001 | 1.19 | 1.12 to 1.28 |
| Ulceration | 0.5755 | 1.13 | 0.74 to 1.72 |
| NLR model | |||
| NLR 2nd third (2.02 ≤ 3) | 0.7308 | 1.08 | 0.68 to 1.73 |
| NLR 3rd third (>3) | 0.3073 | 1.26 | 0.80 to 1.98 |
| Stage II | 0.0742 | 1.76 | 0.95 to 3.29 |
| Stage III | <0.0001 | 4.13 | 2.44 to 6.99 |
| CM subtype-ALM | 0.0093 | 2.30 | 1.23 to 4.34 |
| -LMM | 0.8679 | 1.19 | 0.16 to 8.91 |
| -NM | 0.4379 | 1.20 | 0.75 to 1.92 |
| -Others | 0.8879 | 0.69 | 0.56 to 1.65 |
| Age | 0.0010 | 1.02 | 1.01 to 1.04 |
| Tumor thickness (mm) | <0.0001 | 1.18 | 1.11 to 1.26 |
| Ulceration | 0.5014 | 1.15 | 0.76 to 1.76 |
| Model and Variables | p-Value | Hazard Ratio (HR) | 95% Confidence Interval |
|---|---|---|---|
| PIV model | |||
| PIV 2nd third (219.73 ≤ 393.73) | 0.6476 | 0.87 | 0.48 to 1.57 |
| PIV 3rd third (>393.73) | 0.2553 | 1.36 | 0.80 to 2.30 |
| Stage II | 0.2159 | 1.66 | 0.75 to 3.68 |
| Stage III | 0.0002 | 3.72 | 1.85 to 7.46 |
| CM subtype-ALM | 0.7185 | 1.17 | 0.49 to 2.80 |
| -LMM | 0.5596 | 1.83 | 0.24 to 14.11 |
| -NM | 0.8061 | 1.07 | 0.61 to 1.88 |
| -Others | 0.2259 | 0.64 | 0.31 to 1.31 |
| Age | 0.0099 | 1.02 | 1.00 to 1.04 |
| pT (1–4) | <0.0001 | 1.17 | 1.08 to 1.26 |
| Ulceration | 0.0180 | 1.84 | 1.11 to 3.04 |
| NLR model | |||
| NLR 2nd third (2.02 ≤ 3) | 0.7537 | 0.91 | 0.51 to 1.62 |
| NLR 3rd third (>3) | 0.2543 | 1.37 | 0.80 to 2.33 |
| Stage II | 0.2239 | 1.64 | 0.74 to 3.66 |
| Stage III | 0.0002 | 3.79 | 1.90 to 7.57 |
| CM subtypes-ALM | 0.6600 | 1.21 | 0.51 to 2.88 |
| -LMM | 0.4884 | 2.06 | 0.27 to 15.87 |
| -NM | 0.6541 | 1.14 | 0.65 to 1.99 |
| -Others | 0.2472 | 0.66 | 0.32 to 1.34 |
| Age | 0.0089 | 1.02 | 1.00 to 1.04 |
| pT (1–4) | <0.0001 | 1.16 | 1.08 to 1.25 |
| Ulceration | 0.0145 | 1.87 | 1.13 to 3.09 |
Publisher’s Note: MDPI stays neutral with regard to jurisdictional claims in published maps and institutional affiliations. |
© 2022 by the authors. Licensee MDPI, Basel, Switzerland. This article is an open access article distributed under the terms and conditions of the Creative Commons Attribution (CC BY) license (https://creativecommons.org/licenses/by/4.0/).
Share and Cite
Gambichler, T.; Stang, A.; Mansour, R.; Scheel, C.H.; Nick, C.; Abu Rached, N.; Becker, J.C.; Susok, L. Prognostic Potential of the Baseline Pan-Immune-Inflammation Value and Neutrophil/Lymphocyte Ratio in Stage I to III Melanoma Patients. Cancers 2022, 14, 4410. https://doi.org/10.3390/cancers14184410
Gambichler T, Stang A, Mansour R, Scheel CH, Nick C, Abu Rached N, Becker JC, Susok L. Prognostic Potential of the Baseline Pan-Immune-Inflammation Value and Neutrophil/Lymphocyte Ratio in Stage I to III Melanoma Patients. Cancers. 2022; 14(18):4410. https://doi.org/10.3390/cancers14184410
Chicago/Turabian StyleGambichler, Thilo, Andreas Stang, Rita Mansour, Christina H. Scheel, Celine Nick, Nessr Abu Rached, Jürgen C. Becker, and Laura Susok. 2022. "Prognostic Potential of the Baseline Pan-Immune-Inflammation Value and Neutrophil/Lymphocyte Ratio in Stage I to III Melanoma Patients" Cancers 14, no. 18: 4410. https://doi.org/10.3390/cancers14184410
APA StyleGambichler, T., Stang, A., Mansour, R., Scheel, C. H., Nick, C., Abu Rached, N., Becker, J. C., & Susok, L. (2022). Prognostic Potential of the Baseline Pan-Immune-Inflammation Value and Neutrophil/Lymphocyte Ratio in Stage I to III Melanoma Patients. Cancers, 14(18), 4410. https://doi.org/10.3390/cancers14184410

