Association between Vitamin D Supplementation and Cancer Mortality: A Systematic Review and Meta-Analysis
Abstract
:Simple Summary
Abstract
1. Introduction
2. Materials and Methods
2.1. Protocol and Guidance
2.2. Eligibility Criteria
2.3. Data Sources and Search Strategy
2.4. Study Selection and Collection
2.5. Assessment of Risk of Bias and Quality of Evidence
2.6. Data Synthesis and Analysis
3. Results
3.1. Characteristics of Included Studies
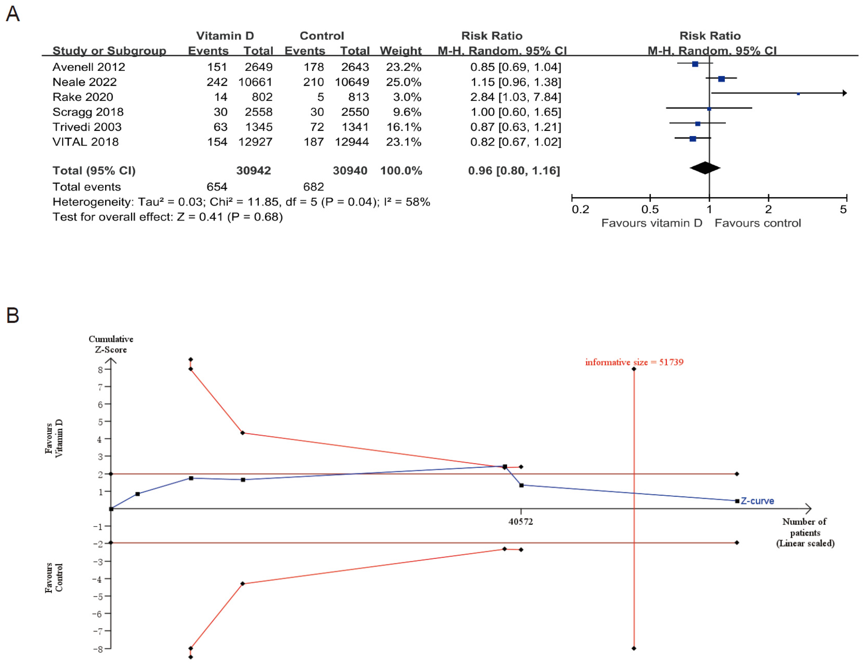
3.2. Cancer Mortality
3.3. Cancer Incidence
3.4. Grading of Evidence
4. Discussion
5. Conclusions
Supplementary Materials
Author Contributions
Funding
Conflicts of Interest
References
- Jeon, S.-M.; Shin, E.-A. Exploring Vitamin D Metabolism and Function in Cancer. Exp. Mol. Med. 2018, 50, 1–14. [Google Scholar] [CrossRef] [PubMed] [Green Version]
- Feldman, D.; Krishnan, A.V.; Swami, S.; Giovannucci, E.; Feldman, B.J. The Role of Vitamin D in Reducing Cancer Risk and Progression. Nat. Rev. Cancer 2014, 14, 342–357. [Google Scholar] [CrossRef] [PubMed]
- Mondul, A.M.; Weinstein, S.J.; Layne, T.M.; Albanes, D. Vitamin D and Cancer Risk and Mortality: State of the Science, Gaps, and Challenges. Epidemiol. Rev. 2017, 39, 28–48. [Google Scholar] [CrossRef] [PubMed]
- McCullough, M.L.; Zoltick, E.S.; Weinstein, S.J.; Fedirko, V.; Wang, M.; Cook, N.R.; Eliassen, A.H.; Zeleniuch-Jacquotte, A.; Agnoli, C.; Albanes, D.; et al. Circulating Vitamin D and Colorectal Cancer Risk: An International Pooling Project of 17 Cohorts. J. Natl. Cancer Inst. 2019, 111, 158–169. [Google Scholar] [CrossRef] [PubMed]
- Rose, A.A.N.; Elser, C.; Ennis, M.; Goodwin, P.J. Blood Levels of Vitamin D and Early Stage Breast Cancer Prognosis: A Systematic Review and Meta-Analysis. Breast Cancer Res. Treat. 2013, 141, 331–339. [Google Scholar] [CrossRef] [PubMed]
- Kim, Y.; Je, Y. Vitamin D Intake, Blood 25(OH)D Levels, and Breast Cancer Risk or Mortality: A Meta-Analysis. Br. J. Cancer 2014, 110, 2772–2784. [Google Scholar] [CrossRef] [Green Version]
- Chen, F.; Li, Q.; Yu, Y.; Yang, W.; Shi, F.; Qu, Y. Association of Vitamin C, Vitamin D, Vitamin E and Risk of Bladder Cancer: A Dose-Response Meta-Analysis. Sci. Rep. 2015, 5, 9599. [Google Scholar] [CrossRef] [Green Version]
- Liao, Y.; Huang, J.-L.; Qiu, M.-X.; Ma, Z.-W. Impact of Serum Vitamin D Level on Risk of Bladder Cancer: A Systemic Review and Meta-Analysis. Tumor Biol. 2015, 36, 1567–1572. [Google Scholar] [CrossRef]
- Zhang, L.; Wang, S.; Che, X.; Li, X. Vitamin D and Lung Cancer Risk: A Comprehensive Review and Meta-Analysis. Cell. Physiol. Biochem. 2015, 36, 299–305. [Google Scholar] [CrossRef]
- Liu, J.; Dong, Y.; Lu, C.; Wang, Y.; Peng, L.; Jiang, M.; Tang, Y.; Zhao, Q. Meta-Analysis of the Correlation between Vitamin D and Lung Cancer Risk and Outcomes. Oncotarget 2017, 8, 81040–81051. [Google Scholar] [CrossRef] [Green Version]
- Iniesta, R.R.; Rush, R.; Paciarotti, I.; Rhatigan, E.B.; Brougham, F.H.M.; McKenzie, J.M.; Wilson, D.C. Systematic Review and Meta-Analysis: Prevalence and Possible Causes of Vitamin D Deficiency and Insufficiency in Pediatric Cancer Patients. Clin. Nutr. 2016, 35, 95–108. [Google Scholar] [CrossRef]
- Zhang, X.; Huang, X.-Z.; Chen, W.-J.; Wu, J.; Chen, Y.; Wu, C.-C.; Wang, Z.-N. Plasma 25-Hydroxyvitamin D Levels, Vitamin D Intake, and Pancreatic Cancer Risk or Mortality: A Meta-Analysis. Oncotarget 2017, 8, 64395–64406. [Google Scholar] [CrossRef] [Green Version]
- Gao, J.; Wei, W.; Wang, G.; Zhou, H.; Fu, Y.; Liu, N. Circulating Vitamin D Concentration and Risk of Prostate Cancer: A Dose-Response Meta-Analysis of Prospective Studies. Ther. Clin. Risk Manag. 2018, 14, 95–104. [Google Scholar] [CrossRef] [Green Version]
- Chatterjee, R.; Fuss, P.; Vickery, E.M.; Leblanc, E.S.; Sheehan, P.R.; Lewis, M.R.; Dolor, R.J.; Johnson, K.C.; Kashyap, S.R.; Nelson, J.; et al. Vitamin D Supplementation for Prevention of Cancer: The D2d Cancer Outcomes (D2dCA) Ancillary Study. J. Clin. Endocrinol. Metab. 2021, 106, 2767–2778. [Google Scholar] [CrossRef] [PubMed]
- Neale, R.E.; Baxter, C.; Romero, B.D.; McLeod, D.S.A.; English, D.R.; Armstrong, B.K.; Ebeling, P.R.; Hartel, G.; Kimlin, M.G.; O’Connell, R.; et al. The D-Health Trial: A Randomised Controlled Trial of the Effect of Vitamin D on Mortality. Lancet Diabetes Endocrinol. 2022, 10, 120–128. [Google Scholar] [CrossRef]
- Keum, N.; Lee, D.H.; Greenwood, D.C.; Manson, J.E.; Giovannucci, E. Vitamin D Supplementation and Total Cancer Incidence and Mortality: A Meta-Analysis of Randomized Controlled Trials. Ann. Oncol. 2019, 30, 733–743. [Google Scholar] [CrossRef] [PubMed]
- Goulão, B.; Stewart, F.; Ford, J.A.; MacLennan, G.; Avenell, A. Cancer and Vitamin D Supplementation: A Systematic Review and Meta-Analysis. Am. J. Clin. Nutr. 2018, 107, 652–663. [Google Scholar] [CrossRef]
- Zhang, Y.; Fang, F.; Tang, J.; Jia, L.; Feng, Y.; Xu, P.; Faramand, A. Association between Vitamin D Supplementation and Mortality: Systematic Review and Meta-Analysis. Br. Med. J. 2019, 366, l4673. [Google Scholar] [CrossRef] [Green Version]
- Bjelakovic, G.; Gluud, L.L.; Nikolova, D.; Whitfield, K.; Krstic, G.; Wetterslev, J.; Gluud, C. Vitamin D Supplementation for Prevention of Cancer in Adults. Cochrane Database Syst. Rev. 2014, 6, CD007469. [Google Scholar] [CrossRef] [PubMed]
- Guo, Z.; Huang, M.; Fan, D.; Hong, Y.; Zhao, M.; Ding, R.; Cheng, Y.; Duan, S. Association between Vitamin D Supplementation and Cancer Incidence and Mortality: A Trial Sequential Meta-Analysis of Randomized Controlled Trials. Crit. Rev. Food Sci. Nutr. 2022, 1, 1–15. [Google Scholar] [CrossRef] [PubMed]
- Page, M.J.; McKenzie, J.E.; Bossuyt, P.M.; Boutron, I.; Hoffmann, T.C.; Mulrow, C.D.; Shamseer, L.; Tetzlaff, J.M.; Akl, E.A.; Brennan, S.E.; et al. The PRISMA 2020 Statement: An Updated Guideline for Reporting Systematic Reviews. Br. Med. J. 2021, 372, n71. [Google Scholar] [CrossRef] [PubMed]
- Yang, B.; Campbell, P.T.; Gapstur, S.M.; Jacobs, E.J.; Bostick, R.M.; Fedirko, V.; Flanders, W.D.; McCullough, M.L. Calcium Intake and Mortality from All Causes, Cancer, and Cardiovascular Disease: The Cancer Prevention Study II Nutrition Cohort. Am. J. Clin. Nutr. 2016, 103, 886–894. [Google Scholar] [CrossRef] [Green Version]
- Bolland, M.J.; Avenell, A.; Baron, J.A.; Grey, A.; MacLennan, G.S.; Gamble, G.D.; Reid, I.R. Effect of Calcium Supplements on Risk of Myocardial Infarction and Cardiovascular Events: Meta-Analysis. Br. Med. J. 2010, 341, c3691. [Google Scholar] [CrossRef] [PubMed] [Green Version]
- Lewis, J.R.; Zhu, K.; Prince, R.L. Adverse Events from Calcium Supplementation: Relationship to Errors in Myocardial Infarction Self-Reporting in Randomized Controlled Trials of Calcium Supplementation. J. Bone Miner. Res. Off. J. Am. Soc. Bone Miner. Res. 2012, 27, 719–722. [Google Scholar] [CrossRef] [PubMed]
- Bolland, M.J.; Grey, A.; Avenell, A.; Gamble, G.D.; Reid, I.R. Calcium Supplements with or without Vitamin D and Risk of Cardiovascular Events: Reanalysis of the Women’s Health Initiative Limited Access Dataset and Meta-Analysis. Br. Med. J. 2011, 342, d2040. [Google Scholar] [CrossRef] [PubMed] [Green Version]
- Fernandez-Lazaro, C.I.; Romanos-Nanclares, A.; Sánchez-Bayona, R.; Gea, A.; Sayon-Orea, C.; Martinez-Gonzalez, M.A.; Toledo, E. Dietary Calcium, Vitamin D, and Breast Cancer Risk in Women: Findings from the SUN Cohort. Eur. J. Nutr. 2021, 60, 3783–3797. [Google Scholar] [CrossRef]
- Guyatt, G.H.; Oxman, A.D.; Vist, G.E.; Kunz, R.; Falck-Ytter, Y.; Alonso-Coello, P.; Schünemann, H.J. GRADE: An Emerging Consensus on Rating Quality of Evidence and Strength of Recommendations. Br. Med. J. 2008, 336, 924–926. [Google Scholar] [CrossRef] [Green Version]
- Higgins, J.P.T.; Thompson, S.G. Quantifying Heterogeneity in a Meta-Analysis. Stat. Med. 2002, 21, 1539–1558. [Google Scholar] [CrossRef]
- Brok, J.; Thorlund, K.; Gluud, C.; Wetterslev, J. Trial Sequential Analysis Reveals Insufficient Information Size and Potentially False Positive Results in Many Meta-Analyses. J. Clin. Epidemiol. 2008, 61, 763–769. [Google Scholar] [CrossRef]
- Lappe, J.M.; Travers-Gustafson, D.; Davies, K.M.; Recker, R.R.; Heaney, R.P. Vitamin D and Calcium Supplementation Reduces Cancer Risk: Results of a Randomized Trial. Am. J. Clin. Nutr. 2007, 85, 1586–1591. [Google Scholar] [CrossRef] [Green Version]
- Prince, R.L.; Austin, N.; Devine, A.; Dick, I.M.; Bruce, D.; Zhu, K. Effects of Ergocalciferol Added to Calcium on the Risk of Falls in Elderly High-Risk Women. Arch. Intern. Med. 2008, 168, 103–108. [Google Scholar] [CrossRef] [PubMed] [Green Version]
- Scragg, R.; Khaw, K.T.; Toop, L.; Sluyter, J.; Lawes, C.M.M.; Waayer, D.; Giovannucci, E.; Camargo, C.A. Monthly High-Dose Vitamin D Supplementation and Cancer Risk: A Post Hoc Analysis of the Vitamin D Assessment Randomized Clinical Trial. JAMA Oncol. 2018, 4, e182178. [Google Scholar] [CrossRef] [PubMed] [Green Version]
- Hansen, K.E.; Johnson, R.E.; Chambers, K.R.; Johnson, M.G.; Lemon, C.C.; Vo, T.N.T.; Marvdashti, S. Treatment of Vitamin D Insufficiency in Postmenopausal Women: A Randomized Clinical Trial. JAMA Intern. Med. 2015, 175, 1612–1621. [Google Scholar] [CrossRef] [PubMed]
- Sanders, K.M.; Stuart, A.L.; Williamson, E.J.; Simpson, J.A.; Kotowicz, M.A.; Young, D.; Nicholson, G.C. Annual High-Dose Oral Vitamin D and Falls and Fractures in Older Women: A Randomized Controlled Trial. JAMA J. Am. Med. Assoc. 2010, 303, 1815–1822. [Google Scholar] [CrossRef] [Green Version]
- Jorde, R.; Sollid, S.T.; Svartberg, J.; Schirmer, H.; Joakimsen, R.M.; Njølstad, I.; Fuskevåg, O.M.; Figenschau, Y.; Hutchinson, M.Y.S. Vitamin D 20,000 IU per Week for Five Years Does Not Prevent Progression from Prediabetes to Diabetes. J. Clin. Endocrinol. Metab. 2016, 101, 1647–1655. [Google Scholar] [CrossRef] [Green Version]
- Jin, X.; Jones, G.; Cicuttini, F.; Wluka, A.; Zhu, Z.; Han, W.; Antony, B.; Wang, X.; Winzenberg, T.; Blizzard, L.; et al. Effect of Vitamin D Supplementation on Tibial Cartilage Volume and Knee Pain among Patients with Symptomatic Knee Osteoarthritis: A Randomized Clinical Trial. JAMA J. Am. Med. Assoc. 2016, 315, 1005–1013. [Google Scholar] [CrossRef] [PubMed]
- Manson, J.E.; Cook, N.R.; Lee, I.-M.; Christen, W.; Bassuk, S.S.; Mora, S.; Gibson, H.; Gordon, D.; Copeland, T.; D’Agostino, D.; et al. Vitamin D Supplements and Prevention of Cancer and Cardiovascular Disease. N. Engl. J. Med. 2019, 380, 33–44. [Google Scholar] [CrossRef]
- Avenell, A.; MacLennan, G.S.; Jenkinson, D.J.; McPherson, G.C.; McDonald, A.M.; Pant, P.R.; Grant, A.M.; Campbell, M.K.; Anderson, F.H.; Cooper, C.; et al. Long-Term Follow-up for Mortality and Cancer in a Randomized Placebo-Controlled Trial of Vitamin D3 and/or Calcium (RECORD Trial). J. Clin. Endocrinol. Metab. 2012, 97, 614–622. [Google Scholar] [CrossRef] [Green Version]
- Martineau, A.R.; James, W.Y.; Hooper, R.L.; Barnes, N.C.; Jolliffe, D.A.; Greiller, C.L.; Islam, K.; McLaughlin, D.; Bhowmik, A.; Timms, P.M.; et al. Vitamin D3 Supplementation in Patients with Chronic Obstructive Pulmonary Disease (ViDiCO): A Multicentre, Double-Blind, Randomised Controlled Trial. Lancet Respir. Med. 2015, 3, 120–130. [Google Scholar] [CrossRef]
- Scragg, R.; Stewart, A.W.; Waayer, D.; Lawes, C.M.M.; Toop, L.; Sluyter, J.; Murphy, J.; Khaw, K.T.; Camargo, C.A. Effect of Monthly High-Dose Vitamin D Supplementation on Cardiovascular Disease in the Vitamin D Assessment Study: A Randomized Clinical Trial. JAMA Cardiol. 2017, 2, 608–616. [Google Scholar] [CrossRef] [Green Version]
- Trivedi, D.P.; Doll, R.; Khaw, K.T. Effect of Four Monthly Oral Vitamin D3 (Cholecalciferol) Supplementation on Fractures and Mortality in Men and Women Living in the Community: Randomised Double Blind Controlled Trial. Br. Med. J. 2003, 326, 469–472. [Google Scholar] [CrossRef] [Green Version]
- Chandler, P.D.; Chen, W.Y.; Ajala, O.N.; Hazra, A.; Cook, N.; Bubes, V.; Lee, I.M.; Giovannucci, E.L.; Willett, W.; Buring, J.E.; et al. Effect of Vitamin D3Supplements on Development of Advanced Cancer: A Secondary Analysis of the VITAL Randomized Clinical Trial. JAMA Netw. Open 2020, 3, e2025850. [Google Scholar] [CrossRef] [PubMed]
- Baron, J.A.; Barry, E.L.; Mott, L.A.; Rees, J.R.; Sandler, R.S.; Snover, D.C.; Bostick, R.M.; Ivanova, A.; Cole, B.F.; Ahnen, D.J.; et al. A Trial of Calcium and Vitamin D for the Prevention of Colorectal Adenomas. N. Engl. J. Med. 2015, 373, 1519–1530. [Google Scholar] [CrossRef] [PubMed]
- Lappe, J.; Watson, P.; Travers-Gustafson, D.; Recker, R.; Garland, C.; Gorham, E.; Baggerly, K.; McDonnell, S.L. Effect of Vitamin D and Calcium Supplementation on Cancer Incidence in Older Women: A Randomized Clinical Trial. JAMA J. Am. Med. Assoc. 2017, 317, 1234–1243. [Google Scholar] [CrossRef] [PubMed]
- Rake, C.; Gilham, C.; Bukasa, L.; Ostler, R.; Newton, M.; Wild, J.P.; Aigret, B.; Hill, M.; Gillie, O.; Nazareth, I.; et al. High-Dose Oral Vitamin d Supplementation and Mortality in People Aged 65–84 Years: The Vidal Cluster Feasibility Rct of Open versus Double-Blind Individual Randomisation. Health Technol. Assess. 2020, 24, 1–53. [Google Scholar] [CrossRef] [PubMed] [Green Version]
- Virtanen, J.K.; Nurmi, T.; Aro, A.; Bertone-Johnson, E.R.; Hyppönen, E.; Kröger, H.; Lamberg-Allardt, C.; Manson, J.E.; Mursu, J.; Mäntyselkä, P.; et al. Vitamin D Supplementation and Prevention of Cardiovascular Disease and Cancer in the Finnish Vitamin D Trial: A Randomized Controlled Trial. Am. J. Clin. Nutr. 2022, 115, 1300–1310. [Google Scholar] [CrossRef]
- Bolland, M.J.; Grey, A.; Gamble, G.D.; Reid, I.R. The Effect of Vitamin D Supplementation on Skeletal, Vascular, or Cancer Outcomes: A Trial Sequential Meta-Analysis. Lancet Diabetes Endocrinol. 2014, 2, 307–320. [Google Scholar] [CrossRef]
- Zhang, X.; Niu, W. Meta-Analysis of Randomized Controlled Trials on Vitamin D Supplement and Cancer Incidence and Mortality. Biosci. Rep. 2019, 39, BSR20190369. [Google Scholar] [CrossRef] [Green Version]
- Ketha, H.; Thacher, T.D.; Oberhelman, S.S.; Fischer, P.R.; Singh, R.J.; Kumar, R. Comparison of the Effect of Daily versus Bolus Dose Maternal Vitamin D(3) Supplementation on the 24,25-Dihydroxyvitamin D(3) to 25-Hydroxyvitamin D(3) Ratio. Bone 2018, 110, 321–325. [Google Scholar] [CrossRef]
- Verone-Boyle, A.R.; Shoemaker, S.; Attwood, K.; Morrison, C.D.; Makowski, A.J.; Battaglia, S.; Hershberger, P.A. Diet-Derived 25-Hydroxyvitamin D3 Activates Vitamin D Receptor Target Gene Expression and Suppresses EGFR Mutant Non-Small Cell Lung Cancer Growth in Vitro and in Vivo. Oncotarget 2016, 7, 995–1013. [Google Scholar] [CrossRef] [Green Version]
- Wang, W.; Hu, W.; Xue, S.; Chen, Q.; Jiang, Y.; Zhang, H.; Zuo, W. Vitamin D and Lung Cancer; Association, Prevention, and Treatment. Nutr. Cancer 2021, 73, 2188–2200. [Google Scholar] [CrossRef] [PubMed]
- Young, M.R.; Ihm, J.; Lozano, Y.; Wright, M.A.; Prechel, M.M. Treating Tumor-Bearing Mice with Vitamin D3 Diminishes Tumor-Induced Myelopoiesis and Associated Immunosuppression, and Reduces Tumor Metastasis and Recurrence. Cancer Immunol. Immunother. 1995, 41, 37–45. [Google Scholar] [CrossRef] [PubMed]
- Nakagawa, K.; Kawaura, A.; Kato, S.; Takeda, E.; Okano, T. 1 Alpha,25-Dihydroxyvitamin D(3) Is a Preventive Factor in the Metastasis of Lung Cancer. Carcinogenesis 2005, 26, 429–440. [Google Scholar] [CrossRef] [PubMed]
- Feng, Q.; Zhang, H.; Dong, Z.; Zhou, Y.; Ma, J. Circulating 25-Hydroxyvitamin D and Lung Cancer Risk and Survival: A Dose-Response Meta-Analysis of Prospective Cohort Studies. Medicine 2017, 96, e8613. [Google Scholar] [CrossRef]
- Freedman, D.M.; Looker, A.C.; Abnet, C.C.; Linet, M.S.; Graubard, B.I. Serum 25-Hydroxyvitamin D and Cancer Mortality in the NHANES III Study (1988–2006). Cancer Res. 2010, 70, 8587–8597. [Google Scholar] [CrossRef] [PubMed] [Green Version]
- Weinstein, S.J.; Mondul, A.M.; Yu, K.; Layne, T.M.; Abnet, C.C.; Freedman, N.D.; Stolzenberg-Solomon, R.Z.; Lim, U.; Gail, M.H.; Albanes, D. Circulating 25-Hydroxyvitamin D up to 3 Decades Prior to Diagnosis in Relation to Overall and Organ-Specific Cancer Survival. Eur. J. Epidemiol. 2018, 33, 1087–1099. [Google Scholar] [CrossRef]
- Heist, R.S.; Zhou, W.; Wang, Z.; Liu, G.; Neuberg, D.; Su, L.; Asomaning, K.; Hollis, B.W.; Lynch, T.J.; Wain, J.C.; et al. Circulating 25-Hydroxyvitamin D, VDR Polymorphisms, and Survival in Advanced Non-Small-Cell Lung Cancer. J. Clin. Oncol. 2008, 26, 5596–5602. [Google Scholar] [CrossRef] [Green Version]
- Vashi, P.G.; Edwin, P.; Popiel, B.; Gupta, D. The Relationship between Circulating 25-Hydroxyvitamin D and Survival in Newly Diagnosed Advanced Non-Small-Cell Lung Cancer. BMC Cancer 2015, 15, 1012. [Google Scholar] [CrossRef] [Green Version]




| Trial | Age (Years) | Female | Participants (Vitamin D/No Vitamin D) | Baseline 25OHD (nmol/L) (Vitamin D/No Vitamin D) | Intervention | Control | Primary Outcome | Follow-Up Period |
|---|---|---|---|---|---|---|---|---|
| Baron 2015 [43] | 58 | 37% | 1130/1129 | 58/58 | vitamin D3 (1000 IU) daily plus calcium (1200 mg) daily | calcium (1200 mg) daily | adenomas incidence | 3.7 years |
| Chatterjee 2021 [14] | 60 | 44.5% | 1194/1191 | 70/70 | vitamin D3 4000 IU daily | placebo | cancer and major cardiovascular events | 2.9 years |
| Jorde 2016 [35] | 62 | 49% | 256/255 | 60/61 | vitamin D3 (20,000 IU) weekly | placebo | progression to type 2 diabetes | 5 years |
| Lappe 2007 [30] | 67 | 100% | 446/445 | 72/72 | vitamin D3 (1000 IU) plus calcium (1400 to 1500 mg) daily | calcium (1400 to 1500 mg) daily | fracture | 4 years |
| Neale 2022 [15] | 69 | 45.9% | 10661/10649 | NR | vitamin D3 60,000 IU monthly | placebo | mortality | 5 years |
| Avenell 2012 [38] | 77 | 85% | 2649/2643 | 38/38 | vitamin D3 (800 IU) or calcium (1000 mg) or both daily | calcium (1000 mg) or placebo daily | mortality | 2–5.2 years with 3 follow-up years after intervention |
| Sanders 2010 [34] | 76 | 100% | 1131/1125 | 53/45 | vitamin D3 (500,000 IU) yearly | placebo | falls and fractures | 3–5 years with 1 follow-up years after intervention |
| Trivedi 2003 [41] | 75 | 24% | 1345/1341 | NR | vitamin D3 (100,000 IU) four-monthly | placebo | Fracture | 5 years |
| Scragg 2018 [32] | 65.9 | 42% | 2558/2550 | 64/63 | vitamin D3 initial (200,000 IU) then vitamin D3 (100,000 IU) monthly | placebo | CVD and death | 3.3 years |
| VITAL 2018 [37,42] | 67 | 51% | 12917/12944 | 77/77 | vitamin D3 (2000 IU) daily | placebo | cancer and major cardiovascular events | 5.3 years |
| Rake 2020 [45] | 65–84 years | 0.469 | 802/813 | 51.5/51.5 | vitamin D3 (100,000 IU) monthly | placebo or no treatment | mortality | 5 years |
| Virtanen 2022 [46] | 68 | 0.428 | 830/1665 | 73/75 | vitamin D3 (1600 IU or 3200 IU) daily | placebo | cardiovascular disease and cancer | 5 years |
| Outcome | No. of Patients (Trials) | RR (95%CI) | Absolute Effect Estimates (per 1000) | Quality of the Evidence | ||
|---|---|---|---|---|---|---|
| Control | Intervention | Difference | ||||
| Cancer mortality | 61882 (6) | 0.96 (0.80 to 1.16) | 22 | 21 | −1 (−4 to 4) | Moderate |
| Colorectal cancer mortality | 33849 (3) | 0.91 (0.49 to 1.67) | 2 | 2 | 0 (−1 to 2) | Moderate |
| Lung cancer mortality | 29288 (3) | 0.63 (0.45 to 0.90) | 6 | 4 | −2 (−1 to −3) | High |
| Breast cancer mortality | 40132 (3) | 1.04 (0.58 to 1.87) | 1 | 1 | 0 (0 to 1) | Moderate |
| Prostate cancer mortality | 26682 (2) | 0.6 (0.21 to 1.74) | 1 | 1 | 0 (−1 to 1) | Low |
| Cancer incidence | 51369 (11) | 0.99 (0.93 to 1.06) | 68 | 67 | −1 (−5 to 4) | High |
| Colorectal cancer incidence | 39494 (6) | 1.15 (0.89 to 1.49) | 6 | 7 | 1 (−1 to 3) | High |
| Lung cancer incidence | 34740 (4) | 0.94 (0.73 to 1.21) | 7 | 7 | 0 (−2 to 1) | High |
| Breast cancer incidence | 20175 (5) | 1.03 (0.84 to 1.27) | 18 | 18 | 1 (−3 to 5) | High |
| Prostate cancer incidence | 15023 (3) | 0.91 (0.76 to 1.09) | 34 | 33 | −1 (−11 to 12) | High |
Publisher’s Note: MDPI stays neutral with regard to jurisdictional claims in published maps and institutional affiliations. |
© 2022 by the authors. Licensee MDPI, Basel, Switzerland. This article is an open access article distributed under the terms and conditions of the Creative Commons Attribution (CC BY) license (https://creativecommons.org/licenses/by/4.0/).
Share and Cite
Zhang, R.; Zhang, Y.; Liu, Z.; Pei, Y.; Xu, P.; Chong, W.; Hai, Y.; He, L.; He, Y.; Yu, J.; et al. Association between Vitamin D Supplementation and Cancer Mortality: A Systematic Review and Meta-Analysis. Cancers 2022, 14, 3717. https://doi.org/10.3390/cancers14153717
Zhang R, Zhang Y, Liu Z, Pei Y, Xu P, Chong W, Hai Y, He L, He Y, Yu J, et al. Association between Vitamin D Supplementation and Cancer Mortality: A Systematic Review and Meta-Analysis. Cancers. 2022; 14(15):3717. https://doi.org/10.3390/cancers14153717
Chicago/Turabian StyleZhang, Renjie, Yu Zhang, Zheran Liu, Yiyan Pei, Ping Xu, Weelic Chong, Yang Hai, Ling He, Yan He, Jiayi Yu, and et al. 2022. "Association between Vitamin D Supplementation and Cancer Mortality: A Systematic Review and Meta-Analysis" Cancers 14, no. 15: 3717. https://doi.org/10.3390/cancers14153717
APA StyleZhang, R., Zhang, Y., Liu, Z., Pei, Y., Xu, P., Chong, W., Hai, Y., He, L., He, Y., Yu, J., Wang, J., Fang, F., & Peng, X. (2022). Association between Vitamin D Supplementation and Cancer Mortality: A Systematic Review and Meta-Analysis. Cancers, 14(15), 3717. https://doi.org/10.3390/cancers14153717

