Analysis of Genomic Alterations Associated with Recurrence in Early Stage HER2-Positive Breast Cancer
Abstract
Simple Summary
Abstract
1. Introduction
2. Materials and Methods
2.1. Patients
2.2. Gene Expression Analysis
2.3. Statistical Analysis
3. Results
3.1. Clinicopathological Characteristics and Recurrence Patterns
3.2. Differentially Expressed Genes between Recurrence and Nonrecurrence Groups
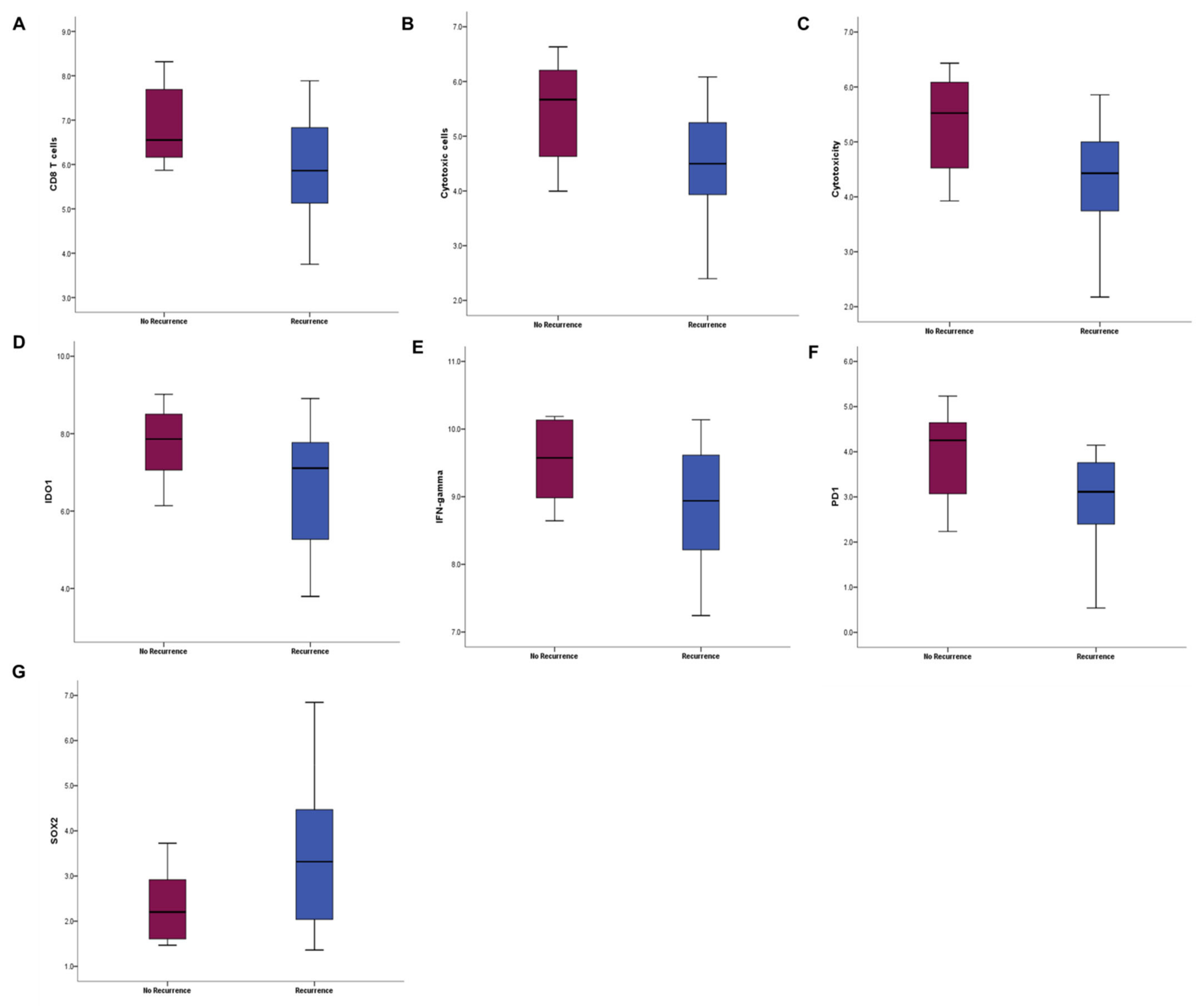
3.3. PAM50 Intrinsic Subtypes and Tumor Inflammation Signature
4. Discussion
5. Conclusions
Supplementary Materials
Author Contributions
Funding
Institutional Review Board Statement
Informed Consent Statement
Data Availability Statement
Conflicts of Interest
References
- Loibl, S.; Gianni, L. HER2-positive breast cancer. Lancet 2017, 389, 2415–2429. [Google Scholar] [CrossRef]
- Piccart-Gebhart, M.J.; Procter, M.; Leyland-Jones, B.; Goldhirsch, A.; Untch, M.; Smith, I.; Gianni, L.; Baselga, J.; Bell, R.; Jackisch, C.; et al. Trastuzumab after adjuvant chemotherapy in HER2-positive breast cancer. N. Engl. J. Med. 2005, 353, 1659–1672. [Google Scholar] [CrossRef]
- Early Breast Cancer Trialists’ Collaborative Group (EBCTCG). Trastuzumab for early-stage, HER2-positive breast cancer: A meta-analysis of 13 864 women in seven randomised trials. Lancet Oncol. 2021, 22, 1139–1150. [Google Scholar] [CrossRef]
- Valachis, A.; Mauri, D.; Polyzos, N.P.; Chlouverakis, G.; Mavroudis, D.; Georgoulias, V. Trastuzumab combined to neoadjuvant chemotherapy in patients with HER2-positive breast cancer: A systematic review and meta-analysis. Breast 2011, 20, 485–490. [Google Scholar] [CrossRef]
- Chiec, L.; Shah, A.N. Risk-based Approaches for Optimizing Treatment in HER2-Positive Early Stage Breast Cancer. Semin. Oncol. 2020, 47, 249–258. [Google Scholar] [CrossRef]
- Feng, Y.; Spezia, M.; Huang, S.; Yuan, C.; Zeng, Z.; Zhang, L.; Ji, X.; Liu, W.; Huang, B.; Luo, W.; et al. Breast cancer development and progression: Risk factors, cancer stem cells, signaling pathways, genomics, and molecular pathogenesis. Genes Dis. 2018, 5, 77–106. [Google Scholar] [CrossRef]
- Terceiro, L.E.L.; Edechi, C.A.; Ikeogu, N.M.; Nickel, B.E.; Hombach-Klonisch, S.; Sharif, T.; Leygue, E.; Myal, Y. The Breast Tumor Microenvironment: A Key Player in Metastatic Spread. Cancers 2021, 13, 4798. [Google Scholar] [CrossRef] [PubMed]
- Fernandez-Martinez, A.; Krop, I.E.; Hillman, D.W.; Polley, M.Y.; Parker, J.S.; Huebner, L.; Hoadley, K.A.; Shepherd, J.; Tolaney, S.; Henry, N.L.; et al. Survival, Pathologic Response, and Genomics in CALGB 40601 (Alliance), a Neoadjuvant Phase III Trial of Paclitaxel-Trastuzumab with or Without Lapatinib in HER2-Positive Breast Cancer. J. Clin. Oncol. 2020, 38, 4184–4193. [Google Scholar] [CrossRef]
- Prat, A.; Pineda, E.; Adamo, B.; Galvan, P.; Fernandez, A.; Gaba, L.; Diez, M.; Viladot, M.; Arance, A.; Munoz, M. Clinical implications of the intrinsic molecular subtypes of breast cancer. Breast 2015, 24 (Suppl. 2), S26–S35. [Google Scholar] [CrossRef]
- Goncalves, R.; Bose, R. Using Multigene Tests to Select Treatment for Early-Stage Breast Cancer. J. Natl. Compr. Cancer Netw. 2013, 11, 174–182. [Google Scholar] [CrossRef]
- Kalinsky, K.; Barlow, W.E.; Gralow, J.R.; Meric-Bernstam, F.; Albain, K.S.; Hayes, D.F.; Lin, N.U.; Perez, E.A.; Goldstein, L.J.; Chia, S.K.L.; et al. 21-Gene Assay to Inform Chemotherapy Benefit in Node-Positive Breast Cancer. N. Engl. J. Med. 2021, 385, 2336–2347. [Google Scholar] [CrossRef]
- Soliman, H.; Shah, V.; Srkalovic, G.; Mahtani, R.; Levine, E.; Mavromatis, B.; Srinivasiah, J.; Kassar, M.; Gabordi, R.; Qamar, R.; et al. MammaPrint guides treatment decisions in breast Cancer: Results of the IMPACt trial. BMC Cancer 2020, 20, 81. [Google Scholar] [CrossRef]
- nanoString. nCounter Breast Cancer 360 Panel. Available online: https://nanostring.com/products/ncounter-assays-panels/oncology/breast-cancer-360/ (accessed on 16 June 2022).
- Parker, J.S.; Mullins, M.; Cheang, M.C.; Leung, S.; Voduc, D.; Vickery, T.; Davies, S.; Fauron, C.; He, X.; Hu, Z.; et al. Supervised risk predictor of breast cancer based on intrinsic subtypes. J. Clin. Oncol. 2009, 27, 1160–1167. [Google Scholar] [CrossRef]
- Ayers, M.; Lunceford, J.; Nebozhyn, M.; Murphy, E.; Loboda, A.; Kaufman, D.R.; Albright, A.; Cheng, J.D.; Kang, S.P.; Shankaran, V.; et al. IFN-gamma-related mRNA profile predicts clinical response to PD-1 blockade. J. Clin. Investig. 2017, 127, 2930–2940. [Google Scholar] [CrossRef]
- Chen, Y.; Chen, Z.; Tang, Y.; Xiao, Q. The involvement of noncanonical Wnt signaling in cancers. Biomed. Pharmacother. 2021, 133, 110946. [Google Scholar] [CrossRef]
- Dwyer, M.A.; Joseph, J.D.; Wade, H.E.; Eaton, M.L.; Kunder, R.S.; Kazmin, D.; Chang, C.Y.; McDonnell, D.P. WNT11 Expression Is Induced by Estrogen-Related Receptor alpha and beta-Catenin and Acts in an Autocrine Manner to Increase Cancer Cell Migration. Cancer Res. 2010, 70, 9298–9308. [Google Scholar] [CrossRef]
- Yu, L.; Kim, H.J.; Park, M.K.; Byun, H.J.; Kim, E.J.; Kim, B.; Nguyen, M.T.; Kim, J.H.; Kang, G.J.; Lee, H.; et al. Ethacrynic acid, a loop diuretic, suppresses epithelial-mesenchymal transition of A549 lung cancer cells via blocking of NDP-induced WNT signaling. Biochem. Pharmacol. 2021, 183, 114339. [Google Scholar] [CrossRef]
- Watson, J.; Francavilla, C. Regulation of FGF10 Signaling in Development and Disease. Front. Genet. 2018, 9, 500. [Google Scholar] [CrossRef]
- Cheng, W.L.; Feng, P.H.; Lee, K.Y.; Chen, K.Y.; Sun, W.L.; Van Hiep, N.; Luo, C.S.; Wu, S.M. The Role of EREG/EGFR Pathway in Tumor Progression. Int. J. Mol. Sci. 2021, 22, 12828. [Google Scholar] [CrossRef]
- Liao, C.; Zhang, Y.; Fan, C.; Herring, L.E.; Liu, J.; Locasale, J.W.; Takada, M.; Zhou, J.; Zurlo, G.; Hu, L.; et al. Identification of BBOX1 as a Therapeutic Target in Triple-Negative Breast Cancer. Cancer Discov. 2020, 10, 1706–1721. [Google Scholar] [CrossRef]
- Zhang, T.; Li, X.; He, Y.; Wang, Y.; Shen, J.; Wang, S.; You, Q.; Zhai, J.; Shen, L. Cancer-associated fibroblasts-derived HAPLN1 promotes tumour invasion through extracellular matrix remodeling in gastric cancer. Gastric. Cancer 2022, 25, 346–359. [Google Scholar] [CrossRef]
- Outhwaite, J.E.; Patel, J.; Simmons, D.G. Secondary Placental Defects in Cxadr Mutant Mice. Front. Physiol. 2019, 10, 622. [Google Scholar] [CrossRef]
- Galon, J.; Angell, H.K.; Bedognetti, D.; Marincola, F.M. The continuum of cancer immunosurveillance: Prognostic, predictive, and mechanistic signatures. Immunity 2013, 39, 11–26. [Google Scholar] [CrossRef] [PubMed]
- Stewart, R.L.; Updike, K.L.; Factor, R.E.; Henry, N.L.; Boucher, K.M.; Bernard, P.S.; Varley, K.E. A Multigene Assay Determines Risk of Recurrence in Patients with Triple-Negative Breast Cancer. Cancer Res. 2019, 79, 3466–3478. [Google Scholar] [CrossRef]
- Prat, A.; Guarneri, V.; Pare, L.; Griguolo, G.; Pascual, T.; Dieci, M.V.; Chic, N.; Gonzalez-Farre, B.; Frassoldati, A.; Sanfeliu, E.; et al. A multivariable prognostic score to guide systemic therapy in early-stage HER2-positive breast cancer: A retrospective study with an external evaluation. Lancet Oncol. 2020, 21, 1455–1464. [Google Scholar] [CrossRef]
- Robinson, T.J.; Wilson, L.E.; Marcom, P.K.; Troester, M.; Lynch, C.F.; Hernandez, B.Y.; Parrilla, E.; Brauer, H.A.; Dinan, M.A. Analysis of Sociodemographic, Clinical, and Genomic Factors Associated with Breast Cancer Mortality in the Linked Surveillance, Epidemiology, and End Results and Medicare Database. JAMA Netw. Open 2021, 4, e2131020. [Google Scholar] [CrossRef] [PubMed]
- Singla, H.; Kaur, R.P.; Shafi, G.; Vashistha, R.; Banipal, R.P.S.; Kumar, V.; Munshi, A. Genomic alterations associated with HER2+ breast cancer risk and clinical outcome in response to trastuzumab. Mol. Biol. Rep. 2019, 46, 823–831. [Google Scholar] [CrossRef]
- Zhao, B.; Zhao, Y.; Sun, Y.; Niu, H.T.; Sheng, L.; Huang, D.F.; Li, L. Alterations in mRNA profiles of trastuzumab-resistant Her-2-positive breast cancer. Mol. Med. Rep. 2018, 18, 139–146. [Google Scholar] [CrossRef]
- Mohd Sharial, M.S.N.; Crown, J.; Hennessy, B.T. Overcoming resistance and restoring sensitivity to HER2-targeted therapies in breast cancer. Ann. Oncol. 2012, 23, 3007–3016. [Google Scholar] [CrossRef]
- Gamez-Pozo, A.; Perez Carrion, R.M.; Manso, L.; Crespo, C.; Mendiola, C.; Lopez-Vacas, R.; Berges-Soria, J.; Lopez, I.A.; Margeli, M.; Calero, J.L.; et al. The Long-HER study: Clinical and molecular analysis of patients with HER2+ advanced breast cancer who become long-term survivors with trastuzumab-based therapy. PLoS ONE 2014, 9, e109611. [Google Scholar] [CrossRef] [PubMed][Green Version]
- Ortiz-Zapater, E.; Santis, G.; Parsons, M. CAR: A key regulator of adhesion and inflammation. Int. J. Biochem. Cell Biol. 2017, 89, 1–5. [Google Scholar] [CrossRef]
- Kawada, M.; Inoue, H.; Kajikawa, M.; Sugiura, M.; Sakamoto, S.; Urano, S.; Karasawa, C.; Usami, I.; Futakuchi, M.; Masuda, T. A novel monoclonal antibody targeting coxsackie virus and adenovirus receptor inhibits tumor growth in vivo. Sci. Rep. 2017, 7, 40400. [Google Scholar] [CrossRef]
- Agostinetto, E.; Montemurro, F.; Puglisi, F.; Criscitiello, C.; Bianchini, G.; Del Mastro, L.; Introna, M.; Tondini, C.; Santoro, A.; Zambelli, A. Immunotherapy for HER2-Positive Breast Cancer: Clinical Evidence and Future Perspectives. Cancers 2022, 14, 2136. [Google Scholar] [CrossRef]
- Solinas, C.; Fumagalli, D.; Dieci, M.V. Immune Checkpoint Blockade in HER2-Positive Breast Cancer: What Role in Early Disease Setting? Cancers 2021, 13, 1655. [Google Scholar] [CrossRef]
- Krasniqi, E.; Barchiesi, G.; Pizzuti, L.; Mazzotta, M.; Venuti, A.; Maugeri-Sacca, M.; Sanguineti, G.; Massimiani, G.; Sergi, D.; Carpano, S.; et al. Immunotherapy in HER2-positive breast cancer: State of the art and future perspectives. J. Hematol. Oncol. 2019, 12, 111. [Google Scholar] [CrossRef]
- Shang, M.; Chi, Y.; Zhang, J.; Chang, J.; Yang, H.; Yin, S.; Tan, Q.; Man, X.; Li, H. The Therapeutic Effectiveness of Neoadjuvant Trastuzumab Plus Chemotherapy for HER2-Positive Breast Cancer Can Be Predicted by Tumor-Infiltrating Lymphocytes and PD-L1 Expression. Front. Oncol. 2021, 11, 706606. [Google Scholar] [CrossRef]
- Honkanen, T.J.; Moilanen, T.; Karihtala, P.; Tiainen, S.; Auvinen, P.; Vayrynen, J.P.; Makinen, M.; Koivunen, J.P. Prognostic and predictive role of spatially positioned tumour infiltrating lymphocytes in metastatic HER2 positive breast cancer treated with trastuzumab. Sci. Rep. 2017, 7, 18027. [Google Scholar] [CrossRef]
- Loi, S.; Michiels, S.; Salgado, R.; Sirtaine, N.; Jose, V.; Fumagalli, D.; Kellokumpu-Lehtinen, P.L.; Bono, P.; Kataja, V.; Desmedt, C.; et al. Tumor infiltrating lymphocytes are prognostic in triple negative breast cancer and predictive for trastuzumab benefit in early breast cancer: Results from the FinHER trial. Ann. Oncol. 2014, 25, 1544–1550. [Google Scholar] [CrossRef]
- Lesurf, R.; Griffith, O.L.; Griffith, M.; Hundal, J.; Trani, L.; Watson, M.A.; Aft, R.; Ellis, M.J.; Ota, D.; Suman, V.J.; et al. Genomic characterization of HER2-positive breast cancer and response to neoadjuvant trastuzumab and chemotherapy-results from the ACOSOG Z1041 (Alliance) trial. Ann. Oncol. 2017, 28, 1070–1077. [Google Scholar] [CrossRef]
- Prat, A.; Guarneri, V.; Pascual, T.; Braso-Maristany, F.; Sanfeliu, E.; Pare, L.; Schettini, F.; Martinez, D.; Jares, P.; Griguolo, G.; et al. Development and validation of the new HER2DX assay for predicting pathological response and survival outcome in early-stage HER2-positive breast cancer. EBioMedicine 2022, 75, 103801. [Google Scholar]
- Litchfield, K.; Reading, J.L.; Puttick, C.; Thakkar, K.; Abbosh, C.; Bentham, R.; Watkins, T.B.K.; Rosenthal, R.; Biswas, D.; Rowan, A.; et al. Meta-analysis of tumor- and T cell-intrinsic mechanisms of sensitization to checkpoint inhibition. Cell 2021, 184, 596–614.e14. [Google Scholar] [CrossRef]
- Liang, Y.K.; Deng, Z.K.; Chen, M.T.; Qiu, S.Q.; Xiao, Y.S.; Qi, Y.Z.; Xie, Q.; Wang, Z.H.; Jia, S.C.; Zeng, D.; et al. CXCL9 Is a Potential Biomarker of Immune Infiltration Associated with Favorable Prognosis in ER-Negative Breast Cancer. Front. Oncol. 2021, 11, 710286. [Google Scholar] [CrossRef]
- Danaher, P.; Warren, S.; Lu, R.; Samayoa, J.; Sullivan, A.; Pekker, I.; Wallden, B.; Marincola, F.M.; Cesano, A. Pan-cancer adaptive immune resistance as defined by the Tumor Inflammation Signature (TIS): Results from The Cancer Genome Atlas (TCGA). J. Immunother. Cancer 2018, 6, 63. [Google Scholar] [CrossRef] [PubMed]
- Damotte, D.; Warren, S.; Arrondeau, J.; Boudou-Rouquette, P.; Mansuet-Lupo, A.; Biton, J.; Ouakrim, H.; Alifano, M.; Gervais, C.; Bellesoeur, A.; et al. The tumor inflammation signature (TIS) is associated with anti-PD-1 treatment benefit in the CERTIM pan-cancer cohort. J. Transl. Med. 2019, 17, 357. [Google Scholar] [CrossRef]
- Schroth, W.; Buttner, F.A.; Kandabarau, S.; Hoppe, R.; Fritz, P.; Kumbrink, J.; Kirchner, T.; Brauer, H.A.; Ren, Y.; Henderson, D.; et al. Gene Expression Signatures of BRCAness and Tumor Inflammation Define Subgroups of Early-Stage Hormone Receptor-Positive Breast Cancer Patients. Clin. Cancer Res. 2020, 26, 6523–6534. [Google Scholar] [CrossRef]
- Stagg, J.; Loi, S.; Divisekera, U.; Ngiow, S.F.; Duret, H.; Yagita, H.; Teng, M.W.; Smyth, M.J. Anti-ErbB-2 mAb therapy requires type I and II interferons and synergizes with anti-PD-1 or anti-CD137 mAb therapy. Proc. Natl. Acad. Sci. USA 2011, 108, 7142–7147. [Google Scholar] [CrossRef]




| Variables | Nonrecurrence (n = 219) No. (%) | Recurrence (n = 28) No. (%) | p Value |
|---|---|---|---|
| Age, Median (range) | 50 (24–77) | 48 (35–65) | 0.230 |
| Menopausal status | 0.732 | ||
| Premenopause | 102 (46.6) | 14 (50.0) | |
| Postmenopause | 117 (53.4) | 14 (50.0) | |
| BMI, kg/m2 | 0.285 | ||
| <25 | 125 (57.0) | 13 (52.0) | |
| ≥25 | 94 (43.0) | 15 (48.0) | |
| Presence of FHx | 9 (4.1) | 1 (3.5) | 0.892 |
| Smoking | 0.003 | ||
| Non- or Ex-smoker | 210 (95.9) | 23 (82.1) | |
| Current smoker | 9 (4.1) | 5 (17.9) | |
| Presence of comorbidity | 67 (30.6) | 12 (42.9) | 0.190 |
| Tumor location | 0.276 | ||
| Right | 105 (47.9) | 16 (57.1) | |
| Left | 112 (51.2) | 11 (39.3) | |
| Both | 2 (0.9) | 1 (3.6) | |
| Histology | 0.231 | ||
| Invasive ductal | 198 (90.4) | 28 (100.0) | |
| Invasive lobular | 4 (1.8) | 0 | |
| Others | 17 (7.8) | 0 | |
| Hormone receptor status | 0.013 | ||
| HR-negative | 87 (39.7) | 18 (64.3) | |
| HR-positive | 132 (60.3) | 10 (35.7) | |
| Pathological stage | 0.007 | ||
| Stage 0 | 8 (3.6) | 0 | |
| Stage I | 69 (31.5) | 6 (21.4) | |
| Stage II | 107 (48.9) | 10 (35.8) | |
| Stage III | 35 (16.0) | 12 (42.8) | |
| Tumor size | 0.023 | ||
| ≤5 cm | 210 (95.9) | 24 (85.7) | |
| >5 cm | 9 (4.1) | 4 (14.3) | |
| LN status | 0.001 | ||
| LN-negative | 133 (60.7) | 8 (28.6) | |
| LN-positive | 86 (39.3) | 20 (71.4) | |
| LNR, mean ± SD | 0.16 ± 0.64 | 0.28 ± 0.27 | 0.093 |
| Histological grade | 0.453 | ||
| G1 | 27 (12.3) | 2 (7.1) | |
| G2 | 60 (27.4) | 11 (39.3) | |
| G3 | 126 (57.6) | 15 (53.6) | |
| Unknown | 6 (2.7) | 0 | |
| Presence of LVI | 109 (49.8) | 20 (71.4) | 0.095 |
| Ki-67 labeling index * | 0.073 | ||
| <20% | 75 (35.9) | 5 (18.5) | |
| ≥20% | 134 (64.1) | 22 (81.5) | |
| Type of Operation | 0.001 | ||
| BCS | 133 (60.7) | 5 (17.9) | |
| TM | 86 (39.3) | 23 (82.1) | |
| Type of Adjuvant CTx | 0.070 | ||
| Anthracycline-based | 23 (10.5) | 3 (10.7) | |
| Anthracycline/taxane | 82 (37.4) | 14 (50.0) | |
| Non-anthracycline | 114 (52.1) | 11 (39.3) | |
| Adjuvant Endocrine Tx | 132 (60.3) | 10 (35.7) | 0.013 |
| Adjuvant Radiotherapy | 177 (80.8) | 20 (71.4) | 0.244 |
Publisher’s Note: MDPI stays neutral with regard to jurisdictional claims in published maps and institutional affiliations. |
© 2022 by the authors. Licensee MDPI, Basel, Switzerland. This article is an open access article distributed under the terms and conditions of the Creative Commons Attribution (CC BY) license (https://creativecommons.org/licenses/by/4.0/).
Share and Cite
Kim, Y.-S.; Sun, D.S.; Ahn, J.; Kim, Y.; Yoon, J.-S.; Won, H.S. Analysis of Genomic Alterations Associated with Recurrence in Early Stage HER2-Positive Breast Cancer. Cancers 2022, 14, 3650. https://doi.org/10.3390/cancers14153650
Kim Y-S, Sun DS, Ahn J, Kim Y, Yoon J-S, Won HS. Analysis of Genomic Alterations Associated with Recurrence in Early Stage HER2-Positive Breast Cancer. Cancers. 2022; 14(15):3650. https://doi.org/10.3390/cancers14153650
Chicago/Turabian StyleKim, Yong-Seok, Der Sheng Sun, Juneyoung Ahn, Yongseon Kim, Jung-Sook Yoon, and Hye Sung Won. 2022. "Analysis of Genomic Alterations Associated with Recurrence in Early Stage HER2-Positive Breast Cancer" Cancers 14, no. 15: 3650. https://doi.org/10.3390/cancers14153650
APA StyleKim, Y.-S., Sun, D. S., Ahn, J., Kim, Y., Yoon, J.-S., & Won, H. S. (2022). Analysis of Genomic Alterations Associated with Recurrence in Early Stage HER2-Positive Breast Cancer. Cancers, 14(15), 3650. https://doi.org/10.3390/cancers14153650

