Allogeneic Stem Cell Transplantation in Mantle Cell Lymphoma; Insights into Its Potential Role in the Era of New Immunotherapeutic and Targeted Therapies: The GETH/GELTAMO Experience
Abstract
Simple Summary
Abstract
1. Introduction
2. Materials and Methods
2.1. Study Design and Patient Eligibility
2.2. Data Recovery and Study Definitions
2.3. Statistical Analysis
3. Results
3.1. Patient and Allo-SCT Characteristics
3.2. Main Outcome Data
3.3. GVHD and NRM
3.4. Survival Analysis
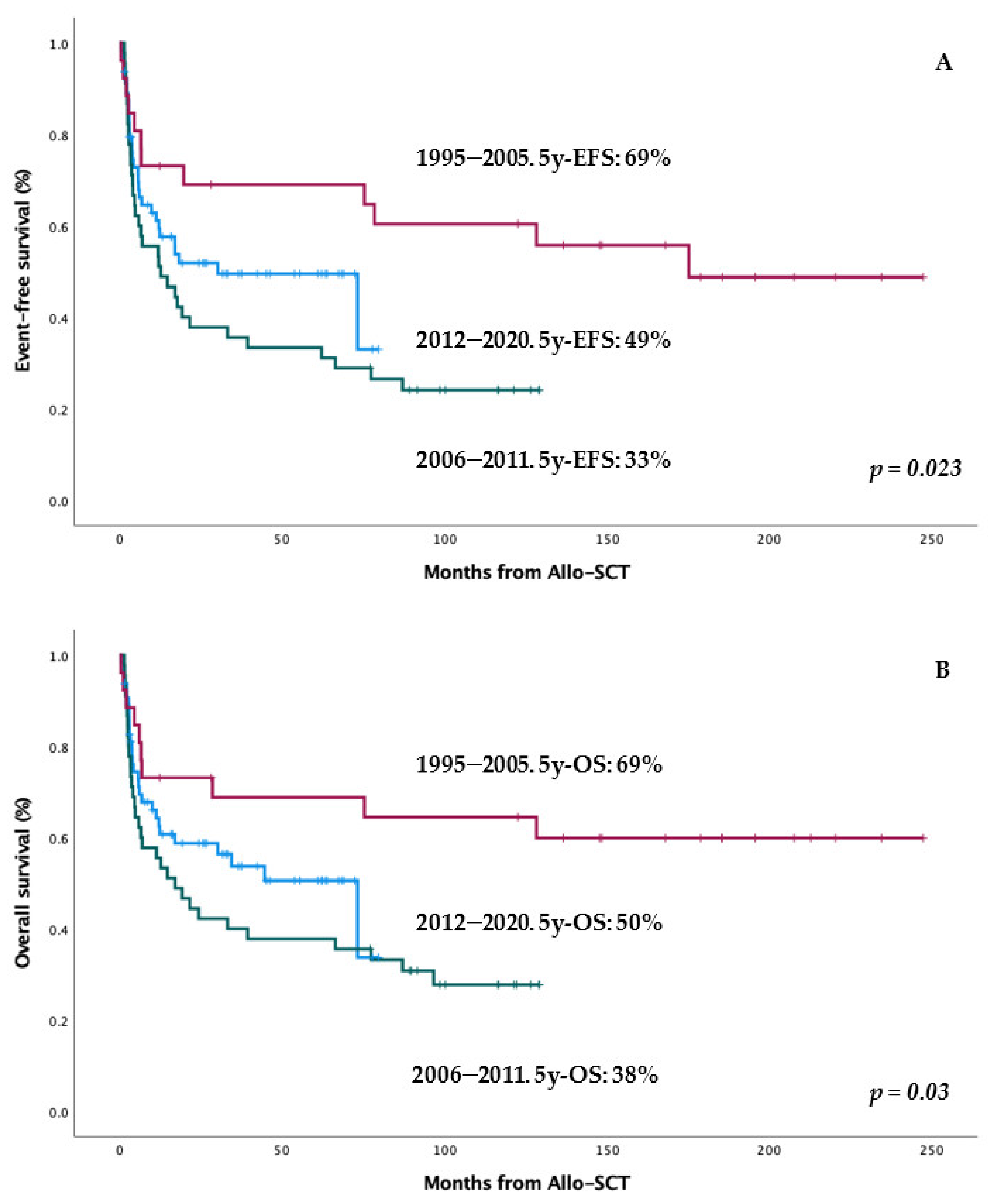
3.5. Impact in Results of Allo-SCT Candidates’ Selection along Decades
4. Discussion
5. Conclusions
Author Contributions
Funding
Institutional Review Board Statement
Informed Consent Statement
Data Availability Statement
Acknowledgments
Conflicts of Interest
References
- Smith, A.; Crouch, S.; Lax, S.; Li, J.; Painter, D.; Howell, D.; Patmore, R.; Jack, A.; Roman, E. Lymphoma incidence, survival and prevalence 2004–2014: Sub-type analyses from the UK’s Haematological Malignancy Research Network. Br. J. Cancer 2015, 112, 1575–1584. [Google Scholar] [CrossRef] [PubMed]
- Dreyling, M.; Lenz, G.; Hoster, E.; Van Hoof, A.; Gisselbrecht, C.; Schmits, R.; Metzner, B.; Truemper, L.; Reiser, M.; Steinhauer, H.; et al. Early consolidation by myeloablative radiochemotherapy followed by autologous stem cell transplantation in first remission significantly prolongs progression-free survival in mantle-cell lymphoma: Results of a prospective randomized trial of the European. Blood 2005, 105, 2677–2684. [Google Scholar] [CrossRef] [PubMed]
- Hermine, O.; Hoster, E.; Walewski, J.; Bosly, A.; Stilgenbauer, S.; Thieblemont, C.; Szymczyk, M.; Bouabdallah, R.; Kneba, M.; Hallek, M.; et al. Addition of high-dose cytarabine to immunochemotherapy before autologous stem-cell transplantation in patients aged 65 years or younger with mantle cell lymphoma (MCL Younger): A randomised, open-label, phase 3 trial of the European Mantle Cell Lymphoma N. Lancet 2016, 388, 565–575. [Google Scholar] [CrossRef]
- Le Gouill, S.; Thieblemont, C.; Oberic, L.; Moreau, A.; Bouabdallah, K.; Gyan, E.; Damaj, G.; Ribrag, V.; Feugier, P.; Casasnovas, O.; et al. Rituximab Maintenance after Autologous Stem Cell Transplantation Prolongs Survival in Younger Patients with Mantle Cell Lymphoma: Final Results of the Randomized Phase 3 LyMa Trial of the Lysa/Goelams Group. Blood 2016, 128, 145a. [Google Scholar] [CrossRef]
- Kluin-Nelemans, H.C.; Hoster, E.; Hermine, O.; Walewski, J.; Trneny, M.; Geisler, C.H.; Stilgenbauer, S.; Thieblemont, C.; Vehling-Kaiser, U.; Doorduijn, J.K.; et al. Treatment of older patients with mantle-cell lymphoma. N. Engl. J. Med. 2012, 367, 520–531. [Google Scholar] [CrossRef]
- Rule, S.; Jurczak, W.; Jerkeman, M.; Rusconi, C.; Trneny, M.; Offner, F.; Caballero, D.; Joao, C.; Witzens-Harig, M.; Hess, G.; et al. Ibrutinib versus temsirolimus: 3-year follow-up of patients with previously treated mantle cell lymphoma from the phase 3, international, randomized, open-label RAY study. Leukemia 2018, 32, 1799–1803. [Google Scholar] [CrossRef]
- Eyre, T.A.; Walter, H.S.; Iyengar, S.; Follows, G.; Cross, M.; Fox, C.P.; Hodson, A.; Coats, J.; Narat, S.; Morley, N.; et al. Efficacy of venetoclax monotherapy in patients with relapsed, refractory mantle cell lymphoma after Bruton tyrosine kinase inhibitor therapy. Haematologica 2019, 104, e68–e71. [Google Scholar] [CrossRef]
- Wang, M.; Munoz, J.; Goy, A.; Locke, F.L.; Jacobson, C.A.; Hill, B.T.; Timmerman, J.M.; Holmes, H.; Jaglowski, S.; Flinn, I.W.; et al. KTE-X19 CAR T-Cell Therapy in Relapsed or Refractory Mantle-Cell Lymphoma. N. Engl. J. Med. 2020, 382, 1331–1342. [Google Scholar] [CrossRef]
- Sandoval-Sus, J.D.; Faramand, R.; Chavez, J.; Puri, S.; Parra, P.; Sokol, L.; Kharfan-Dabaja, M.A.; Shah, B.; Ayala, E. Allogeneic hematopoietic cell transplantation is potentially curative in mantle cell lymphoma: Results from a single institution study. Leuk. Lymphoma 2019, 60, 309–316. [Google Scholar] [CrossRef]
- Kasamon, Y.L.; Jones, R.J.; Diehl, L.F.; Nayer, H.; Borowitz, M.J.; Garrett-Mayer, E.; Ambinder, R.F.; Abrams, R.A.; Zhang, Z.; Flinn, I.W. Outcomes of autologous and allogeneic blood or marrow transplantation for mantle cell lymphoma. Biol. Blood Marrow Transplant. 2005, 11, 39–46. [Google Scholar] [CrossRef]
- Tsai, T.; Goodman, S.; Saez, R.; Schiller, G.; Adkins, D.; Callander, N.; Wolff, S.; Freytes, C.O. Allogeneic bone marrow transplantation in patients who relapse after autologous transplantation. Bone Marrow Transplant. 1997, 20, 859–863. [Google Scholar] [CrossRef] [PubMed][Green Version]
- Palomba, M.; Gordon, L.; Siddiqi, T.; Abramson, J.; Kamdar, M.; Lunning, M.; Maloney, D.; Andreadis, C.; Arnason, J.; Ghosh, N.; et al. Safety and Preliminary Efficacy in Patients with Relapsed/Refractory Mantle Cell Lymphoma Receiving Lisocabtagene Maraleucel in Transcend NHL 001. Blood 2020, 136, 10–11. [Google Scholar] [CrossRef]
- Cheson, B.D.; Pfistner, B.; Juweid, M.E.; Gascoyne, R.D.; Specht, L.; Horning, S.J.; Coiffier, B.; Fisher, R.I.; Hagenbeek, A.; Zucca, E.; et al. Revised response criteria for malignant lymphoma. J. Clin. Oncol. 2007, 25, 579–586. [Google Scholar] [CrossRef] [PubMed]
- Cheson, B.D.; Fisher, R.I.; Barrington, S.F.; Cavalli, F.; Schwartz, L.H.; Zucca, E.; Lister, T.A.; Eastern Cooperative Oncology Group; European Mantle Cell Lymphoma Consortium. Recommendations for initial evaluation, staging, and response assessment of Hodgkin and non-Hodgkin lymphoma: The Lugano classification. J. Clin. Oncol. 2014, 32, 3059–3068. [Google Scholar] [CrossRef] [PubMed]
- Bacigalupo, A.; Ballen, K.; Rizzo, D.; Giralt, S.; Lazarus, H.; Ho, V.; Apperley, J.; Slavin, S.; Pasquini, M.; Sandmaier, B.M.; et al. Defining the intensity of conditioning regimens: Working definitions. Biol. Blood Marrow Transplant. 2009, 15, 1628–1633. [Google Scholar] [CrossRef] [PubMed]
- Harris, A.C.; Young, R.; Devine, S.; Hogan, W.J.; Ayuk, F.; Bunworasate, U.; Chanswangphuwana, C.; Efebera, Y.A.; Holler, E.; Litzow, M.; et al. International, Multicenter Standardization of Acute Graft-versus-Host Disease Clinical Data Collection: A Report from the Mount Sinai Acute GVHD International Consortium. Biol. Blood Marrow Transplant. 2016, 22, 4–10. [Google Scholar] [CrossRef]
- Orchard, J.; Garand, R.; Davis, Z.; Babbage, G.; Sahota, S.; Matutes, E.; Catovsky, D.; Thomas, P.W.; Avet-Loiseau, H.; Oscier, D. A subset of t(11;14) lymphoma with mantle cell features displays mutated IgVH genes and includes patients with good prognosis, nonnodal disease. Blood 2003, 101, 4975–4981. [Google Scholar] [CrossRef]
- Robinson, S.P.; Boumendil, A.; Finel, H.; Peggs, K.S.; Chevallier, P.; Sierra, J.; Finke, J.; Poiré, X.; Maillard, N.; Milpied, N.; et al. Long-term outcome analysis of reduced-intensity allogeneic stem cell transplantation in patients with mantle cell lymphoma: A retrospective study from the EBMT Lymphoma Working Party. Bone Marrow Transplant. 2018, 53, 617–624. [Google Scholar] [CrossRef]
- Vaughn, J.E.; Sorror, M.L.; Storer, B.E.; Chauncey, T.R.; Pulsipher, M.A.; Maziarz, R.T.; Maris, M.B.; Hari, P.; Laport, G.G.; Franke, G.N.; et al. Long-term sustained disease control in patients with mantle cell lymphoma with or without active disease after treatment with allogeneic hematopoietic cell transplantation after nonmyeloablative conditioning. Cancer 2015, 121, 3709–3716. [Google Scholar] [CrossRef]
- Cook, G.; Smith, G.M.; Kirkland, K.; Lee, J.; Pearce, R.; Thomson, K.; Morris, E.; Orchard, K.; Rule, S.; Russell, N.; et al. Outcome following Reduced-Intensity Allogeneic Stem Cell Transplantation (RIC AlloSCT) for relapsed and refractory mantle cell lymphoma (MCL): A study of the British Society for Blood and Marrow Transplantation. Biol. Blood Marrow Transplant. 2010, 16, 1419–1427. [Google Scholar] [CrossRef][Green Version]
- Maris, M.B.; Sandmaier, B.M.; Storer, B.E.; Chauncey, T.; Stuart, M.J.; Maziarz, R.T.; Agura, E.; Langston, A.A.; Pulsipher, M.; Storb, R.; et al. Allogeneic hematopoietic cell transplantation after fludarabine and 2 Gy total body irradiation for relapsed and refractory mantle cell lymphoma. Blood 2004, 104, 3535–3542. [Google Scholar] [CrossRef] [PubMed]
- Mussetti, A.; Devlin, S.M.; Castro-Malaspina, H.R.; Barker, J.N.; Giralt, S.A.; Zelenetz, A.D.; Sauter, C.S.; Perales, M.-A. Non-myeloablative allogeneic hematopoietic stem cell transplantation for adults with relapsed and refractory mantle cell lymphoma: A single-center analysis in the rituximab era. Bone Marrow Transplant. 2015, 50, 1293–1298. [Google Scholar] [CrossRef] [PubMed]
- Tam, C.S.; Bassett, R.; Ledesma, C.; Korbling, M.; Alousi, A.; Hosing, C.; Kebraei, P.; Harrell, R.; Rondon, G.; Giralt, S.A.; et al. Mature results of the M.D. Anderson Cancer Center risk-adapted transplantation strategy in mantle cell lymphoma. Blood 2009, 113, 4144–4152. [Google Scholar] [CrossRef] [PubMed][Green Version]
- Krüger, W.H.; Hirt, C.; Basara, N.; Sayer, H.G.; Behre, G.; Fischer, T.; Grobe, N.; Maschmeyer, G.; Niederwieser, D.; Dölken, G. Allogeneic stem cell transplantation for mantle cell lymphoma—Final report from the prospective trials of the East German Study Group Haematology/Oncology (OSHO). Ann. Hematol. 2014, 93, 1587–1597. [Google Scholar] [CrossRef]
- Martínez, C.; Gayoso, J.; Canals, C.; Finel, H.; Peggs, K.; Dominietto, A.; Castagna, L.; Afanasyev, B.; Robinson, S.; Blaise, D.; et al. Post-Transplantation Cyclophosphamide-Based Haploidentical Transplantation as Alternative to Matched Sibling or Unrelated Donor Transplantation for Hodgkin Lymphoma: A Registry Study of the Lymphoma Working Party of the European Society for Blood and Marr. J. Clin. Oncol. 2017, 35, 3425–3432. [Google Scholar] [CrossRef] [PubMed]
- Sanz, J.; Galimard, J.-E.; Labopin, M.; Afanasyev, B.; Angelucci, E.; Ciceri, F.; Blaise, D.; Cornelissen, J.J.; Meijer, E.; Diez-Martin, J.L.; et al. Post-transplant cyclophosphamide after matched sibling, unrelated and haploidentical donor transplants in patients with acute myeloid leukemia: A comparative study of the ALWP EBMT. J. Hematol. Oncol. 2020, 13, 46. [Google Scholar] [CrossRef]
- Rodríguez, J.; Gutierrez, A.; Palacios, A.; Navarrete, M.; Blancas, I.; Alarcón, J.; Caballero, M.D.; De Mattos, S.F.; Gines, J.; Martínez, J.; et al. Rituximab, gemcitabine and oxaliplatin: An effective regimen in patients with refractory and relapsing mantle cell lymphoma. Leuk. Lymphoma 2007, 48, 2172–2178. [Google Scholar] [CrossRef]
- Obrador-Hevia, A.; Serra-Sitjar, M.; Rodríguez, J.; Belayachi, L.; Bento, L.; García-Recio, M.; Sánchez, J.M.; Villalonga, P.; Gutiérrez, A.; Fernández de Mattos, S. Efficacy of the GemOx-R regimen leads to the identification of Oxaliplatin as a highly effective drug against Mantle Cell Lymphoma. Br. J. Haematol. 2016, 174, 899–910. [Google Scholar] [CrossRef]
- Tessoulin, B.; Chiron, D.; Thieblemont, C.; Oberic, L.; Bouadballah, K.; Gyan, E.; Damaj, G.; Ribrag, V.; Gressin, R.; Feugier, P.; et al. Oxaliplatin before autologous transplantation in combination with high-dose cytarabine and rituximab provides longer disease control than cisplatin or carboplatin in patients with mantle-cell lymphoma: Results from the LyMA prospective trial. Bone Marrow Transplant. 2021, 56, 1700–1709. [Google Scholar] [CrossRef]
- Robak, T.; Huang, H.; Jin, J.; Zhu, J.; Liu, T.; Samoilova, O.; Pylypenko, H.; Verhoef, G.; Siritanaratkul, N.; Osmanov, E.; et al. Bortezomib-based therapy for newly diagnosed mantle-cell lymphoma. N. Engl. J. Med. 2015, 372, 944–953. [Google Scholar] [CrossRef]
- Rummel, M.; Kaiser, U.; Balser, C.; Stauch, M.; Brugger, W.; Welslau, M.; Niederle, N.; Losem, C.; Boeck, H.-P.; Weidmann, E.; et al. Bendamustine plus rituximab versus fludarabine plus rituximab for patients with relapsed indolent and mantle-cell lymphomas: A multicentre, randomised, open-label, non-inferiority phase 3 trial. Lancet Oncol. 2016, 17, 57–66. [Google Scholar] [CrossRef]
- Flinn, I.W.; van der Jagt, R.; Kahl, B.; Wood, P.; Hawkins, T.; MacDonald, D.; Simpson, D.; Kolibaba, K.; Issa, S.; Chang, J.; et al. First-Line Treatment of Patients With Indolent Non-Hodgkin Lymphoma or Mantle-Cell Lymphoma with Bendamustine Plus Rituximab Versus R-CHOP or R-CVP: Results of the BRIGHT 5-Year Follow-Up Study. J. Clin. Oncol. 2019, 37, 984–991. [Google Scholar] [CrossRef] [PubMed]
- Visco, C.; Chiappella, A.; Nassi, L.; Patti, C.; Ferrero, S.; Barbero, D.; Evangelista, A.; Spina, M.; Molinari, A.; Rigacci, L.; et al. Rituximab, bendamustine, and low-dose cytarabine as induction therapy in elderly patients with mantle cell lymphoma: A multicentre, phase 2 trial from Fondazione Italiana Linfomi. Lancet Haematol. 2017, 4, e15–e23. [Google Scholar] [CrossRef]
- Song, Y.; Zhou, K.; Zou, D.; Zhou, J.; Hu, J.; Yang, H.; Zhang, H.; Ji, J.; Xu, W.; Jin, J.; et al. Treatment of Patients with Relapsed or Refractory Mantle-Cell Lymphoma with Zanubrutinib, a Selective Inhibitor of Bruton’s Tyrosine Kinase. Clin. Cancer Res. 2020, 26, 4216–4224. [Google Scholar] [CrossRef] [PubMed]
- Witzig, T.E.; Inwards, D. Acalabrutinib for mantle cell lymphoma. Blood 2019, 133, 2570–2574. [Google Scholar] [CrossRef]
- Tam, C.S.; Anderson, M.A.; Pott, C.; Agarwal, R.; Handunnetti, S.; Hicks, R.J.; Burbury, K.; Turner, G.; Di Iulio, J.; Bressel, M.; et al. Ibrutinib plus Venetoclax for the Treatment of Mantle-Cell Lymphoma. N. Engl. J. Med. 2018, 378, 1211–1223. [Google Scholar] [CrossRef]
- Munshi, P.N.; Hamadani, M.; Kumar, A.; Dreger, P.; Friedberg, J.W.; Dreyling, M.; Kahl, B.; Jerkeman, M.; Kharfan-Dabaja, M.A.; Locke, F.L.; et al. American Society of Transplantation and Cellular Therapy, Center of International Blood and Marrow Transplant Research, and European Society for Blood and Marrow Transplantation Clinical Practice Recommendations for Transplantation and Cellular Therapies. Transplant. Cell. Ther. 2021, 27, 720–728. [Google Scholar] [CrossRef]
- Lin, R.J.; Ho, C.; Hilden, P.D.; Barker, J.N.; Giralt, S.A.; Hamlin, P.A.; Jakubowski, A.A.; Castro-Malaspina, H.R.; Robinson, K.S.; Papadopoulos, E.B.; et al. Allogeneic haematopoietic cell transplantation impacts on outcomes of mantle cell lymphoma with TP53 alterations. Br. J. Haematol. 2019, 184, 1006–1010. [Google Scholar] [CrossRef]
- Lew, T.E.; Cliff, E.R.S.; Dickinson, M.; Tam, C.S.; Seymour, J.F.; Blombery, P.; Bajel, A.; Ritchie, D.; Khot, A. T-cell replete allogeneic stem cell transplant for mantle cell lymphoma achieves durable disease control, including against TP53-mutated disease. Bone Marrow Transplant. 2021, 56, 2857–2859. [Google Scholar] [CrossRef]
- Dreger, P.; Michallet, M.; Bosman, P.; Dietrich, S.; Sobh, M.; Boumendil, A.; Nagler, A.; Scheid, C.; Cornelissen, J.; Niederwieser, D.; et al. Ibrutinib for bridging to allogeneic hematopoietic cell transplantation in patients with chronic lymphocytic leukemia or mantle cell lymphoma: A study by the EBMT Chronic Malignancies and Lymphoma Working Parties. Bone Marrow Transplant. 2019, 54, 44–52. [Google Scholar] [CrossRef]


| Characteristics at Diagnosis | N (%) | Missing Data (%) |
|---|---|---|
| Median age, years (range) | 52 (31–67) | 0 (0%) |
| Sex (M/F) | 108 (80%)/27 (20%) | 0 (0%) |
| Ann Arbor stage: | 2 (1%) | |
| I–II | 8 (6%) | - |
| III–IV | 125 (94%) | - |
| B-symptoms: | 44 (38%) | 20 (15%) |
| CNS involvement: | 2 (2%) | 7 (5%) |
| Bone marrow involvement: | 98 (75%) | 4 (3%) |
| Number of extranodal sites: | 7 (5%) | |
| 0–1 | 81 (63%) | - |
| >1 | 47 (37%) | - |
| Mantle cell lymphoma histology: | 33 (24%) | |
| Indolent [17] | 7 (7%) | - |
| Classic | 67 (66%) | - |
| Blastic | 28 (27%) | - |
| Characteristics at allo-SCT | - | |
| Median previous lines of therapy (range) | 2 (1–8) | 2 (1%) |
| Previous ASCT | 66 (49%) | 0 (0%) |
| Previous ibrutinib | 19 (14%) | 2 (1%) |
| Median months from diagnosis to allo-SCT (range) | 33 (3–164) | 0 (0%) |
| Median age, years (range) | 56 (32–70) | 0 (0%) |
| Age >60 years | 36 (27%) | 0 (0%) |
| Donor type: | 0 (0%) | |
| HLA-id sibling | 74 (55%) | - |
| HLA-id unrelated | 29 (21%) | - |
| Haploidentical | 18 (13%) | - |
| Mismatch unrelated | 14 (10%) | - |
| Median donor age (range) | 46 (19–72) | 2 (1%) |
| Donor sex: | 0 (0%) | |
| Male | 82 (61%) | - |
| Female | 53 (39%) | - |
| ECOG PS: | 12 (9%) | |
| 0 | 74 (60%) | - |
| 1 | 43 (35%) | - |
| 2–4 | 6 (5%) | - |
| HCT-CI: | 11 (8%) | |
| 0–1 | 70 (56%) | - |
| 2 | 28 (23%) | - |
| ≥3 | 26 (21%) | - |
| Disease status: | 1 (1%) | |
| CR | 86 (64%) | - |
| PR | 35 (26%) | - |
| SD/PD | 13 (10%) | - |
| NE | 1 (1%) | - |
| Conditioning regimen: | 0 (0%) | |
| Myeloablative | 20 (15%) | - |
| RIC | 115 (85%) | - |
| Myeloablative conditioning: | 0 (0%) | |
| Cy + TBI | 10 (50%) | - |
| FLUBU | 5 (25%) | - |
| FLUMEL | 1 (5%) | - |
| BEAM | 1 (5%) | - |
| Other | 3 (15%) | - |
| RIC: | 0 (0%) | |
| FLUMEL | 90 (78%) | - |
| FLUBU | 15 (13%) | - |
| Cy + TBI | 4 (4%) | - |
| Other | 6 (5%) | - |
| GVHD prophylaxis: | 0 (0%) | |
| CsA/Tacro-MTX | 45 (33%) | - |
| CsA /Tacro-MMF | 31 (23%) | - |
| Timoglobulin based prophylaxis | 24 (18%) | - |
| Tacro-sirolimus | 19 (14%) | - |
| Cy-post | 12 (9%) | - |
| Other | 4 (3%) | - |
| CMV recipient/donor relation: | 2 (1%) | |
| R−/D− | 12 (9%) | - |
| R−/D+ | 11 (8%) | - |
| R+/D− | 35 (26%) | - |
| R+/D− | 75 (56%) | - |
| Stem cell source: | 1 (1%) | |
| PB | 127 (95%) | - |
| BM | 5 (4%) | - |
| UCB * | 2 (2%) | - |
| Median CD34 + cells (range) (×106/kg) | 5.1 (0.1–18.1) | 5 (4%) |
| Characteristics | Day100-NRM (%) | p |
|---|---|---|
| Age at allo-SCT: | 1 | |
| 18–56 | 14 (20%) | |
| >56 years | 12 (19%) | |
| Months from diagnosis to allo-SCT: | 0.51 | |
| 0–33 | 11 (16%) | |
| >33 | 15 (22%) | |
| Previous lines: | 0.65 | |
| 0–2 | 13 (17%) | |
| >2 | 12 (21%) | |
| Previous ASCT: | 0.008 | |
| No | 7 (10%) | |
| Yes | 19 (29%) | |
| Donor type: | 0.38 | |
| HLA-id sibling | 12 (16%) | |
| HLA-id unrelated | 5 (17%) | |
| Mismatch unrelated | 5 (36%) | |
| Haploidentical | 4 (22%) | |
| Donor type: | 0.2 | |
| HLA-id | 17 (16%) | |
| Mismatch related | 4 (22%) | |
| Mismatch unrelated | 5 (36%) | |
| Donor age: | 0.38 | |
| 18–46 | 15 (22%) | |
| >46 | 10 (15%) | |
| Donor sex: | 0.82 | |
| Male | 15 (18%) | |
| Female | 11 (21%) | |
| ECOG PS at allo-SCT | 0.31 | |
| 0–1 | 21 (18%) | |
| 2–4 | 2 (33%) | |
| Pretransplant HCT-CI: | 0.58 | |
| 0–2 | 18 (18%) | |
| ≥3 | 6 (23%) | |
| Conditioning regimen: | 0.76 | |
| Myeloablative | 3 (15%) | |
| RIC | 23 (20%) | |
| GVHD prophylaxis: | 0.25 | |
| CsA/Tacro-MTX | 20 (22%) | |
| Other | 6 (13%) | |
| CMV recipient/donor relation: | 0.26 | |
| R−/D− | 1 (8%) | |
| R−/D+ | 2 (18%) | |
| R+/D− | 4 (11%) | |
| R+/D− | 19 (25%) | |
| Stem cell source: | 0.54 | |
| PB | 24 (19%) | |
| BM | 1 (20%) | |
| UCB | 1 (50%) | |
| CD34+ infused cells (range) (×106/kg): | 1 | |
| 0.1–5.1 | 13 (20%) | |
| >5.1 | 13 (20%) | |
| aGVHD: | <0.001 | |
| No aGVHD or grade 1–2 | 11 (11%) | |
| Grade 3–4 | 15 (43%) |
| Univariate Analysis | ||||
|---|---|---|---|---|
| Characteristics | 5y-EFS (95% CI) | p | 5y-OS (95% CI) | p |
| Age at allo-SCT: | 0.7 | 0.66 | ||
| 0–60 | 50% (40–60) | 52% (42–63) | ||
| >60 | 39% (21–57) | 42% (24–60) | ||
| Median months from diagnosis to allo-SCT | 0.53 | 0.77 | ||
| 0–33 | 51% (39–63) | 52% (40–64) | ||
| >33 | 44% (31–56) | 47% (34–60) | ||
| Donor type: | 0.032 | 0.2 | ||
| HLA-id sibling | 52% (40–64) | 55% (43–67) | ||
| HLA-id non-related | 50% (31–69) | 49% (30–68) | ||
| Mismatch non-related | 21% (0–45) | 35% (7–63) | ||
| Haploidentical | 44% (21–67) | 42% (17–66) | ||
| Mismatch: | 0.018 | 0.044 | ||
| Yes | 35% (18–52) | 39% (20–57) | ||
| No | 51% (41–61) | 53% (43–63) | ||
| ECOG PS at allo-SCT: | 0.035 | 0.021 | ||
| 0–1 | 51% (42–60) | 54% (45–63) | ||
| 2–4 | 0% (NA) | 0% (NA) | ||
| HCT-CI: | 0.41 | 0.42 | ||
| 0–2 | 49% (39–60) | 52% (42–63) | ||
| 3 or more | 31% (13–50) | 35% (16–54) | ||
| Previous lines of therapy: | 0.11 | 0.4 | ||
| 1–2 | 55% (43–66) | 55% (43–66) | ||
| >2 | 37% (24–50) | 42% (28–56) | ||
| Previous ASCT: | 0.061 | 0.02 | ||
| Yes | 39% (27–52) | 39% (25–52) | ||
| No | 55% (43–67) | 59% (48–71) | ||
| Previous ibrutinib: | 0.66 | 0.89 | ||
| Yes | 44% (18–69) | 28% (0–69) | ||
| No | 48% (39–57) | 50% (41–60) | ||
| Conditioning regimen: | 0.69 | 0.99 | ||
| Myeloablative | 48% (26–70) | 48% (25–70) | ||
| RIC | 47% (38–57) | 50% (40–60) | ||
| Response pre-allo-SCT: | 0.005 | 0.004 | ||
| CR | 54% (43–65) | 58% (47–69) | ||
| PR | 40% (23–57) | 43% (25–60) | ||
| SD/PD | 15% (0–35) | 15% (0–35) | ||
| GVHD prophylaxis: | 0.021 | 0.008 | ||
| CsA/Tacro-MTX | 62% (47–76) | 66% (52–80) | ||
| Other | 40% (30–51) | 41% (30–52) | ||
| Time-period: | 0.02 | 0.023 | ||
| 1995–2005 | 69% (51–87) | 69% (51–87) | ||
| 2006–2020 | 42% (32–52) | 45% (35–55) | ||
| Time-period: | 0.023 | 0.03 | ||
| 1995–2005 | 69% (51–87) | 69% (51–87) | ||
| 2006–2011 | 33% (20–47) | 38% (24–52) | ||
| 2012–2020 | 49% (37–62) | 50% (37–64) | ||
| Time-dependent variables (univariate) | EFS | p | OS | p |
| HR (95% CI) | HR (95% CI) | |||
| Grade 3–4 aGVHD | 5.1 (3.2–8.1) | <0.001 | 6 (3.7–9.8) | <0.001 |
| Chronic GVHD | 1 (0.5–2) | 0.97 | 1 (0.5–2) | 0.92 |
| Multivariate analysis | ||||
| Grade 3–4 aGVHD: | 7.6 (4.5–12.8) | <0.001 | 8.9 (5.1–15.3) | <0.001 |
| Mismatch non-related: | 3 (1.5–6.2) | 0.002 | - | - |
| Time-period 2006–2020: | 2.7 (1.1–6.4) | 0.023 | 3.2 (1.3–8) | 0.014 |
| Characteristics | Global Series (N = 135) | 2006–2020 | 1995–2005 | p |
|---|---|---|---|---|
| (N = 109) | (N = 26) | |||
| Median age at allo-SCT, years (range) | 56 (32–70) | 57 (32–70) | 52 (34–68) | 0.047 |
| Median months diagnosis to allo-SCT (range) | 33 (3–164) | 39 (3–164) | 13 (5–84) | 0.001 |
| Frontline therapy cytarabine-based | 93 (70%) | 76 (70%) | 17 (68%) | 0.81 |
| More than 33 months from diagnosis to allo-SCT | 67 (50%) | 46 (42%) | 5 (19%) | <0.001 |
| Donor type: | <0.001 | |||
| HLA-id sibling | 74 (55%) | 50 (46%) | 24 (92%) | |
| HLA-id non-related | 29 (21%) | 28 (26%) | 1 (4%) | |
| Haploidentical | 18 (13%) | 18 (16%) | 0 (0%) | |
| Mismatch non-related | 14 (10%) | 13 (12%) | 1 (4%) | |
| ECOG PS at allo-SCT: | 1 | |||
| 0–1 | 117 (95%) | 98 (95%) | 19 (95%) | |
| 2–4 | 6 (5%) | 5 (5%) | 1 (5%) | |
| HCT-CI at allo-SCT: | 0.11 | |||
| 0–1 | 70 (56%) | 56 (53%) | 14 (78%) | |
| 2 | 28 (23%) | 25 (24%) | 3 (17%) | |
| 3 or more | 26 (21%) | 25 (24%) | 1 (6%) | |
| >2 previous lines: | 57 (43%) | 52 (48%) | 5 (20%) | 0.013 |
| Previous ASCT: | 66 (49%) | 61 (56%) | 5 (19%) | 0.001 |
| Response pre-allo-SCT: | 0.92 | |||
| CR | 86 (64%) | 70 (64%) | 16 (61%) | |
| PR | 35 (26%) | 28 (26%) | 7 (27%) | |
| SD/PD | 13 (10%) | 101 (9%) | 3 (11%) | |
| NE | 1 (1%) | 1 (1%) | ||
| Conditioning: | 0.067 | |||
| Myeloablative | 20 (15%) | 13 (12%) | 7 (27%) | |
| RIC | 115 (85%) | 96 (88%) | 19 (73%) | |
| GVHD prophylaxis: | <0.001 | |||
| CsA/Tacro-MTX | 45 (33%) | 81 (74%) | 9 (35%) | |
| Other | 90 (67%) | 28 (26%) | 17 (65%) | |
| Donor median age (range) | 46 (19–72) | 45 (19–72) | 53 (25–70) | 0.052 |
| Stem cell source: | 0.26 | |||
| PB | 127 (95%) | 104 (96%) | 23 (88%) | |
| BM | 5 (4%) | 3 (3%) | 2 (8%) | |
| UCB | 2 (2%) | 1 (1%) | 1 (4%) | |
| Median de CD34 + cells (range) (×106/kg) | 5.1 (0.1–18.1) | 5.1 (0.1–13) | 4.3 (2.1–18.1) | 0.45 |
| aGVHD at + 100: | 74 (55%) | 70 (64%) | 13 (50%) | 0.5 |
| aGVHD at + 100: | 0.37 | |||
| No aGVHD | 60 (45%) | 39 (36%) | 13 (50%) | |
| 1–2 | 42 (31%) | 38 (35%) | 8 (31%) | |
| 3–4 | 32 (24%) | 32 (29%) | 5 (19%) | |
| Chronic GVHD (%): | 48 (36%) | 36 (33%) | 12 (46%) | 0.26 |
| Chronic GVHD (%): | 0.59 | |||
| No | 87 (64%) | 73 (68%) | 14 (54%) | |
| Mild | 17 (13%) | 14 (13%) | 3 (12%) | |
| Moderate | 15 (11%) | 11 (10%) | 4 (16%) | |
| Severe | 14 (10%) | 10 (9%) | 4 (16%) | |
| Overall NRM (%): | 61 (45%) | 54 (49%) | 7 (27%) | 0.048 |
| NRM at +100 (%): | 27 (20%) | 24 (22%) | 3 (11%) | 0.28 |
| NRM at 1 year (%) | 45 (33%) | 40 (37%) | 5 (19%) | 0.11 |
| Causes of death: | 0.16 | |||
| aGVHD | 32 (45%) | 30 (49%) | 2 (20%) | |
| Infection | 15 (21%) | 11 (18%) | 4 (40%) | |
| Lymphoma | 12 (17%) | 9 (15%) | 3 (30%) | |
| Other | 12 (17%) | 11 (18%) | 1 (10%) | |
| Response post-allo-SCT: | 0.12 | |||
| CR | 110 (81%) | 88 (81%) | 22 (85%) | |
| PR | 6 (4%) | 6 (5%) | 0 (0%) | |
| SD/PD | 6 (4%) | 4 (4%) | 2 (8%) | |
| NE | 13 (10%) | 11 (10%) | 2 (8%) |
Publisher’s Note: MDPI stays neutral with regard to jurisdictional claims in published maps and institutional affiliations. |
© 2022 by the authors. Licensee MDPI, Basel, Switzerland. This article is an open access article distributed under the terms and conditions of the Creative Commons Attribution (CC BY) license (https://creativecommons.org/licenses/by/4.0/).
Share and Cite
Gutierrez, A.; Bento, L.; Novelli, S.; Martin, A.; Gutierrez, G.; Queralt Salas, M.; Bastos-Oreiro, M.; Perez, A.; Hernani, R.; Cruz Viguria, M.; et al. Allogeneic Stem Cell Transplantation in Mantle Cell Lymphoma; Insights into Its Potential Role in the Era of New Immunotherapeutic and Targeted Therapies: The GETH/GELTAMO Experience. Cancers 2022, 14, 2673. https://doi.org/10.3390/cancers14112673
Gutierrez A, Bento L, Novelli S, Martin A, Gutierrez G, Queralt Salas M, Bastos-Oreiro M, Perez A, Hernani R, Cruz Viguria M, et al. Allogeneic Stem Cell Transplantation in Mantle Cell Lymphoma; Insights into Its Potential Role in the Era of New Immunotherapeutic and Targeted Therapies: The GETH/GELTAMO Experience. Cancers. 2022; 14(11):2673. https://doi.org/10.3390/cancers14112673
Chicago/Turabian StyleGutierrez, Antonio, Leyre Bento, Silvana Novelli, Alejandro Martin, Gonzalo Gutierrez, Maria Queralt Salas, Mariana Bastos-Oreiro, Ariadna Perez, Rafael Hernani, Maria Cruz Viguria, and et al. 2022. "Allogeneic Stem Cell Transplantation in Mantle Cell Lymphoma; Insights into Its Potential Role in the Era of New Immunotherapeutic and Targeted Therapies: The GETH/GELTAMO Experience" Cancers 14, no. 11: 2673. https://doi.org/10.3390/cancers14112673
APA StyleGutierrez, A., Bento, L., Novelli, S., Martin, A., Gutierrez, G., Queralt Salas, M., Bastos-Oreiro, M., Perez, A., Hernani, R., Cruz Viguria, M., Lopez-Godino, O., Montoro, J., Piñana, J. L., Ferra, C., Parody, R., Martin, C., Español, I., Yañez, L., Rodriguez, G., ... on behalf of the Grupo Español de Trasplante de Progenitores Hematopoyéticos (GETH) and Grupo Español de Linfoma y Trasplante Autólogo (GELTAMO). (2022). Allogeneic Stem Cell Transplantation in Mantle Cell Lymphoma; Insights into Its Potential Role in the Era of New Immunotherapeutic and Targeted Therapies: The GETH/GELTAMO Experience. Cancers, 14(11), 2673. https://doi.org/10.3390/cancers14112673

