Non-Robustness of Ang’s Risk Classification in Human Papillomavirus-Related Oropharyngeal Squamous Cell Carcinoma in Japanese Patients
Abstract
:Simple Summary
Abstract
1. Introduction
2. Materials and Methods
2.1. Patients
2.2. Treatment
2.3. Statistical Analysis
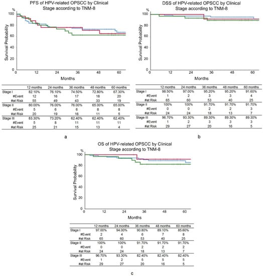
3. Results
4. Discussion
5. Conclusions
Supplementary Materials
Author Contributions
Funding
Institutional Review Board Statement
Informed Consent Statement
Data Availability Statement
Conflicts of Interest
References
- Tota, J.E.; Best, A.F.; Zumsteg, Z.S.; Gillison, M.L.; Rosenberg, P.S.; Chaturvedi, A.K. Evolution of the Oropharynx Cancer Epidemic in the United States: Moderation of Increasing Incidence in Younger Individuals and Shift in the Burden to Older Individuals. J. Clin. Oncol. 2019, 37, 1538–1546. [Google Scholar] [CrossRef] [PubMed]
- Chaturvedi, A.K.; Engels, E.A.; Pfeiffer, R.M.; Hernandez, B.Y.; Xiao, W.; Kim, E.; Jiang, B.; Goodman, M.T.; Sibug-Saber, M.; Cozen, W.; et al. Human papillomavirus and rising oropharyngeal cancer incidence in the United States. J. Clin. Oncol. 2011, 29, 4294–4301. [Google Scholar] [CrossRef] [PubMed]
- Hama, T.; Tokumaru, Y.; Fujii, M.; Yane, K.; Okami, K.; Kato, K.; Masuda, M.; Mineta, H.; Nakashima, T.; Sugasawa, M.; et al. Prevalence of human papillomavirus in oropharyngeal cancer: A multicenter study in Japan. Oncology 2014, 87, 173–182. [Google Scholar] [CrossRef] [PubMed]
- Kian Ang, K.; Harris, J.; Wheeler, R.; Weber, R.; Rosenthal, D.I.; Nguyen-Tân, P.F.; Westra, W.H.; Chung, C.H.; Jordan, R.C.; Lu, C.; et al. Human Papillomavirus and Survival of Patients with Oropharyngeal Cancer. N. Engl. J. Med. 2010, 363, 24–35. [Google Scholar] [CrossRef] [PubMed] [Green Version]
- Hong, A.M.; Dobbins, T.A.; Lee, C.S.; Jones, D.; Harnett, G.B.; Armstrong, B.K.; Clark, J.R.; Milross, C.G.; Kim, J.; O’Brien, C.J.; et al. Human papillomavirus predicts outcome in oropharyngeal cancer in patients treated primarily with surgery or radiation therapy. Br. J. Cancer 2010, 103, 1510–1517. [Google Scholar] [CrossRef] [PubMed]
- Lohaus, F.; Linge, A.; Tinhofer, I.; Budach, V.; Gkika, E.; Stuschke, M.; Balermpas, P.; Rodel, C.; Avlar, M.; Grosu, A.L.; et al. HPV16 DNA status is a strong prognosticator of loco-regional control after postoperative radiochemotherapy of locally advanced oropharyngeal carcinoma: Results from a multicentre explorative study of the German Cancer Consortium Radiation Oncology Group (DKTK-ROG). Radiother. Oncol. 2014, 113, 317–323. [Google Scholar] [CrossRef] [PubMed] [Green Version]
- Kida, K.; Terada, T.; Uwa, N.; Omori, Y.; Fujii, T.; Tomita, Y.; Tsuzuki, K.; Nishikawa, H.; Sakagami, M. Relationship Between p16 Expression and Prognosis in Patients with Oropharyngeal Cancer Undergoing Surgery. In Vivo 2018, 32, 927–935. [Google Scholar] [CrossRef]
- Roden, D.F.; Hobelmann, K.; Vimawala, S.; Richa, T.; Fundakowski, C.E.; Goldman, R.; Luginbuhl, A.; Curry, J.M.; Cognetti, D.M. Evaluating the impact of smoking on disease-specific survival outcomes in patients with human papillomavirus-associated oropharyngeal cancer treated with transoral robotic surgery. Cancer 2020, 126, 1873–1887. [Google Scholar] [CrossRef]
- Chan, P.S.K.; Chor, J.S.Y.; Vlantis, A.C.; Chow, T.L.; Fung, S.C.; Lau, C.H.; Ng, F.Y.H.; Wong, C.S. Smoking, human papillomavirus infection, and p53 mutation as risk factors in oropharyngeal cancer: A case-control study. Hong Kong Med. J. 2017, 23, 12–16. [Google Scholar]
- Lassen, P.; Lacas, B.; Pignon, J.P.; Trotti, A.; Zackrisson, B.; Zhang, Q.; Overgaard, J.; Blanchard, P.; Group, M.C. Prognostic impact of HPV-associated p16-expression and smoking status on outcomes following radiotherapy for oropharyngeal cancer: The MARCH-HPV project. Radiother. Oncol. 2018, 126, 107–115. [Google Scholar] [CrossRef]
- Hafkamp, H.C.; Manni, J.J.; Haesevoets, A.; Voogd, A.C.; Schepers, M.; Bot, F.J.; Hopman, A.H.; Ramaekers, F.C.; Speel, E.J. Marked differences in survival rate between smokers and nonsmokers with HPV 16-associated tonsillar carcinomas. Int. J. Cancer 2008, 122, 2656–2664. [Google Scholar] [CrossRef] [PubMed]
- O’Sullivan, B.; Huang, S.H.; Su, J.; Garden, A.S.; Sturgis, E.M.; Dahlstrom, K.; Lee, N.; Riaz, N.; Pei, X.; Koyfman, S.A.; et al. Development and validation of a staging system for HPV-related oropharyngeal cancer by the International Collaboration on Oropharyngeal cancer Network for Staging (ICON-S): A multicentre cohort study. Lancet Oncol. 2016, 17, 440–451. [Google Scholar] [CrossRef]
- Malm, I.J.; Fan, C.J.; Yin, L.X.; Li, D.X.; Koch, W.M.; Gourin, C.G.; Pitman, K.T.; Richmon, J.D.; Westra, W.H.; Kang, H.; et al. Evaluation of proposed staging systems for human papillomavirus-related oropharyngeal squamous cell carcinoma. Cancer 2017, 123, 1768–1777. [Google Scholar] [CrossRef] [PubMed] [Green Version]
- Mizumachi, T.; Homma, A.; Sakashita, T.; Kano, S.; Hatakeyama, H.; Fukuda, S. Confirmation of the eighth edition of the AJCC/UICC TNM staging system for HPV-mediated oropharyngeal cancer in Japan. Int. J. Clin. Oncol. 2017, 22, 682–689. [Google Scholar] [CrossRef] [PubMed] [Green Version]
- Cramer, J.D.; Hicks, K.E.; Rademaker, A.W.; Patel, U.A.; Samant, S. Validation of the eighth edition American Joint Committee on Cancer staging system for human papillomavirus-associated oropharyngeal cancer. Head Neck 2018, 40, 457–466. [Google Scholar] [CrossRef]
- Bradish, T.; Fisher, H.; Paleri, V.; Robinson, M.; Meikle, D.; Kelly, C.; O’Hara, J. How applicable is the TNM 8 staging for human papillomavirus (HPV) related oropharyngeal squamous cell carcinoma (OPSCC) to a UK population of 106 patients?: A cohort comparison of the TNM 7 and TNM8 staging systems for HPV positive oropharyngeal cancer in a UK population. Eur. Arch. Otorhinolaryngol. 2021, 278, 755–761. [Google Scholar] [CrossRef]
- De Felice, F.; Bird, T.; Michaelidou, A.; Thavaraj, S.; Odell, E.; Sandison, A.; Hall, G.; Morgan, P.; Lyons, A.; Cascarini, L.; et al. Radical (chemo)radiotherapy in oropharyngeal squamous cell carcinoma: Comparison of TNM 7th and 8th staging systems. Radiother. Oncol. 2020, 145, 146–153. [Google Scholar] [CrossRef]
- Bhatia, A.; Burtness, B. Human Papillomavirus-Associated Oropharyngeal Cancer: Defining Risk Groups and Clinical Trials. J. Clin. Oncol. 2015, 33, 3243–3250. [Google Scholar] [CrossRef]
- Masterson, L.; Moualed, D.; Liu, Z.W.; Howard, J.E.; Dwivedi, R.C.; Tysome, J.R.; Benson, R.; Sterling, J.C.; Sudhoff, H.; Jani, P.; et al. De-escalation treatment protocols for human papillomavirus-associated oropharyngeal squamous cell carcinoma: A systematic review and meta-analysis of current clinical trials. Eur. J. Cancer 2014, 50, 2636–2648. [Google Scholar] [CrossRef]
- Mehanna, H.; Rischin, D.; Wong, S.J.; Gregoire, V.; Ferris, R.; Waldron, J.; Le, Q.T.; Forster, M.; Gillison, M.; Laskar, S.; et al. De-Escalation After DE-ESCALATE and RTOG 1016: A Head and Neck Cancer InterGroup Framework for Future De-Escalation Studies. J. Clin. Oncol. 2020, 38, 2552–2557. [Google Scholar] [CrossRef]
- Fakhry, C.; Zhang, Q.; Gillison, M.L.; Nguyen-Tan, P.F.; Rosenthal, D.I.; Weber, R.S.; Lambert, L.; Trotti, A.M., 3rd; Barrett, W.L.; Thorstad, W.L.; et al. Validation of NRG oncology/RTOG-0129 risk groups for HPV-positive and HPV-negative oropharyngeal squamous cell cancer: Implications for risk-based therapeutic intensity trials. Cancer 2019, 125, 2027–2038. [Google Scholar] [CrossRef] [PubMed]
- Granata, R.; Miceli, R.; Orlandi, E.; Perrone, F.; Cortelazzi, B.; Franceschini, M.; Locati, L.D.; Bossi, P.; Bergamini, C.; Mirabile, A.; et al. Tumor stage, human papillomavirus and smoking status affect the survival of patients with oropharyngeal cancer: An Italian validation study. Ann. Oncol. 2012, 23, 1832–1837. [Google Scholar] [CrossRef] [PubMed]
- Deschuymer, S.; Dok, R.; Laenen, A.; Hauben, E.; Nuyts, S. Patient Selection in Human Papillomavirus Related Oropharyngeal Cancer: The Added Value of Prognostic Models in the New TNM 8th Edition Era. Front. Oncol. 2018, 8, 273. [Google Scholar] [CrossRef] [PubMed]
- Rietbergen, M.M.; Witte, B.I.; Velazquez, E.R.; Snijders, P.J.; Bloemena, E.; Speel, E.J.; Brakenhoff, R.H.; Kremer, B.; Lambin, P.; Leemans, C.R. Different prognostic models for different patient populations: Validation of a new prognostic model for patients with oropharyngeal cancer in Western Europe. Br. J. Cancer 2015, 112, 1733–1736. [Google Scholar] [CrossRef] [PubMed] [Green Version]
- Vawda, N.; Banerjee, R.N.; Debenham, B.J. Impact of Smoking on Outcomes of HPV-related Oropharyngeal Cancer Treated with Primary Radiation or Surgery. Int. J. Radiat. Oncol. Biol. Phys. 2019, 103, 1125–1131. [Google Scholar] [CrossRef]
- Chen, S.Y.; Last, A.; Ettyreddy, A.; Kallogjeri, D.; Wahle, B.; Chidambaram, S.; Mazul, A.; Thorstad, W.; Jackson, R.S.; Zevallos, J.P.; et al. 20 pack-year smoking history as strongest smoking metric predictive of HPV-positive oropharyngeal cancer outcomes. Am. J. Otolaryngol. 2021, 42, 102915. [Google Scholar] [CrossRef]
- Chen, S.Y.; Massa, S.; Mazul, A.L.; Kallogjeri, D.; Yaeger, L.; Jackson, R.S.; Zevallos, J.; Pipkorn, P. The association of smoking and outcomes in HPV-positive oropharyngeal cancer: A systematic review. Am. J. Otolaryngol. 2020, 41, 102592. [Google Scholar] [CrossRef]
- Kimura, E.; Araki, K.; Tomifuji, M.; Tanaka, Y.; Uno, K.; Yamashita, T.; Shiotani, A. Value of transoral surgery for human papillomavirus-mediated oropharyngeal cancer: Validation of a new staging system in Japanese patients. J. Int. Med. Res. 2019, 47, 5048–5059. [Google Scholar] [CrossRef]
- Kano, M.; Kondo, S.; Wakisaka, N.; Wakae, K.; Aga, M.; Moriyama-Kita, M.; Ishikawa, K.; Ueno, T.; Nakanishi, Y.; Hatano, M.; et al. Expression of estrogen receptor alpha is associated with pathogenesis and prognosis of human papillomavirus-positive oropharyngeal cancer. Int. J. Cancer 2019, 145, 1547–1557. [Google Scholar] [CrossRef]
- Saito, Y.; Hayashi, R.; Iida, Y.; Mizumachi, T.; Fujii, T.; Matsumoto, F.; Beppu, T.; Yoshida, M.; Shinomiya, H.; Kamiyama, R.; et al. Optimization of therapeutic strategy for p16-positive oropharyngeal squamous cell carcinoma: Multi-institutional observational study based on the national Head and Neck Cancer Registry of Japan. Cancer 2020, 126, 4177–4187. [Google Scholar] [CrossRef]
- Rietbergen, M.M.; Brakenhoff, R.H.; Bloemena, E.; Witte, B.I.; Snijders, P.J.; Heideman, D.A.; Boon, D.; Koljenovic, S.; Baatenburg-de Jong, R.J.; Leemans, C.R. Human papillomavirus detection and comorbidity: Critical issues in selection of patients with oropharyngeal cancer for treatment De-escalation trials. Ann. Oncol. 2013, 24, 2740–2745. [Google Scholar] [CrossRef] [PubMed]
- Fakhry, C.; Zhang, Q.; Nguyen-Tan, P.F.; Rosenthal, D.I.; Weber, R.S.; Lambert, L.; Trotti, A.M., 3rd; Barrett, W.L.; Thorstad, W.L.; Jones, C.U.; et al. Development and Validation of Nomograms Predictive of Overall and Progression-Free Survival in Patients with Oropharyngeal Cancer. J. Clin. Oncol. 2017, 35, 4057–4065. [Google Scholar] [CrossRef] [PubMed]
- Gronhoj, C.; Jensen, D.H.; Dehlendorff, C.; Marklund, L.; Wagner, S.; Mehanna, H.; Munck-Wikland, E.; Ramqvist, T.; Nasman, A.; Wittekindt, C.; et al. Development and external validation of nomograms in oropharyngeal cancer patients with known HPV-DNA status: A European Multicentre Study (OroGrams). Br. J. Cancer 2018, 118, 1672–1681. [Google Scholar] [CrossRef] [PubMed]
- Lassen, P.; Primdahl, H.; Johansen, J.; Kristensen, C.A.; Andersen, E.; Andersen, L.J.; Evensen, J.F.; Eriksen, J.G.; Overgaard, J.; Danish, H.; et al. Impact of HPV-associated p16-expression on radiotherapy outcome in advanced oropharynx and non-oropharynx cancer. Radiother. Oncol. 2014, 113, 310–316. [Google Scholar] [CrossRef] [PubMed] [Green Version]
- Lassen, P.; Huang, S.H.; Su, J.; Waldron, J.; Andersen, M.; Primdahl, H.; Johansen, J.; Kristensen, C.A.; Andersen, E.; Eriksen, J.G.; et al. Treatment outcomes and survival following definitive (chemo)radiotherapy in HPV-positive oropharynx cancer: Large-scale comparison of DAHANCA vs PMH cohorts. Int. J. Cancer 2022, 150, 1329–1340. [Google Scholar] [CrossRef]
- Huang, S.H.; Xu, W.; Waldron, J.; Siu, L.; Shen, X.; Tong, L.; Ringash, J.; Bayley, A.; Kim, J.; Hope, A.; et al. Refining American Joint Committee on Cancer/Union for International Cancer Control TNM stage and prognostic groups for human papillomavirus-related oropharyngeal carcinomas. J. Clin. Oncol. 2015, 33, 836–845. [Google Scholar] [CrossRef]
- World Health Organization. WHO Global Report on Trends in Prevalence of Tobacco Use 2000–2025, 3rd ed.; World Health Organization: Geneva, Switzerland, 2019. [Google Scholar]
- Gronhoj, C.; Jensen, J.S.; Wagner, S.; Dehlendorff, C.; Friborg, J.; Andersen, E.; Wittekindt, C.; Wurdemann, N.; Sharma, S.J.; Gattenlohner, S.; et al. Impact on survival of tobacco smoking for cases with oropharyngeal squamous cell carcinoma and known human papillomavirus and p16-status: A multicenter retrospective study. Oncotarget 2019, 10, 4655–4663. [Google Scholar] [CrossRef] [Green Version]
- Yamamoto, Y.; Takemoto, N.; Michiba, T.; Seo, Y.; Isohashi, F.; Otani, K.; Suzuki, M.; Fujii, T.; Yoshii, T.; Mitani, K.; et al. Radiotherapy alone as a possible de-intensified treatment for human papillomavirus-related locally advanced oropharyngeal squamous cell carcinoma. Int. J. Clin. Oncol. 2019, 24, 640–648. [Google Scholar] [CrossRef]
- Saito, Y.; Yoshida, M.; Ushiku, T.; Omura, G.; Ebihara, Y.; Shimono, T.; Fukayama, M.; Yamasoba, T.; Asakage, T. Prognostic value of p16 expression and alcohol consumption in Japanese patients with oropharyngeal squamous cell carcinoma. Cancer 2013, 119, 2005–2011. [Google Scholar] [CrossRef]



| PFS | DSS | OS | ||||||
|---|---|---|---|---|---|---|---|---|
| n (%) | HR (95% CI) | p | HR (95% CI) | p | HR (95% CI) | p | ||
| Gender | ||||||||
| male/female & | 99 (81.1%)/23 (18.9%) | 0.944 (0.629–1.417) | 0.781 | 1.075 (0.228–5.063) | 0.928 | 0.931 (0.267–3.241) | 0.911 | |
| Age | ||||||||
| median | 62.7 years | 1.020 (0.991–1.050) ** | 0.175 | 1.073 (1.007–1.144) ** | 0.031 * | 1.065(1.015–1.118) ** | 0.01 * | |
| <50 years/≥50 years | 16 (13.1%)/106 (86.9%) | 1.091 (0.682–1.742) | 0.718 | 5.051 (0.106–250) | 0.411 | 1.647 (0.599–4.525) | 0.334 | |
| <60 years/≥60 years | 51 (41.8%)/71 (58.2%) | 1.161 (0.842–1.600) | 0.363 | 1.304 (0.663–2.564) | 0.442 | 1.543(0.881–2.705) | 0.129 | |
| <70 years/≥70 years & | 92 (75.4%)/30 (24.6%) | 1.277 (0.931–1.751) | 0.129 | 2.169 (1.151–4.082) | 0.017 * | 1.873(1.162–3.017) | 0.01 * | |
| Hemoglobin | ||||||||
| female median | 13 g/dL | |||||||
| male median | 14..5 g/dL | |||||||
| >median/≤median & | 63 (51.6%)/59 (48.4%) | 1.072 (0.791–1.454) | 0.654 | 1.191 (0.632–2.245) | 0.589 | 1.325 (0.805–2.181) | 0.268 | |
| Smoking habit | ||||||||
| ever/never | 88 (72.1%)/34 (27.9%) | 1.072 (0.765–1.501) | 0.687 | 1.064 (0.541–2.093) | 0.857 | 1.075 (0.637–1.815) | 0.787 | |
| median PY for ever smoker | 25.3 PY | |||||||
| median PY for all | 18.3 PY | 1.005 (0.996–1.014) ** | 0.270 | 1.010 (0.993–1.027) ** | 0.256 | 1.012 (1.000–1.025) ** | 0.043 * | |
| ≤10 PY/>10 PY | 48 (39.3%)/74 (60.7%) | 1.156 (0.839–1.594) | 0.376 | 1.244 (0.632–2.447) | 0.528 | 1.238 (0.734–2.087) | 0.423 | |
| ≤20 PY/>20 PY | 63 (51.6%)/59 (40.4%) | 1.155 (0.852–1.566) | 0.352 | 1.588 (0.807–3.125) | 0.18 | 1.388 (0.843–2.284) | 0.198 | |
| ≤30 PY/>30 PY & | 84 (68.9%)/38 (31.1%) | 1.208 (0.884–1.650) | 0.235 | 1.865 (0.990–3.514) | 0.054 | 1.801 (1.110–2.923) | 0.017 * | |
| Secondary cancer | ||||||||
| no/yes & | 87 (71.3%)/35 (28.7%) | 1.037(0.751–1.433) | 0.826 | 1.579 (0.850–2.941) | 0.148 | 1.876 (1.157–3.040) | 0.011 * | |
| Primary site | ||||||||
| base of tongue/other & | 28 (23.0%)/94 (77.0%) | 1.133 (0.770–1.667) | 0.525 | 1.066 (0.491–2.316) | 0.871 | 1.464 (0.700–3.063) | 0.312 | |
| T-stage (TNM-8) | ||||||||
| T1 | 17 (13.9%) | 0.681 (0.209–2.216) | 0.524 | 0.760 (0.069–8.402) | 0.823 | 0.377 (0.042–3.375) | 0.383 | |
| T2 | 61 (50.0%) | 1.092 (0.501–2.378) | 0.825 | 0.771 (0.140–4.251) | 0.766 | 0.891 (0.273–2.909) | 0.848 | |
| T3 | 16 (13.1%) | 1.428 (0.532–3.838) | 0.825 | 2.389 (0.399–14.319) | 0.340 | 1.225 (0.274–5.475) | 0.791 | |
| T4 | 28 (23.0%) | 1 | 1 | 1 | ||||
| T1-2/T3-4 & | 78 (63.9%)/44 (36.1%) | 1.074(0.785–1.468) | 0.656 | 1.414 (0.758–2.639) | 0.276 | 1.178 (0.725–1.912) | 0.510 | |
| T1-3/T4 | 94 (77.0%)/28 (23.0%) | 0.967 (0.668–1.401) | 0.861 | 0.981 (0.451–2.137) | 0.963 | 1.081 (0.6161–1.898) | 0.786 | |
| N-stage | ||||||||
| N0 (TNM-8) | 5 (4.1%) | 0.311 (0.051–1.883) | 0.204 | 0 | 0.971 ? | 0 | 0.972 ? | |
| N1 (TNM-8) | 95 (77.8%) | 0.237 (0.072–0.786) | 0.019* | 6.851 (0–) | 0.980 | 11.200 (0–) | 0.976 | |
| N2 (TNM-8) | 18 (14.8%) | 0.227 (0.056–0.917) | 0.037 * | 17.452 (0–) | 0.970 | 18.853 (0–) | 0.971 | |
| N3 (TNM-8) | 4 (3.3%) | 1 | 1 | 1 | ||||
| N0-2a/N2b-3 (TNM-7) & | 33 (27.0%)/89 (73.0%) | 1.437 (0.9578–2.16) | 0.080 | 33.333 (0.094–) | 0.242 ? | 5.813 (0.620–55.55) | 0.123 ? | |
| N0-2b/N2c-3 (TNM-7) | 100 (82.0%)/22 (18.0%) | 1.126 (0.7782–1.629) | 0.529 | 1.730 (0.917–3.257) | 0.090 | 1.362 (0.8071–2.299) | 0.248 | |
| Clinical stage (TNM-8) | ||||||||
| I | 67 (54.9%) | 1 | 1 | 1 | ||||
| II | 25 (20.5%) | 0.947 (0.374–2.396) | 0.873 | 2.057 (0.360–11.958) | 0.266 | 0.9149 (0.207–4.046) | 0.764 | |
| III | 30 (24.6%) | 1.034 (0.687–1.555) | 0.740 | 1.618 (0.693–3.77) | 0.589 | 1.105 (0.578–2.114) | 0.659 | |
| Treatment | ||||||||
| OP alone | 27 (22.1%) | 1.679 (0.464–6.074) | 0.430 | 0.430 (0.059–3.113) | 0.404 | 0.418 (0.058–2.997) | 0.385 | |
| OP + RT or OP + CRT | 38 (31.2%) | 1.420 (0.405–4.974) | 0.583 | 0.419 (0.070–2.509) | 0.341 | 0.700 (0.136–3.613) | 0.670 | |
| RT alone | 10 (8.2%) | 1 | 1 | 1 | ||||
| CRT | 36 (29.5%) | 1.020 (0.284–3.666) | 0.976 | 0.422 (0.071–2.531) | 0.345 | 1.131 (0.240–5.330) | 0.876 | |
| NeoCT + CRT | 11 (9.0%) | 1.126 (0.226–5.618) | 0.885 | 0 | 0.985 ? | 0 | 0.981 ? | |
| definitive RT/definitive OP *** & | 57 (46.7%)/65 (53.3%) | 1.214 (0.889–1.656) | 0.223 | 0.976 (0.523–1.821) | 0.938 | 0.813 (0.500–1.323) | 0.405 | |
| Ang’s risk classification | ||||||||
| low/intermediate & | 70 (57.4%)/52 (42.6%) | 2.021 (1.095–3.729) | 0.024 * | 3.312 (0.856–12.813) | 0.083 | 3.348 (1.179–9.508) | 0.023 * | |
| PFS | DSS | OS | |||||||||||
|---|---|---|---|---|---|---|---|---|---|---|---|---|---|
| UVA | MVA | UVA | MVA | UVA | MVA | ||||||||
| 3-Year PFS | p | HR (95% CI) | p | 3-Year DSS | p | HR (95% CI) | p | 3-Year OS | p | HR (95% CI) | p | ||
| Gender | |||||||||||||
| female | 73.9% | 0.780 | 1 | 0.565 | 92.4% | 0.927 | 1 | 0.379 | 88.3% | 0.911 | 1 | 0.649 | |
| male | 71.4% | 1.770 (0.316–1.876) | 95.5% | 0.407 (0.055–3.012) | 91.3% | 0.700 (0.150–3.257) | |||||||
| Age | |||||||||||||
| <70 years | 74.8% | 0.124 | 1 | 0.118 | 96.6% | 0.008 * | 1 | 0.009 * | 93.2% | 0.006 * | 1 | 0.010 * | |
| ≥70 Yeas | 63.3% | 1.681 (0.876–3.226) | 81.9% | 7.246 (1.631–32.258) | 76.2% | 3.984 (1.399–11.364) | |||||||
| Hemoglobin | |||||||||||||
| >median | 72.9% | 0.652 | 1 | 0.511 | 93.2% | 0.589 | 1 | 0.318 | 86.6% | 0.262 | 1 | 0.257 | |
| ≤median | 70.9% | 1.261 (0.632–2.516) | 92.8% | 2.270 (0.454–11.358) | 91.2% | 2.003 (0.603–6.659) | |||||||
| Smoking habit | |||||||||||||
| ≤30 PY | 76.0% | 0.230 | 1 | 0.385 | 97.5% | 0.040 * | 1 | 0.099 | 95.1% | 0.012 * | 1 | 0.112 | |
| >30 PY | 62.8% | 1.403 (0.654–3.011) | 82.7% | 6.997 (0.696–70.376) | 75.4% | 3.745 (0.736–19.048) | |||||||
| Secondary cancer | |||||||||||||
| no | 72.3% | 0.825 | 1 | 0.556 | 95.3% | 0.134 | 1 | 0.567 | 94.2% | 0.006 * | 1 | 0.158 | |
| yes | 71.4% | 0.809 (0.399–1.639) | 87.2% | 1.471 (0.393–5.495) | 76.9% | 2.141 (0.743–6.173) | |||||||
| Primary site | |||||||||||||
| base of tongue | 78.6% | 0.523 | 1 | 0.739 | 92.6% | 0.871 | 1 | 0.952 | 92.6% | 0.300 | 1 | 0.444 | |
| others | 70.0% | 1.148 (0.508–2.594) | 93.1% | 0.948 (0.165–5.436) | 87.9% | 1.865 (0.378–9.216) | |||||||
| T-stage (TNM-8) | |||||||||||||
| T1-T2 | 74.3% | 0.655 | 1 | 0.512 | 94.6% | 0.266 | 1 | 0.146 | 90.8% | 0.508 | 1 | 0.412 | |
| T3-T4 | 67.7% | 1.259 (0.632–2.513) | 90.1% | 3.012 (0.682–13.333) | 85.7% | 1.597 (0.522–4.878) | |||||||
| N-stage (TNM-7) | |||||||||||||
| N0-N2a | 84.8% | 0.072 | 1 | 0.135 | 100.0% | 0.051 | 1 | 0.959 ? | 100.0% | 0.010 * | 1 | 0.951 ? | |
| N2b-N3 | 67.2% | 2.252 (0.777–6.536) | 90.3% | 0 | 84.8% | 0 | |||||||
| Treatment | |||||||||||||
| Definitive RT ** | 78.7% | 0.218 | 1 | 0.075 | 94.6% | 0.938 | 1 | 0.230 | 89.3% | 0.402 | 1 | 0.678 | |
| Definitive OP ** | 66.0% | 1.925 (0.937–3.955) | 91.6% | 2.984 (0.500–17.818) | 88.6% | 1.295 (0.382–4.386) | |||||||
| Ang’s risk classification | |||||||||||||
| low | 81.40% | 0.021 * | 1 | 0.575 | 98.60% | 0.065 | 1 | 0.407 | 97.10% | 0.016 * | 1 | 0.478 | |
| intermediate | 59.34% | 1.298 (0.522–3.229) | 85.60% | 0.300 (0.017–5.177) | 78.40% | 0.499 (0.073–3.398) | |||||||
| Definitive OP ** | Definitive RT ** | ||||||||||||||
|---|---|---|---|---|---|---|---|---|---|---|---|---|---|---|---|
| n | 3-Year PFS | p | 3-Year DSS | p | 3-Year OS | p | n | 3-year PFS | p | 3-year DSS | p | 3-year OS | p | ||
| Gender | |||||||||||||||
| female | 8 | 62.5% | 0.800 | 100% | 0.366 | 100% | 0.291 | 15 | 80.0% | 0.840 | 92.9% | 0.522 | 86.7% | 0.780 | |
| male | 57 | 66.4% | 90.2% | 86.9% | 42 | 78.2% | 95.2% | 90.2% | |||||||
| Age | |||||||||||||||
| <70 years | 52 | 71.2% | 0.073 | 96.0% | 0.100 | 96.0% | <0.001 * | 40 | 79.5% | 0.730 | 97.4% | 0.163 | 89.6% | 0.542 | |
| ≥70 years | 13 | 46.2% | 70.1% | 59.3% | 17 | 76.5% | 88.2% | 88.2% | |||||||
| Hgb | |||||||||||||||
| >median | 37 | 64.9% | 0.881 | 91.1% | 0.946 | 88.7% | 0.941 | 22 | 86.4% | 0.369 | 95.5% | 0.506 | 95.5% | 0.265 | |
| <median | 28 | 67.5% | 92.2% | 88.5% | 35 | 73.7% | 94.1% | 85.2% | |||||||
| Smoking habit | |||||||||||||||
| ≤30 PY | 45 | 71.0% | 0.062 | 97.6% | 0.011 * | 95.3% | 0.012 * | 39 | 82.1% | 0.912 | 97.4% | 0.829 | 94.9% | 0.332 | |
| >30 PY | 20 | 54.5% | 77.5% | 73.2% | 18 | 72.2% | 88.9% | 71.8% | |||||||
| ≤10 PY | 24 | 75.0% | 0.242 | 100% | 0.078 | 100% | 0.038 * | 24 | 83.3% | 0.944 | 95.7% | 0.390 | 91.7% | 0.500 | |
| >10 PY | 41 | 60.7% | 86.6% | 82.2% | 33 | 75.6% | 93.9% | 87.8% | |||||||
| Secondary cancer | |||||||||||||||
| no | 48 | 68.6% | 0.730 | 95.7% | 0.077 | 95.7% | 0.006 * | 39 | 76.8% | 0.988 | 94.7% | 0.702 | 92.3% | 0.239 | |
| yes | 17 | 58.8% | 80.0% | 70.6% | 18 | 83.3% | 94.4% | 83.3% | |||||||
| Primary site | |||||||||||||||
| base of tongue | 14 | 64.3% | 0.722 | 85.1% | 0.286 | 85.1% | 0.590 | 14 | 92.9% | 0.185 | 100% | 0.252 | 100% | 0.088 | |
| others | 51 | 66.6% | 93.4% | 89.7% | 43 | 74.1% | 92.9% | 85.7% | |||||||
| T-stage | |||||||||||||||
| T1-2 | 49 | 71.4% | 0.214 | 95.7% | 0.044 * | 93.6% | 0.035 * | 29 | 79.2% | 0.957 | 92.9% | 0.756 | 86.1% | 0.288 | |
| T3-4 | 16 | 50.0% | 79.4% | 74.5% | 28 | 78.3% | 96.4% | 92.6% | |||||||
| N-stage | |||||||||||||||
| N0-N2a | 21 | 85.7% | 0.031 * | 100% | 0.104 | 100% | 0.058 | 12 | 83.3% | 0.680 | 100% | 0.203 | 100% | 0.073 | |
| N2b-N3 | 44 | 56.6% | 87.3% | 83.2% | 45 | 77.6% | 93.2% | 86.4% | |||||||
| Ang’s risk classification | |||||||||||||||
| low | 36 | 77.8% | 0.017 * | 100% | 0.010 * | 100% | 0.003 * | 34 | 85.3% | 0.500 | 97.0% | 0.915 | 94.1% | 0.467 | |
| intermediate | 29 | 51.7% | 81.2% | 75.4% | 23 | 69.3% | 91.3% | 82.4% | |||||||
Publisher’s Note: MDPI stays neutral with regard to jurisdictional claims in published maps and institutional affiliations. |
© 2022 by the authors. Licensee MDPI, Basel, Switzerland. This article is an open access article distributed under the terms and conditions of the Creative Commons Attribution (CC BY) license (https://creativecommons.org/licenses/by/4.0/).
Share and Cite
Itami, J.; Kobayashi, K.; Mori, T.; Honma, Y.; Kubo, Y.; Murakami, N.; Omura, G.; Okuma, K.; Inaba, K.; Takahashi, K.; et al. Non-Robustness of Ang’s Risk Classification in Human Papillomavirus-Related Oropharyngeal Squamous Cell Carcinoma in Japanese Patients. Cancers 2022, 14, 2442. https://doi.org/10.3390/cancers14102442
Itami J, Kobayashi K, Mori T, Honma Y, Kubo Y, Murakami N, Omura G, Okuma K, Inaba K, Takahashi K, et al. Non-Robustness of Ang’s Risk Classification in Human Papillomavirus-Related Oropharyngeal Squamous Cell Carcinoma in Japanese Patients. Cancers. 2022; 14(10):2442. https://doi.org/10.3390/cancers14102442
Chicago/Turabian StyleItami, Jun, Kenya Kobayashi, Taisuke Mori, Yoshitaka Honma, Yuko Kubo, Naoya Murakami, Go Omura, Kae Okuma, Koji Inaba, Kana Takahashi, and et al. 2022. "Non-Robustness of Ang’s Risk Classification in Human Papillomavirus-Related Oropharyngeal Squamous Cell Carcinoma in Japanese Patients" Cancers 14, no. 10: 2442. https://doi.org/10.3390/cancers14102442
APA StyleItami, J., Kobayashi, K., Mori, T., Honma, Y., Kubo, Y., Murakami, N., Omura, G., Okuma, K., Inaba, K., Takahashi, K., Kashihara, T., Shimizu, Y., Takahashi, A., Nakayama, Y., Matsumoto, F., Yoshimoto, S., & Igaki, H. (2022). Non-Robustness of Ang’s Risk Classification in Human Papillomavirus-Related Oropharyngeal Squamous Cell Carcinoma in Japanese Patients. Cancers, 14(10), 2442. https://doi.org/10.3390/cancers14102442

