Single-Cells Isolation and Molecular Analysis: Focus on HER2-Low CTCs in Metastatic Breast Cancer
Abstract
:Simple Summary
Abstract
1. Introduction
2. Materials and Methods
2.1. Study Design
2.2. Human Breast Cancer Cell Lines
2.3. Spiking Experiments
2.4. CellSearch®
2.5. DEPArray™
2.6. Metastatic Breast Cancer Patient Samples
2.7. Statistical Analysis
3. Results
3.1. Sample Enrichment with the CellSearch® and ACCEPT Analysis
3.2. HER2-Low CTCs Identification and Collection
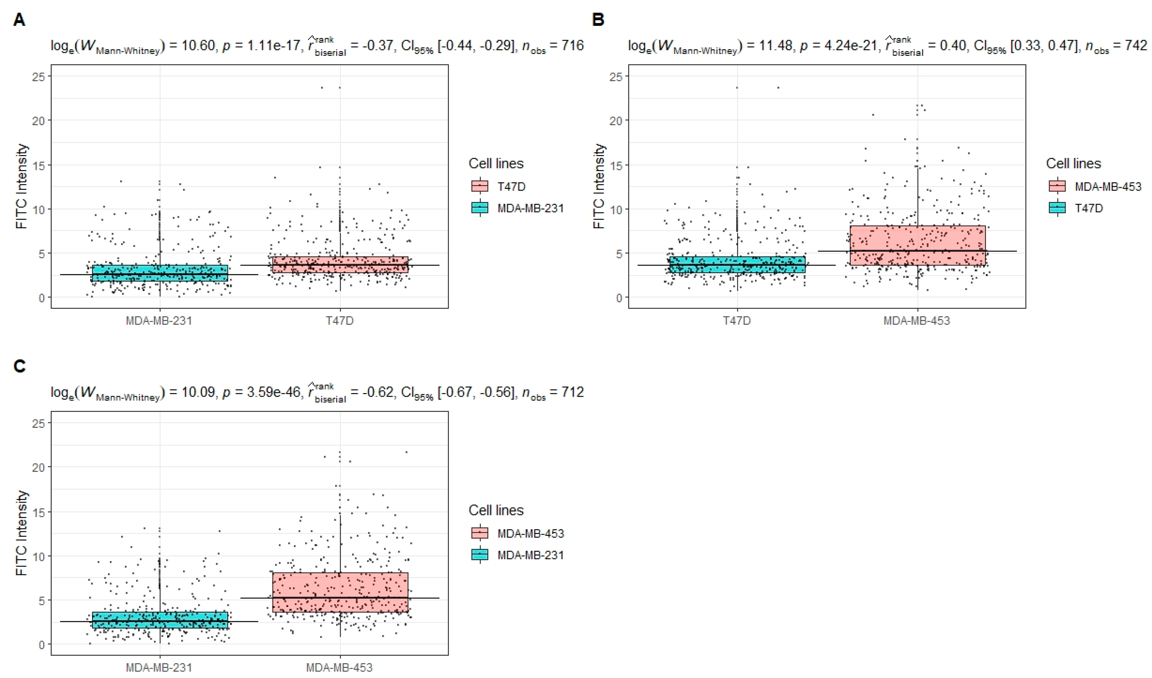
3.2.1. CellBrowser HER2 Expression Analysis
3.2.2. Receiver Operating Characteristic (ROC) Curves and Identification of the Thresholds
3.2.3. Validation Experiment and HER2-Low CTC Collection with the DEPArray NxT™
3.3. HER2-Low CTCs Identification and Collection in Human Samples
4. Discussion
5. Conclusions
Supplementary Materials
Author Contributions
Funding
Institutional Review Board Statement
Informed Consent Statement
Data Availability Statement
Acknowledgments
Conflicts of Interest
References
- Slamon, D.; Eiermann, W.; Robert, N.; Pienkowski, T.; Martin, M.; Press, M.; Mackey, J.; Glaspy, J.; Chan, A.; Pawlicki, M.; et al. Adjuvant Trastuzumab in HER2-Positive Breast Cancer. N. Engl. J. Med. 2011, 365, 1273–1283. [Google Scholar] [CrossRef] [Green Version]
- Slamon, D.J.; Leyland-Jones, B.; Shak, S.; Fuchs, H.; Paton, V.; Bajamonde, A.; Fleming, T.; Eiermann, W.; Wolter, J.; Pegram, M.; et al. Use of Chemotherapy plus a Monoclonal Antibody against HER2 for Metastatic Breast Cancer That Overexpresses HER2. N. Engl. J. Med. 2001, 344, 783–792. [Google Scholar] [CrossRef]
- Fehm, T.; Becker, S.; Duerr-Stoerzer, S.; Sotlar, K.; Mueller, V.; Wallwiener, D.; Lane, N.; Solomayer, E.; Uhr, J. Determination of HER2 status using both serum HER2 levels and circulating tumor cells in patients with recurrent breast cancer whose primary tumor was HER2 negative or of unknown HER2 status. Breast Cancer Res. 2007, 9, R74. [Google Scholar] [CrossRef] [Green Version]
- Fehm, T.; Müller, V.; Aktas, B.; Janni, W.; Schneeweiss, A.; Stickeler, E.; Lattrich, C.; Löhberg, C.R.; Solomayer, E.; Rack, B.; et al. HER2 status of circulating tumor cells in patients with metastatic breast cancer: A prospective, multicenter trial. Breast Cancer Res. Treat. 2010, 124, 403–412. [Google Scholar] [CrossRef] [PubMed] [Green Version]
- Agelaki, S.; Kalykaki, A.; Markomanolaki, H.; Papadaki, M.A.; Kallergi, G.; Hatzidaki, D.; Kalbakis, K.; Mavroudis, D.; Georgoulias, V. Efficacy of lapatinib in therapy-resistant HER2-positive circulating tumor cells in metastatic breast cancer. PLoS ONE 2015, 10, e0123683. [Google Scholar] [CrossRef]
- Jacot, W.; Cottu, P.; Berger, F.; Dubot, C.; Venat-Bouvet, L.; Lortholary, A.; Bourgeois, H.; Bollet, M.; Servent, V.; Luporsi, E.; et al. Actionability of HER2-amplified circulating tumor cells in HER2-negative metastatic breast cancer: The CirCe T-DM1 trial. Breast Cancer Res. 2019, 21, 13–21. [Google Scholar] [CrossRef]
- Fehm, T.; Mueller, V.; Banys-Paluchowski, M.; Fasching, P.A.; Friedl, T.W.P.; Hartkopf, A.; Huober, J.; Loehberg, C.; Rack, B.; Riethdorf, S.; et al. Efficacy of the tyrosine kinase inhibitor lapatinib in the treatment of patients with HER2-negative metastatic breast cancer and HER2-positive circulating tumor cells—Results from the randomized phase III DETECT III trial. Cancer Res. 2021, 81, PD3-12. [Google Scholar] [CrossRef]
- Jordan, N.V.; Bardia, A.; Wittner, B.S.; Benes, C.; Ligorio, M.; Zheng, Y.; Yu, M.; Sundaresan, T.K.; Licausi, J.A.; Desai, R.; et al. HER2 expression identifies dynamic functional states within circulating breast cancer cells. Nature 2016, 537, 102–106. [Google Scholar] [CrossRef]
- Jaeger, B.A.S.; Neugebauer, J.; Andergassen, U.; Melcher, C.; Schochter, F.; Mouarrawy, D.; Ziemendorff, G.; Clemens, M.; Abel, E.V.; Heinrich, G.; et al. The HER2 phenotype of circulating tumor cells in HER2-positive early breast cancer: A translational research project of a prospective randomized phase III trial. PLoS ONE 2017, 12, e0173593. [Google Scholar] [CrossRef] [Green Version]
- Riethdorf, S.; Müller, V.; Zhang, L.; Rau, T.; Loibl, S.; Komor, M.; Roller, M.; Huober, J.; Fehm, T.; Schrader, I.; et al. Detection and HER2 expression of circulating tumor cells: Prospective monitoring in breast cancer patients treated in the neoadjuvant GeparQuattro trial. Clin. Cancer Res. 2010, 16, 2634–2645. [Google Scholar] [CrossRef] [Green Version]
- D’Amico, P.; Zhang, Q.; Gerratana, L.; Zhang, Y.; Shah, A.; Reduzzi, C.; Davis, A.; Jacob, S.; Wehbe, F.; Behdad, A.; et al. Ctc-her2+ a novel subset in stage IVaggressive: Molecular correlations, outcome and clinical characteristics in metastatic breast cancer. Cancer Res. 2021, 81, PS2-11. [Google Scholar] [CrossRef]
- D’Amico, P.; Reduzzi, C.; Gandini, S.; Gerratana, L.; Qiang, W.; Zhang, Q.; St-Pierre, F.; Zhang, Y.; Shah, A.N.; Davis, A.A.; et al. Correlation between different levels of HER2 expression in circulating tumor cells (cHER2 ratio) and metastatic behavior in stageIVaggressive breast cancer. J. Clin. Oncol. 2021, 39, 3036. [Google Scholar] [CrossRef]
- Cristofanilli, M.; Budd, G.T.; Ellis, M.J.; Stopeck, A.; Matera, J.; Miller, M.C.; Reuben, J.M.; Doyle, G.V.; Allard, W.J.; Terstappen, L.W.M.M.; et al. Circulating tumor cells, disease progression, and survival in metastatic breast cancer. N. Engl. J. Med. 2004, 351, 781–791. [Google Scholar] [CrossRef] [Green Version]
- Zeune, L.; van Dalum, G.; Decraene, C.; Proudhon, C.; Fehm, T.; Neubauer, H.; Rack, B.; Alunni-Fabbroni, M.; Terstappen, L.W.M.M.; van Gils, S.A.; et al. Quantifying HER-2 expression on circulating tumor cells by ACCEPT. PLoS ONE 2017, 12, e0186562. [Google Scholar] [CrossRef] [Green Version]
- Di Trapani, M.; Manaresi, N.; Medoro, G. DEPArrayTM system: An automatic image-based sorter for isolation of pure circulating tumor cells. Cytom. Part A 2018, 93, 1260–1266. [Google Scholar] [CrossRef] [Green Version]
- R Core Team. R: A Language and Environment for Statistical Computing. 2020. Available online: https://www.r-project.org/ (accessed on 1 September 2021).
- RStudio Team. Integrated Development Environment for R. 2020. Available online: http://www.rstudio.com/ (accessed on 1 September 2021).
- Patil, I. Visualizations with statistical details: The “ggstatsplot” approach. J. Open Source Softw. 2021, 6, 3167. [Google Scholar] [CrossRef]
- Kerby, D.S. The Simple Difference Formula: An Approach to Teaching Nonparametric Correlation. Compr. Psychol. 2014, 3, 11. [Google Scholar] [CrossRef]
- Thiele, C. cutpointr: Determine and Evaluate Optimal Cutpoints in Binary Classification Tasks. 2021. Available online: https://cran.r-project.org/package=cutpointr (accessed on 1 September 2021).
- Wickham, H. ggplot2: Elegant Graphics for Data Analysis. 2016. Available online: https://ggplot2.tidyverse.org (accessed on 1 September 2021).
- Ignatiadis, M.; Rothé, F.; Chaboteaux, C.; Durbecq, V.; Rouas, G.; Criscitiello, C.; Metallo, J.; Kheddoumi, N.; Singhal, S.K.; Michiels, S.; et al. HER2-positive circulating tumor cells in breast cancer. PLoS ONE 2011, 6, e15624. [Google Scholar] [CrossRef]
- Polioudaki, H.; Agelaki, S.; Chiotaki, R.; Politaki, E.; Mavroudis, D.; Matikas, A.; Georgoulias, V.; Theodoropoulos, P.A. Variable expression levels of keratin and vimentin reveal differential EMT status of circulating tumor cells and correlation with clinical characteristics and outcome of patients with metastatic breast cancer. BMC Cancer 2015, 15, 399. [Google Scholar] [CrossRef] [Green Version]
- Wolff, A.C.; Hammond, M.E.H.; Allison, K.H.; Harvey, B.E.; Mangu, P.B.; Bartlett, J.M.S.; Bilous, M.; Ellis, I.O.; Fitzgibbons, P.; Hanna, W.; et al. Human epidermal growth factor receptor 2 testing in breast cancer: American society of clinical oncology/college of American pathologists clinical practice guideline focused update. J. Clin. Oncol. 2018, 36, 2105–2122. [Google Scholar] [CrossRef] [Green Version]
- Bartlett, A.I.; Starcyznski, J.; Robson, T.; MacLellan, A.; Campbell, F.M.; van de Velde, C.J.H.; Hasenburg, A.; Markopoulos, C.; Seynaeve, C.; Rea, D.; et al. Heterogeneous HER2 gene amplification: Impact on patient outcome and a clinically relevant definition. Am. J. Clin. Pathol. 2011, 136, 266–274. [Google Scholar] [CrossRef]
- Filho, O.M.; Viale, G.; Stein, S.; Trippa, L.; Yardley, D.A.; Mayer, I.A.; Abramson, V.G.; Arteaga, C.L.; Spring, L.M.; Waks, A.G.; et al. Impact of HER2 Heterogeneity on Treatment Response of Early-Stage HER2-Positive Breast Cancer: Phase II Neoadjuvant Clinical Trial of T-DM1 Combined with Pertuzumab. Cancer Discov. 2021, 11, 2474–2487. [Google Scholar] [CrossRef]
- Marchiò, C.; Annaratone, L.; Marques, A.; Casorzo, L.; Berrino, E.; Sapino, A. Evolving concepts in HER2 evaluation in breast cancer: Heterogeneity, HER2-low carcinomas and beyond. Semin. Cancer Biol. 2021, 72, 123–135. [Google Scholar] [CrossRef]
- Modi, S.; Park, H.; Murthy, R.K.; Iwata, H.; Tamura, K.; Tsurutani, J.; Moreno-Aspitia, A.; Doi, T.; Sagara, Y.; Redfern, C.; et al. Antitumor activity and safety of trastuzumab deruxtecan in patients with HER2-low–expressing advanced breast cancer: Results from a phase Ib study. J. Clin. Oncol. 2020, 38, 1887–1896. [Google Scholar] [CrossRef]
- Denkert, C.; Seither, F.; Schneeweiss, A.; Link, T.; Blohmer, J.U.; Just, M.; Wimberger, P.; Forberger, A.; Tesch, H.; Jackisch, C.; et al. Clinical and molecular characteristics of HER2-low-positive breast cancer: Pooled analysis of individual patient data from four prospective, neoadjuvant clinical trials. Lancet Oncol. 2021, 22, 1151–1161. [Google Scholar] [CrossRef]
- D’Amico, P.; Gerratana, L.; Shah, A.; Zhang, Q.; Davis, A.; Zhang, Y.; Jacob, S.; Vagia, E.; Behdad, A.; Reduzzi, C.; et al. The HER2 circulating ratio to define HER2 expressing circulating tumor cells in advanced breast cancer. Cancer Res. 2021, 81, PS2-15. [Google Scholar] [CrossRef]







| Cell Line | Total Cells | Negative (%) | 2+ (%) | 3+ (%) | FITC Mean (Mean Intensity) | FITC Median (Mean Intensity) |
|---|---|---|---|---|---|---|
| MDA-MB-231 | 781 | 719 (92%) | 62 (8%) | 0 (0%) | 1.44 | 0 |
| T47D | 919 | 781 (85%) | 138 (15%) | 0 (0%) | 2.94 | 0 |
| MDA-MB-453 | 1024 | 286 (28%) | 735 (72%) | 3 (0%) | 28.85 | 31.23 |
| SKBR3 | 529 | 6 (1%) | 85 (16%) | 438 (83%) | 166.01 | 155.16 |
| Cell Line | Min | 5% | 1st Quantile | Median | Mean | 3rd Quantile | 95% | Max |
|---|---|---|---|---|---|---|---|---|
| MDA-MB-231 | −0.40 | 0.51 | 1.70 | 2.59 | 3.20 | 3.59 | 8.71 | 25.76 |
| T47D | 0.68 | 1.74 | 2.75 | 3.58 | 4.21 | 4.55 | 8.87 | 23.61 |
| MDA-MB-453 | 0.74 | 2.16 | 3.67 | 5.23 | 6.30 | 8.04 | 13.10 | 25.95 |
| SKBR3 | 12.23 | 19.44 | 27.43 | 38.37 | 41.69 | 49.50 | 71.45 | 152.64 |
| Sample | CellSearch/ACCEPT | DEPArray | |||||
|---|---|---|---|---|---|---|---|
| Total CTCs | 0/1+ (%) | 2+/3+ (%) | Total CTCs | 0 | 1+ (%) | 2+/3+ (%) | |
| Pt1 | 34 | 30 (88%) | 4 (12%) | 12 | 7 (58%) | 2 (17%) | 3 (25%) |
| Pt2 | 567 | 484 (85%) | 83 (15%) | 79 | 73 (92%) | 2 (3%) | 4 (5%) |
| Pt3 | 22 | 19 (86%) | 3 (14%) | 11 | 7 (64%) | 2 (18%) | 2 (18%) |
| Pt4 | 21 | 19 (90%) | 2 (10%) | 9 | 7 (78%) | 1 (11%) | 1 (11%) |
Publisher’s Note: MDPI stays neutral with regard to jurisdictional claims in published maps and institutional affiliations. |
© 2021 by the authors. Licensee MDPI, Basel, Switzerland. This article is an open access article distributed under the terms and conditions of the Creative Commons Attribution (CC BY) license (https://creativecommons.org/licenses/by/4.0/).
Share and Cite
D’Amico, P.; Reduzzi, C.; Qiang, W.; Zhang, Y.; Gerratana, L.; Zhang, Q.; Davis, A.A.; Shah, A.N.; Manai, M.; Curigliano, G.; et al. Single-Cells Isolation and Molecular Analysis: Focus on HER2-Low CTCs in Metastatic Breast Cancer. Cancers 2022, 14, 79. https://doi.org/10.3390/cancers14010079
D’Amico P, Reduzzi C, Qiang W, Zhang Y, Gerratana L, Zhang Q, Davis AA, Shah AN, Manai M, Curigliano G, et al. Single-Cells Isolation and Molecular Analysis: Focus on HER2-Low CTCs in Metastatic Breast Cancer. Cancers. 2022; 14(1):79. https://doi.org/10.3390/cancers14010079
Chicago/Turabian StyleD’Amico, Paolo, Carolina Reduzzi, Wenan Qiang, Youbin Zhang, Lorenzo Gerratana, Qiang Zhang, Andrew A. Davis, Ami N. Shah, Maroua Manai, Giuseppe Curigliano, and et al. 2022. "Single-Cells Isolation and Molecular Analysis: Focus on HER2-Low CTCs in Metastatic Breast Cancer" Cancers 14, no. 1: 79. https://doi.org/10.3390/cancers14010079
APA StyleD’Amico, P., Reduzzi, C., Qiang, W., Zhang, Y., Gerratana, L., Zhang, Q., Davis, A. A., Shah, A. N., Manai, M., Curigliano, G., & Cristofanilli, M. (2022). Single-Cells Isolation and Molecular Analysis: Focus on HER2-Low CTCs in Metastatic Breast Cancer. Cancers, 14(1), 79. https://doi.org/10.3390/cancers14010079

