Validation of Pre-/Post-TACE-Predict Models among Patients with Hepatocellular Carcinoma Receiving Transarterial Chemoembolization
Abstract
Simple Summary
Abstract
1. Introduction
2. Materials and Methods
2.1. Patients
2.2. TACE Procedure and Assessment of Treatment Responses
2.3. Calculation of Prognosis Prediction Models after TACE
+ 1.252 × log10 tumor size (cm) + 0.230 × baseline log10 AFP (ng/mL) − 0.0176
× baseline albumin (g/L) + 0.458 × baseline log10 bilirubin (μmol/L)
+ 0.437 × VI (0 = no, 1 = yes) + 0.149 × HBV (0 = no, 1 = yes) + 0.333 × alcohol
(0 = no, 1 = yes) + 0.211 × other cause if not HCV/HBV/alcohol (0 = no, 1 = yes)
+ 1.129 × log10 tumor size (cm) + 0.147 × baseline log10 AFP (ng/mL)
+ 0.750 × baseline log10 bilirubin (μmol/L) + 0.447 × VI (0 = no, 1 = yes)
+ 0.469 × PR (0 = no, 1 = yes) + 1.143 × SD (0 = no, 1 = yes) + 1.354 × PD (0 = no, 1 = yes)
2.4. Statistical Analysis
3. Results
3.1. Baseline Characteristics
3.2. Patient Distributions According to the Prognosis Prediction Model before and after the First TACE
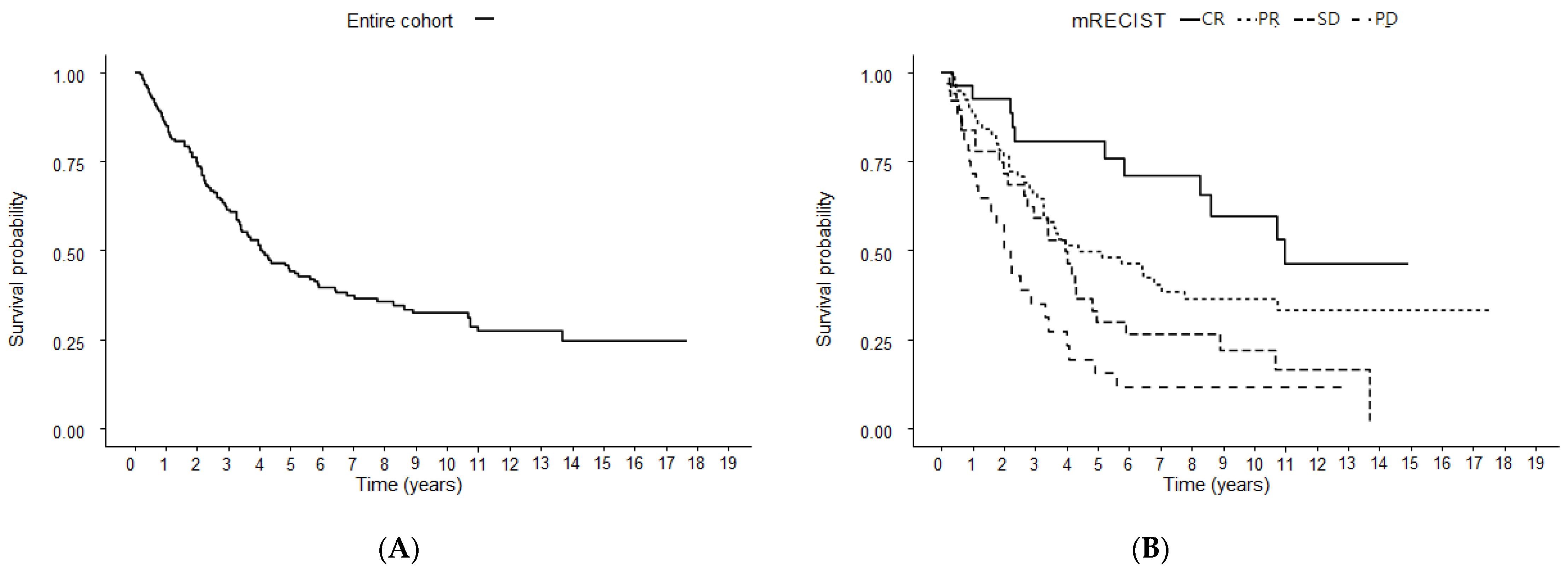
3.3. OS According to Radiological Response after the First TACE
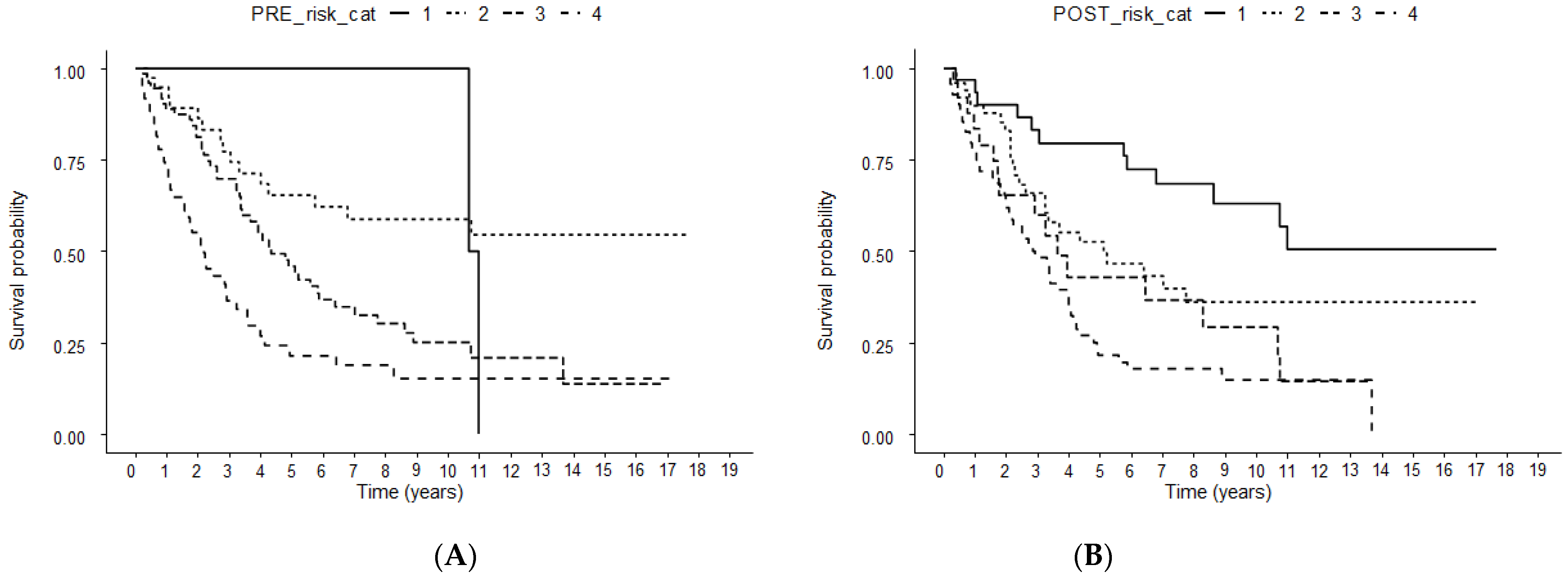
3.4. OS According to the Pre- and Post-TACE-Predict Models
3.5. Comparison of the Predictive Performance between Pre- and Post-TACE-Predict Models
3.6. Comparison of the Predictive Performance among Models with and without Post-TACE Parameters
4. Discussion
5. Conclusions
Author Contributions
Funding
Institutional Review Board Statement
Informed Consent Statement
Data Availability Statement
Conflicts of Interest
References
- El-Serag, H.B. Epidemiology of Viral Hepatitis and Hepatocellular Carcinoma. Gastroenterology 2012, 142, 1264–1273.e1. [Google Scholar] [CrossRef]
- Lee, E.W.; Khan, S. Recent advances in transarterial embolotherapies in the treatment of hepatocellular carcinoma. Clin. Mol. Hepatol. 2017, 23, 265–272. [Google Scholar] [CrossRef]
- Dika, I.E.; Abou-Alfa, G.K. Treatment options after sorafenib failure in patients with hepatocellular carcinoma. Clin. Mol. Hepatol. 2017, 23, 273–279. [Google Scholar] [CrossRef] [PubMed]
- Kim, J.H.; Sinn, D.H.; Shin, S.W.; Cho, S.K.; Kang, W.; Gwak, G.-Y.; Paik, Y.-H.; Lee, J.H.; Koh, K.C.; Paik, S.W.; et al. The role of scheduled second TACE in early-stage hepatocellular carcinoma with complete response to initial TACE. Clin. Mol. Hepatol. 2017, 23, 42–50. [Google Scholar] [CrossRef][Green Version]
- Llovet, J.M.; Real, M.I.; Montaña, X.; Planas, R.; Coll, S.; Aponte, J.; Ayuso, C.; Sala, M.; Muchart, J.; Solà, R.; et al. Arterial embolisation or chemoembolisation versus symptomatic treatment in patients with unresectable hepatocellular carcinoma: A randomised controlled trial. Lancet 2002, 359, 1734–1739. [Google Scholar] [CrossRef]
- Lo, C.-M.; Ngan, H.; Tso, W.-K.; Liu, C.-L.; Lam, C.-M.; Poon, R.T.; Fan, S.-T.; Wong, J. Randomized controlled trial of transarterial lipiodol chemoembolization for unresectable hepatocellular carcinoma. Hepatology 2002, 35, 1164–1171. [Google Scholar] [CrossRef] [PubMed]
- Bruix, J.; Sherman, M. Management of hepatocellular carcinoma: An update. Hepatology 2011, 53, 1020–1022. [Google Scholar] [CrossRef] [PubMed]
- European Association For The Study Of The Liver. Easl-eortc clinical practice guidelines: Management of hepatocellular carcinoma. J. Hepatol. 2012, 56, 908–943. [Google Scholar] [CrossRef]
- Baek, M.Y.; Yoo, J.-J.; Jeong, S.W.; Jang, J.Y.; Kim, Y.K.; Jeong, S.O.; Lee, S.H.; Kim, S.G.; Cha, S.-W.; Kim, Y.S.; et al. Clinical outcomes of patients with a single hepatocellular carcinoma less than 5 cm treated with transarterial chemoembolization. Korean J. Intern. Med. 2019, 34, 1223–1232. [Google Scholar] [CrossRef]
- Lee, D.; Lee, H.C.; An, J.; Shim, J.H.; Kim, K.M.; Lim, Y.-S.; Chung, Y.-H.; Lee, Y.S. Comparison of surgical resection versus transarterial chemoembolization with additional radiation therapy in patients with hepatocellular carcinoma with portal vein invasion. Clin. Mol. Hepatol. 2018, 24, 144–150. [Google Scholar] [CrossRef]
- Lee, J.S.; Kim, B.K.; Kim, S.U.; Park, J.Y.; Ahn, S.H.; Seong, J.S.; Han, K.H.; Kim, D.Y. A survey on transarterial che-moembolization refractoriness and a real-world treatment pattern for hepatocellular carcinoma in korea. Clin. Mol. Hepatol. 2020, 26, 24–32. [Google Scholar] [CrossRef] [PubMed]
- Trevisani, F.; Golfieri, R. Lipiodol transarterial chemoembolization for hepatocellular carcinoma: Where are we now? Hepatology 2016, 64, 23–25. [Google Scholar] [CrossRef] [PubMed]
- Kim, D.S.; Lim, T.S.; Jeon, M.Y.; Kim, B.K.; Park, J.Y.; Kim, D.Y.; Ahn, S.H.; Han, K.-H.; Baatarkhuu, O.; Kim, S.U. Transarterial Chemoembolization in Treatment-Naïve and Recurrent Hepatocellular Carcinoma: A Propensity-Matched Outcome Analysis. Dig. Dis. Sci. 2019, 64, 3660–3668. [Google Scholar] [CrossRef] [PubMed]
- Kadalayil, L.; Benini, R.; Pallan, L.; O’Beirne, J.; Marelli, L.; Yu, D.; Hackshaw, A.; Fox, R.; Johnson, P.; Burroughs, A.K.; et al. A simple prognostic scoring system for patients receiving transarterial embolisation for hepatocellular cancer. Ann. Oncol. 2013, 24, 2565–2570. [Google Scholar] [CrossRef] [PubMed]
- Park, Y.; Kim, S.U.; Kim, B.K.; Park, J.Y.; Kim, D.Y.; Ahn, S.H.; Park, Y.E.; Park, J.H.; Lee, Y.I.; Yun, H.-R.; et al. Addition of tumor multiplicity improves the prognostic performance of the hepatoma arterial-embolization prognostic score. Liver Int. 2016, 36, 100–107. [Google Scholar] [CrossRef]
- Kim, B.K.; Shim, J.H.; Kim, S.U.; Park, J.Y.; Kim, D.Y.; Ahn, S.H.; Kim, K.M.; Lim, Y.-S.; Han, K.-H.; Lee, H.C. Risk prediction for patients with hepatocellular carcinoma undergoing chemoembolization: Development of a prediction model. Liver Int. 2016, 36, 92–99. [Google Scholar] [CrossRef]
- Han, G.; Berhane, S.; Toyoda, H.; Bettinger, D.; Elshaarawy, O.; Chan, A.W.H.; Kirstein, M.; Mosconi, C.; Hucke, F.; Palmer, D.; et al. Prediction of survival among patients receiving transarterial chemoembolization for hepatocellular car-cinoma: A response-based approach. Hepatology 2020, 72, 198–212. [Google Scholar] [CrossRef]
- Lencioni, R.; Llovet, J.M. Modified RECIST (mRECIST) Assessment for Hepatocellular Carcinoma. Semin. Liver Dis. 2010, 30, 52–60. [Google Scholar] [CrossRef] [PubMed]
- Royston, P.; Altman, D.G. External validation of a Cox prognostic model: Principles and methods. BMC Med. Res. Methodol. 2013, 13, 33. [Google Scholar] [CrossRef]
- Steyerberg, E.W.; Vickers, A.J.; Cook, N.R.; Gerds, T.; Gonen, M.; Obuchowski, N.; Pencina, M.J.; Kattan, M.W. Assessing the performance of prediction models: A framework for traditional and novel measures. Epidemiology 2010, 21, 128–138. [Google Scholar] [CrossRef]
- European Association For The Study Of The Liver. Easl clinical practice guidelines: Management of hepatocellular carcinoma. J. Hepatol. 2018, 69, 182–236. [Google Scholar] [CrossRef]
- Kim, Y.; Lee, H.A.; Lee, J.S.; Jeon, M.Y.; Kim, B.K.; Park, J.Y.; Kim, D.Y.; Ahn, S.H.; Um, S.H.; Seo, Y.S.; et al. Association between curative treatment after transarterial radioembolization and better survival outcomes in patients with hepato-cellular carcinoma. Cancer Investig. 2021, 39, 274–283. [Google Scholar] [CrossRef] [PubMed]
- Han, S.; Lee, H.W.; Park, J.Y.; Kim, S.U.; Kim, D.Y.; Ahn, S.H.; Han, K.-H.; Seong, J.; Won, J.Y.; Han, D.H.; et al. Appraisal of Long-Term Outcomes of Liver-Directed Concurrent Chemoradiotherapy for Hepatocellular Carcinoma with Major Portal Vein Invasion. J. Hepatocell. Carcinoma 2020, 7, 403–412. [Google Scholar] [CrossRef] [PubMed]
- Golfieri, R.; Bargellini, I.; Spreafico, C.; Trevisani, F. Patients with Barcelona Clinic Liver Cancer Stages B and C Hepatocellular Carcinoma: Time for a Subclassification. Liver Cancer 2019, 8, 78–91. [Google Scholar] [CrossRef] [PubMed]
- Bolondi, L.; Burroughs, A.; Dufour, J.F.; Galle, P.R.; Mazzaferro, V.; Piscaglia, F.; Raoul, J.L.; Sangro, B. Heterogeneity of patients with intermediate (bclc b) hepatocellular carcinoma: Proposal for a subclassification to facilitate treatment deci-sions. Semin. Liver Dis. 2012, 32, 348–359. [Google Scholar] [PubMed]
- Ogasawara, S.; Ooka, Y.; Koroki, K.; Maruta, S.; Kanzaki, H.; Kanayama, K.; Kobayashi, K.; Kiyono, S.; Nakamura, M.; Kanogawa, N.; et al. Switching to systemic therapy after locoregional treatment failure: Definition and best timing. Clin. Mol. Hepatol. 2020, 26, 155–162. [Google Scholar] [CrossRef] [PubMed]
- Torimura, T.; Iwamoto, H. Optimizing the management of intermediate-stage hepatocellular carcinoma: Current trends and prospects. Clin. Mol. Hepatol. 2021, 27, 236–245. [Google Scholar] [CrossRef]
- Spangenberg, H.C.; Thimme, R.; Blum, H.E. Serum Markers of Hepatocellular Carcinoma. Semin. Liver Dis. 2006, 26, 385–390. [Google Scholar] [CrossRef]
- Tsuchiya, N.; Sawada, Y.; Endo, I.; Saito, K.; Uemura, Y.; Nakatsura, T. Biomarkers for the early diagnosis of hepatocellular carcinoma. World J. Gastroenterol. 2015, 21, 10573–10583. [Google Scholar] [CrossRef] [PubMed]
- Lee, J.M.; Yoon, J.-H.; Kim, K.W. Diagnosis of Hepatocellular Carcinoma: Newer Radiological Tools. Semin. Oncol. 2012, 39, 399–409. [Google Scholar] [CrossRef] [PubMed]
- Bruegel, M.; Holzapfel, K.; Gaa, J.; Woertler, K.; Waldt, S.; Kiefer, B.; Stemmer, A.; Ganter, C.; Rummeny, E.J. Character-ization of focal liver lesions by adc measurements using a respiratory triggered diffusion-weighted single-shot echo-planar mr imaging technique. Eur. Radiol. 2008, 18, 477–485. [Google Scholar] [CrossRef] [PubMed]
- Parikh, T.; Drew, S.J.; Lee, V.S.; Wong, S.; Hecht, E.M.; Babb, J.S.; Taouli, B. Focal Liver Lesion Detection and Characterization with Diffusion-weighted MR Imaging: Comparison with Standard Breath-hold T2-weighted Imaging. Radiology 2008, 246, 812–822. [Google Scholar] [CrossRef] [PubMed]



| Models Based upon Only Pre-Treatment Factors | Models Based upon 1st TACE Response | |||
|---|---|---|---|---|
| Variables | HAP score * | mHAP-II score * | Variables | SNACOR score * |
| Tumor size (>7 cm) | 1 | 1 | Tumor size (≥5 cm) | 1 |
| Tumor number (≥2) | N/A | 1 | Tumor number (≥4) | 2 |
| AFP (>400 ng/mL) | 1 | 1 | AFP (>400 ng/mL) | 3 |
| Total bilirubin (>0.9 mg/dL) | 1 | 1 | Child-Pugh class B | 1 |
| Serum albumin (<3.6 g/dL) | 1 | 1 | Objective response (SD or PD) | 3 |
| Variables | Values |
|---|---|
| Demographic variables | |
| Age, years | 59 (53–66) |
| Male gender | 136 (72.7) |
| Etiology | |
| HBV/HCV/others | 127 (67.9)/31 (16.6)/29 (15.5) |
| Liver cirrhosis Child-Pugh class | 128 (66.8) |
| A/B | 174 (93.0)/13 (7.0) |
| ALBI grade | |
| 1/2/3 | 105 (56.1)/81 (43.3)/1 (0.5) |
| Tumor variables | |
| BCLC stage | |
| A/B/C | 89 (47.6)/84 (44.9)/14 (7.5) |
| Tumor size, cm | 2.9 (1.9–5.1) |
| Tumor number | 2.0 (1.0–3.0) |
| Unifocal/Multifocal | 93 (49.7)/94 (50.3) |
| Segmental PVT invasion | 14 (7.5) |
| Laboratory variables | |
| Alpha-fetoprotein, ng/mL | 136.1 (24.2–541.9) |
| Total bilirubin, mg/dL | 0.7 (0.5–1.0) |
| Serum albumin, g/dL | 4.0 (3.5–4.4) |
| Aspartate aminotransferase, IU/L | 49 (35–76) |
| Prothrombin time, INR | 1.05 (0.98–1.12) |
| Serum creatinine, mg/dL | 0.9 (0.8–1.0) |
| Prognosis prediction models | |
| Pre-TACE model | |
| 1/2/3/4 | 4 (2.1)/40 (21.4)/78 (41.7)/65 (34.8) |
| HAP score | |
| A/B/C/D | 61 (32.6)/77 (41.2)/39 (20.9)/10 (5.3) |
| Modified HAP-II score | |
| A/B/C/D | 34 (18.2)/64 (34.2)/60 (32.1)/29 (15.5) |
| Variables | n (%) |
|---|---|
| Treatment response | |
| Complete response | 28 (15.0) |
| Partial response | 81 (43.3) |
| Stable disease | 41 (21.9) |
| Progressive disease | 37 (19.8) |
| Risk assessment | |
| Post-TACE score | |
| 1/2/3/4 | 31 (16.6)/51 (27.3)/27 (14.4)/78 (41.7) |
| SNACOR score | |
| Low/Intermediate/High-risk | 98 (52.4)/80 (42.8)/9 (4.8) |
| Statistical Parameters | Pre-TACE Score | Post-TACE Score | Difference in Values between Models |
|---|---|---|---|
| Harrell’s C index | 0.6494 (0.5917, 0.6994) | 0.6343 (0.5784, 0.6836) | 0.0151 (−0.0451, 0.0712) |
| Gönen & Heller’s K | 0.6289 (0.5791, 0.6753) | 0.6250 (0.5785, 0.6685) | 0.0039 (−0.0554, 0.0589) |
| Royston-Sauerbrei’s R2 | 0.1699 (0.0644, 0.2924) | 0.1560 (0.0617, 0.2673) | 0.0138 (−0.1318, 0.1471) |
| Homogeneity | 24.74 | 24.15 | N/A |
| Discriminatory ability | 22.83 | 21.34 | N/A |
| Akaike information criterion | 929.6383 | 930.2264 | N/A |
| Time Point | Death/Number of Patients Analyzed | iAUC (95% CI) | Difference in iAUCs | |
|---|---|---|---|---|
| Pre-TACE-Predict | Post-TACE-Predict | |||
| 1 year | 25/187 | 0.685 (0.593, 0.772) | 0.659 (0.580, 0.742) | 0.026 (−0.071, 0.109) |
| 2 years | 42/187 | 0.673 (0.599, 0.748) | 0.641 (0.572, 0.709) | 0.032 (−0.045, 0.100) |
| 3 years | 62/187 | 0.659 (0.597, 0.719) | 0.624 (0.564, 0.688) | 0.036 (−0.033, 0.099) |
| Time Point | Death/Total Patients | iAUC (95% CI) | Difference in iAUCs * | Difference in iAUCs ** | ||
|---|---|---|---|---|---|---|
| From the Baseline | ||||||
| Pre-TACE-Predict | HAP | mHAP-II | ||||
| 1 year | 25/187 | 0.685 (0.593, 0.772) | 0.720 (0.627, 0.809) | 0.767 (0.683, 0.847) | −0.035 (−0.146, 0.065) | −0.082 (−0.170, −0.002) |
| 2 year | 42/187 | 0.673 (0.599, 0.748) | 0.652 (0.578, 0.724) | 0.718 (0.652, 0.785) | 0.026 (−0.069, 0.107) | −0.044 (−0.117, 0.031) |
| 3 year | 62/187 | 0.659 (0.597, 0.719) | 0.634 (0.571, 0.695) | 0.703 (0.647, 0.757) | 0.025 (−0.045, 0.097) | −0.043 (−0.105, 0.016) |
| Time point | Death/total patients | After the 1st TACE | Difference in iAUCs | |||
| Post-TACE-Predict | SNACOR | |||||
| 1 year | 25/187 | 0.659 (0.580, 0.742) | 0.778 (0.687, 0.866) | 0.119 (0.008, 0.223) | ||
| 2 year | 42/187 | 0.641 (0.572, 0.709) | 0.698 (0.622, 0.773) | 0.057 (−0.035, 0.152) | ||
| 3 year | 62/187 | 0.624 (0.564, 0.688) | 0.707 (0.646, 0.770) | 0.084 (0.001, 0.161) | ||
Publisher’s Note: MDPI stays neutral with regard to jurisdictional claims in published maps and institutional affiliations. |
© 2021 by the authors. Licensee MDPI, Basel, Switzerland. This article is an open access article distributed under the terms and conditions of the Creative Commons Attribution (CC BY) license (https://creativecommons.org/licenses/by/4.0/).
Share and Cite
Kim, D.S.; Kim, B.K.; Lee, J.S.; Lee, H.W.; Park, J.Y.; Kim, D.Y.; Ahn, S.H.; Kim, S.U. Validation of Pre-/Post-TACE-Predict Models among Patients with Hepatocellular Carcinoma Receiving Transarterial Chemoembolization. Cancers 2022, 14, 67. https://doi.org/10.3390/cancers14010067
Kim DS, Kim BK, Lee JS, Lee HW, Park JY, Kim DY, Ahn SH, Kim SU. Validation of Pre-/Post-TACE-Predict Models among Patients with Hepatocellular Carcinoma Receiving Transarterial Chemoembolization. Cancers. 2022; 14(1):67. https://doi.org/10.3390/cancers14010067
Chicago/Turabian StyleKim, David Sooik, Beom Kyung Kim, Jae Seung Lee, Hye Won Lee, Jun Yong Park, Do Young Kim, Sang Hoon Ahn, and Seung Up Kim. 2022. "Validation of Pre-/Post-TACE-Predict Models among Patients with Hepatocellular Carcinoma Receiving Transarterial Chemoembolization" Cancers 14, no. 1: 67. https://doi.org/10.3390/cancers14010067
APA StyleKim, D. S., Kim, B. K., Lee, J. S., Lee, H. W., Park, J. Y., Kim, D. Y., Ahn, S. H., & Kim, S. U. (2022). Validation of Pre-/Post-TACE-Predict Models among Patients with Hepatocellular Carcinoma Receiving Transarterial Chemoembolization. Cancers, 14(1), 67. https://doi.org/10.3390/cancers14010067

