DNA Methylation in INA, NHLH2, and THBS4 Is Associated with Metastatic Disease in Renal Cell Carcinoma
Abstract
Simple Summary
Abstract
1. Introduction
2. Materials and Methods
2.1. In Silico Analysis to Identify Candidate Loci
2.2. Study Design
2.3. Study Cohort
2.4. Nucleic Acid Extraction and DNA Bisulfite Conversion
2.5. DNA Methylation Analysis
2.6. Statistical Analysis
3. Results
3.1. In Silico Identification of Metastasis-Associated Methylated Loci Using KIRC Data
3.2. Association of INA, NHLH2, and THBS4 CpG Site Methylation with Adverse Clinicopathological Parameters and Worse PFS
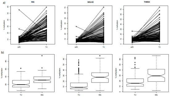
3.3. INA, NHLH2, and THBS4 Associated Candidate Loci Exhibit Tissue-Specific Hypermethylation in Tumor and Metastatic Tissues
3.4. Combined CpG Site-Specific DNA Methylation Is Informative of the Metastatic Disease State in Unsupervised and Supervised Statistical Analysis
4. Discussion
5. Conclusions
Supplementary Materials
Author Contributions
Funding
Institutional Review Board Statement
Informed Consent Statement
Data Availability Statement
Conflicts of Interest
References
- Capitanio, U.; Bensalah, K.; Bex, A.; Boorjian, S.A.; Bray, F.; Coleman, J.; Gore, J.L.; Sun, M.; Wood, C.; Russo, P. Epidemiology of renal cell carcinoma. Eur. Urol. 2019, 75, 74–84. [Google Scholar] [CrossRef] [PubMed]
- Rossi, S.H.; Klatte, T.; Usher-Smith, J.; Stewart, G.D. Epidemiology and screening for renal cancer. World J. Urol. 2018, 36, 1341–1353. [Google Scholar] [CrossRef]
- Graham, J.; Heng, D.Y.C.; Brugarolas, J.; Vaishampayan, U. Personalized management of advanced kidney cancer. Am. Soc. Clin. Oncol. Educ. Book 2018, 38, 330–341. [Google Scholar] [CrossRef] [PubMed]
- Patel, H.D.; Gupta, M.; Joice, G.A.; Srivastava, A.; Alam, R.; Allaf, M.E.; Pierorazio, P.M. Clinical stage migration and survival for renal cell carcinoma in the United States. Eur. Urol. Oncol. 2019, 2, 343–348. [Google Scholar] [CrossRef] [PubMed]
- Kotecha, R.R.; Motzer, R.J.; Voss, M.H. Towards individualized therapy for metastatic renal cell carcinoma. Nat. Rev. Clin. Oncol. 2019, 16, 621–633. [Google Scholar] [CrossRef] [PubMed]
- Klatte, T.; Rossi, S.H.; Stewart, G.D. Prognostic factors and prognostic models for renal cell carcinoma: A literature review. World J. Urol. 2018, 36, 1943–1952. [Google Scholar] [CrossRef] [PubMed]
- Brunelli, M.; Eccher, A.; Gobbo, S.; Ficarra, V.; Novara, G.; Cossu-Rocca, P.; Bonetti, F.; Menestrina, F.; Cheng, L.; Eble, J.N.; et al. Loss of chromosome 9p is an independent prognostic factor in patients with clear cell renal cell carcinoma. Mod. Pathol. 2008, 21, 1–6. [Google Scholar] [CrossRef]
- Di Nunno, V.; Mollica, V.; Brunelli, M.; Gatto, L.; Schiavina, R.; Fiorentino, M.; Santoni, M.; Montironi, R.; Caliò, A.; Eccher, A.; et al. A meta-analysis evaluating clinical outcomes of patients with renal cell carcinoma harboring chromosome 9P loss. Mol. Diagn. Ther. 2019, 23, 569–577. [Google Scholar] [CrossRef] [PubMed]
- Morris, M.R.; Maher, E.R. Epigenetics of renal cell carcinoma: The path towards new diagnostics and therapeutics. Genome Med. 2010, 2, 59. [Google Scholar] [CrossRef]
- Choueiri, T.K.; Tomczak, P.; Park, S.H.; Venugopal, B.; Ferguson, T.; Chang, Y.-H.; Hajek, J.; Symeonides, S.N.; Lee, J.L.; Sarwar, N.; et al. Adjuvant pembrolizumab after nephrectomy in renal-cell carcinoma. N. Engl. J. Med. 2021, 385, 683–694. [Google Scholar] [CrossRef] [PubMed]
- Mancini, M.; Righetto, M.; Noessner, E. Checkpoint inhibition in bladder cancer: Clinical expectations, current evidence, and proposal of future strategies based on a tumor-specific immunobiological approach. Cancers 2021, 13, 6016. [Google Scholar] [CrossRef] [PubMed]
- The Cancer Genome Atlas Research Network. Comprehensive molecular characterization of clear cell renal cell carcinoma. Nature 2013, 499, 43–49. [Google Scholar] [CrossRef] [PubMed]
- The Cancer Genome Atlas Research Network. Comprehensive molecular characterization of papillary renal-cell carcinoma. N. Engl. J. Med. 2016, 374, 135–145. [Google Scholar] [CrossRef] [PubMed]
- Ricketts, C.J.; De Cubas, A.A.; Fan, H.; Smith, C.C.; Lang, M.; Reznik, E.; Bowlby, R.; Gibb, E.A.; Akbani, R.; Beroukhim, R.; et al. The cancer genome atlas comprehensive molecular characterization of renal cell carcinoma. Cell Rep. 2018, 23, 313–326. [Google Scholar] [CrossRef] [PubMed]
- Morris, M.R.; Ricketts, C.; Gentle, D.; Abdulrahman, M.; Clarke, N.; Brown, M.; Kishida, T.; Yao, M.; Latif, F.; Maher, E.R. Identification of candidate tumour suppressor genes frequently methylated in renal cell carcinoma. Oncogene 2010, 29, 2104–2117. [Google Scholar] [CrossRef]
- Peters, I.; Dubrowinskaja, N.; Hennenlotter, J.; Antonopoulos, W.; Von Klot, C.; Tezval, H.; Stenzl, A.; Kuczyk, M.; Serth, J. DNA methylation of neural EGFL like 1 (NELL1) is associated with advanced disease and the metastatic state of renal cell cancer patients. Oncol. Rep. 2018, 40, 3861–3868. [Google Scholar] [CrossRef]
- Peters, I.; Gebauer, K.; Dubrowinskaja, N.; Atschekzei, F.; Kramer, M.W.; Hennenlotter, J.; Tezval, H.; Abbas, M.; Scherer, R.; Merseburger, A.S.; et al. GATA5 CpG island hypermethylation is an independent predictor for poor clinical outcome in renal cell carcinoma. Oncol. Rep. 2014, 31, 1523–1530. [Google Scholar] [CrossRef]
- Tezval, H.; Dubrowinskaja, N.; Peters, I.; Reese, C.; Serth, K.; Atschekzei, F.; Hennenlotter, J.; Stenzl, A.; Kuczyk, M.A.; Serth, J. Tumor specific epigenetic silencing of corticotropin releasing hormone-binding protein in renal cell carcinoma: Association of hypermethylation and metastasis. PLoS ONE 2016, 11, e0163873. [Google Scholar] [CrossRef]
- Katzendorn, O.; Peters, I.; Dubrowinskaja, N.; Tezval, H.; Tabrizi, P.F.; von Klot, C.A.; Hennenlotter, J.; Lafos, M.; Kuczyk, M.A.; Serth, J. DNA Methylation of tumor associated calcium signal transducer 2 (TACSTD2) loci shows association with clinically aggressive renal cell cancers. BMC Cancer 2021, 21, 444. [Google Scholar] [CrossRef]
- Costa, V.L.; Henrique, R.; Ribeiro, F.R.; Pinto, M.; Oliveira, J.; Lobo, F.; Teixeira, M.R.; Jerónimo, C. Quantitative promoter methylation analysis of multiple cancer-related genes in renal cell tumors. BMC Cancer 2007, 7, 133. [Google Scholar] [CrossRef]
- Serth, J.; Peters, I.; Dubrowinskaja, N.; Reese, C.; Albrecht, K.; Klintschar, M.; Lafos, M.; Grote, A.; Becker, A.; Hennenlotter, J.; et al. Age-, tumor-, and metastatic tissue-associated DNA hypermethylation of a T-box brain 1 locus in human kidney tissue. Clin. Epigenet. 2020, 12, 33. [Google Scholar] [CrossRef]
- Atschekzei, F.; Hennenlotter, J.; Jänisch, S.; Großhennig, A.; Tränkenschuh, W.; Waalkes, S.; Peters, I.; Dörk, T.; Merseburger, A.S.; Stenzl, A.; et al. SFRP1 CpG island methylation locus is associated with renal cell cancer susceptibility and disease recurrence. Epigenetics 2012, 7, 447–457. [Google Scholar] [CrossRef]
- Gebauer, K.; Peters, I.; Dubrowinskaja, N.; Hennenlotter, J.; Abbas, M.; Scherer, R.; Tezval, H.; Merseburger, A.S.; Stenzl, A.; Kuczyk, M.A.; et al. Hsa-Mir-124-3 CpG island methylation is associated with advanced tumours and disease recurrence of patients with clear cell renal cell carcinoma. Br. J. Cancer 2013, 108, 131–138. [Google Scholar] [CrossRef] [PubMed]
- Deckers, I.A.G.; Schouten, L.J.; Van Neste, L.; van Vlodrop, I.J.H.; Soetekouw, P.M.M.B.; Baldewijns, M.M.L.L.; Jeschke, J.; Ahuja, N.; Herman, J.G.; van den Brandt, P.A.; et al. Promoter methylation of CDO1 identifies clear-cell renal cell cancer patients with poor survival outcome. Clin. Cancer Res. 2015, 21, 3492–3500. [Google Scholar] [CrossRef]
- Van Vlodrop, I.J.H.; Joosten, S.C.; Meyer, T.D.; Smits, K.M.; Neste, L.V.; Melotte, V.; Baldewijns, M.M.L.L.; Schouten, L.J.; van den Brandt, P.A.; Jeschke, J.; et al. A four-gene promoter methylation marker panel consisting of GREM1, NEURL, LAD1, and NEFH predicts survival of clear cell renal cell cancer patients. Clin. Cancer Res. 2017, 23, 2006–2018. [Google Scholar] [CrossRef] [PubMed]
- Peters, I.; Dubrowinskaja, N.; Abbas, M.; Seidel, C.; Kogosov, M.; Scherer, R.; Gebauer, K.; Merseburger, A.S.; Kuczyk, M.A.; Grünwald, V.; et al. DNA methylation biomarkers predict progression-free and overall survival of metastatic renal cell cancer (MRCC) treated with antiangiogenic therapies. PLoS ONE 2014, 9, e91440. [Google Scholar] [CrossRef]
- Dubrowinskaja, N.; Gebauer, K.; Peters, I.; Hennenlotter, J.; Abbas, M.; Scherer, R.; Tezval, H.; Merseburger, A.S.; Stenzl, A.; Grünwald, V.; et al. Neurofilament heavy polypeptide CpG island methylation associates with prognosis of renal cell carcinoma and prediction of antivascular endothelial growth factor therapy response. Cancer Med. 2014, 3, 300–309. [Google Scholar] [CrossRef] [PubMed]
- Joosten, S.C.; Deckers, I.A.; Aarts, M.J.; Hoeben, A.; van Roermund, J.G.; Smits, K.M.; Melotte, V.; van Engeland, M.; Tjan-Heijnen, V.C. Prognostic DNA methylation markers for renal cell carcinoma: A systematic REVIEW. Epigenomics 2017, 9, 1243–1257. [Google Scholar] [CrossRef] [PubMed]
- Peters, I.; Merseburger, A.S.; Tezval, H.; Lafos, M.; Tabrizi, P.F.; Mazdak, M.; Wolters, M.; Kuczyk, M.A.; Serth, J.; von Klot, C.-A.J. The prognostic value of DNA methylation markers in renal cell cancer: A systematic review. KCA 2020, 4, 3–13. [Google Scholar] [CrossRef]
- Yuan, A.; Rao, M.V.; Sasaki, T.; Chen, Y.; Kumar, A.; Veeranna, N.; Liem, R.K.H.; Eyer, J.; Peterson, A.C.; Julien, J.-P.; et al. Alpha-internexin is structurally and functionally associated with the neurofilament triplet proteins in the mature CNS. J. Neurosci. 2006, 26, 10006–10019. [Google Scholar] [CrossRef]
- Yuan, A.; Rao, M.V.; Veeranna, N.; Nixon, R.A. Neurofilaments and neurofilament proteins in health and disease. Cold Spring Harb. Perspect. Biol. 2017, 9, a018309. [Google Scholar] [CrossRef]
- Ducray, F.; Mokhtari, K.; Crinière, E.; Idbaih, A.; Marie, Y.; Dehais, C.; Paris, S.; Carpentier, C.; Dieme, M.-J.; Adam, C.; et al. Diagnostic and prognostic value of alpha internexin expression in a series of 409 gliomas. Eur. J. Cancer 2011, 47, 802–808. [Google Scholar] [CrossRef] [PubMed]
- Suh, J.H.; Park, C.-K.; Park, S.-H. Alpha internexin expression related with molecular characteristics in adult glioblastoma and oligodendroglioma. J. Korean Med. Sci. 2013, 28, 593–601. [Google Scholar] [CrossRef] [PubMed]
- Wang, Y.; Chen, Y.; Li, X.; Hu, W.; Zhang, Y.; Chen, L.; Chen, M.; Chen, J. Loss of expression and prognosis value of alpha-internexin in gastroenteropancreatic neuroendocrine neoplasm. BMC Cancer 2018, 18, 691. [Google Scholar] [CrossRef]
- Song, Y.-L.; Yu, R.; Qiao, X.-W.; Bai, C.-M.; Lu, C.-M.; Xiao, Y.; Zhong, D.-R.; Chen, J.; Zhao, Y.-P.; Zhang, T.-P.; et al. Prognostic relevance of UCH-L1 and α-internexin in pancreatic neuroendocrine tumors. Sci. Rep. 2017, 7, 2205. [Google Scholar] [CrossRef]
- Li, Y.; Bai, L.; Yu, H.; Cai, D.; Wang, X.; Huang, B.; Peng, S.; Huang, M.; Cao, G.; Kaz, A.M.; et al. Epigenetic inactivation of α-internexin accelerates microtubule polymerization in colorectal cancer. Cancer Res. 2020, 80, 5203–5215. [Google Scholar] [CrossRef] [PubMed]
- Murre, C.; Bain, G.; van Dijk, M.A.; Engel, I.; Furnari, B.A.; Massari, M.E.; Matthews, J.R.; Quong, M.W.; Rivera, R.R.; Stuiver, M.H. Structure and function of helix-loop-helix proteins. Biochim. Biophys. Acta (BBA)—Gene Struct. Express. 1994, 1218, 129–135. [Google Scholar] [CrossRef]
- Atchley, W.R.; Fitch, W.M. A natural classification of the basic helix-loop-helix class of transcription factors. Proc. Natl. Acad. Sci. USA 1997, 94, 5172–5176. [Google Scholar] [CrossRef]
- Leon, S.; Talbi, R.; McCarthy, E.A.; Ferrari, K.; Fergani, C.; Naule, L.; Choi, J.H.; Carroll, R.S.; Kaiser, U.B.; Aylwin, C.F.; et al. Sex-specific pubertal and metabolic regulation of kiss1 neurons via Nhlh2. eLife 2021, 10, e69765. [Google Scholar] [CrossRef]
- AL Rayyan, N.; Zhang, J.; Burnside, A.S.; Good, D.J. Leptin signaling regulates hypothalamic expression of nescient helix-loop-helix 2 (Nhlh2) through signal transducer and activator 3 (Stat3). Mol. Cell. Endocrinol. 2014, 384, 134–142. [Google Scholar] [CrossRef][Green Version]
- Aoyama, M.; Ozaki, T.; Inuzuka, H.; Tomotsune, D.; Hirato, J.; Okamoto, Y.; Tokita, H.; Ohira, M.; Nakagawara, A. LMO3 interacts with neuronal transcription factor, HEN2, and acts as an oncogene in neuroblastoma. Cancer Res. 2005, 65, 4587–4597. [Google Scholar] [CrossRef]
- Adams, J.C.; Lawler, J. The Thrombospondins. Cold Spring Harb. Perspect. Biol. 2011, 3, a009712. [Google Scholar] [CrossRef] [PubMed]
- Muppala, S.; Xiao, R.; Krukovets, I.; Verbovetsky, D.; Yendamuri, R.; Habib, N.; Raman, P.; Plow, E.; Stenina-Adognravi, O. Thrombospondin-4 mediates TGF-β-induced angiogenesis. Oncogene 2017, 36, 5189–5198. [Google Scholar] [CrossRef] [PubMed]
- Liu, J.; Cheng, G.; Yang, H.; Deng, X.; Qin, C.; Hua, L.; Yin, C. Reciprocal regulation of long noncoding RNAs THBS4-003 and THBS4 control migration and invasion in prostate cancer cell lines. Mol. Med. Rep. 2016, 14, 1451–1458. [Google Scholar] [CrossRef] [PubMed]
- Su, F.; Zhao, J.; Qin, S.; Wang, R.; Li, Y.; Wang, Q.; Tan, Y.; Jin, H.; Zhu, F.; Ou, Y.; et al. Over-expression of thrombospondin 4 correlates with loss of MiR-142 and contributes to migration and vascular invasion of advanced hepatocellular carcinoma. Oncotarget 2017, 8, 23277–23288. [Google Scholar] [CrossRef]
- Kim, M.S.; Choi, H.S.; Wu, M.; Myung, J.; Kim, E.J.; Kim, Y.S.; Ro, S.; Ha, S.E.; Bartlett, A.; Wei, L.; et al. Potential role of PDGFRβ-associated THBS4 in colorectal cancer development. Cancers 2020, 12, 2533. [Google Scholar] [CrossRef]
- Kuroda, K.; Horiguchi, A.; Asano, T.; Ito, K.; Asakuma, J.; Sato, A.; Yoshii, H.; Hayakawa, M.; Sumitomo, M.; Asano, T. Glucose-regulated protein 78 positivity as a predictor of poor survival in patients with renal cell carcinoma. Urol. Int. 2011, 87, 450–456. [Google Scholar] [CrossRef]
- Greco, S.A.; Chia, J.; Inglis, K.J.; Cozzi, S.-J.; Ramsnes, I.; Buttenshaw, R.L.; Spring, K.J.; Boyle, G.M.; Worthley, D.L.; Leggett, B.A.; et al. Thrombospondin-4 is a putative tumour-suppressor gene in colorectal cancer that exhibits age-related methylation. BMC Cancer 2010, 10, 494. [Google Scholar] [CrossRef]
- Van Doorn, R.; Zoutman, W.H.; Dijkman, R.; de Menezes, R.X.; Commandeur, S.; Mulder, A.A.; van der Velden, P.A.; Vermeer, M.H.; Willemze, R.; Yan, P.S.; et al. Epigenetic profiling of cutaneous T-cell lymphoma: Promoter hypermethylation of multiple tumor suppressor genes including BCL7a, PTPRG, and P73. J. Clin. Oncol. 2005, 23, 3886–3896. [Google Scholar] [CrossRef]
- Zhang, Y.; Fang, L.; Zang, Y.; Xu, Z. Identification of core genes and key pathways via integrated analysis of gene expression and DNA methylation profiles in bladder cancer. Med. Sci. Monit. 2018, 24, 3024–3033. [Google Scholar] [CrossRef]
- R Core Team. R: A Language and Environment for Statistical Computing; R Foundation for Statistical Computing: Vienna, Austria, 2021; Available online: https://www.r-project.org (accessed on 20 July 2021).
- Waalkes, S.; Atschekzei, F.; Kramer, M.W.; Hennenlotter, J.; Vetter, G.; Becker, J.U.; Stenzl, A.; Merseburger, A.S.; Schrader, A.J.; Kuczyk, M.A.; et al. Fibronectin 1 MRNA expression correlates with advanced disease in renal cancer. BMC Cancer 2010, 10, 503. [Google Scholar] [CrossRef] [PubMed]
- Lausen, B.; Schumacher, M. Maximally selected rank statistics. Biometrics 1992, 48, 73–85. [Google Scholar] [CrossRef]
- van Buuren, S.; Groothuis-Oudshoorn, K. MICE: Multivariate imputation by chained equations in R. J. Stat. Softw. 2011, 45, 1–67. [Google Scholar] [CrossRef]
- R ClusterTools Package. Available online: https://github.com/vzoche-golob/clustertools/blob/master/description (accessed on 1 November 2021).
- Gu, Z.; Eils, R.; Schlesner, M. Complex heatmaps reveal patterns and correlations in multidimensional genomic data. Bioinformatics 2016, 32, 2847–2849. [Google Scholar] [CrossRef]
- Meyer, D.; Zeileis, A.; Hornik, K. Vcd: Visualizing Categorical Data; R Package Version 1.4-9. 2021; R Foundation for Statistical Computing: Vienna, Austria, 2021. [Google Scholar]
- Kuhn, M. Building predictive models in R using the caret package. J. Stat. Soft. 2008, 28, 1–35. [Google Scholar] [CrossRef]
- Wright, M.N.; Ziegler, A. Ranger: A fast implementation of random forests for high dimensional data in C++ and R. J. Stat. Soft. 2017, 77, 1–17. [Google Scholar] [CrossRef]
- Breiman, L. Random forests. Mach. Learn. 2001, 45, 5–32. [Google Scholar] [CrossRef]
- Paluszynska, A.; Biecek, P.; Jiang, Y. RandomForestExplainer: Explaining and Visualizing Random Forests in Terms of Variable Importance. 2020. Available online: https://cran.r-project.org/package=randomforestexplainer (accessed on 1 August 2021).
- Zheng, J.; Mei, Y.; Xiang, P.; Zhai, G.; Zhao, N.; Xu, C.; Liu, M.; Pan, Z.; Tang, K.; Jia, D. DNA methylation affects metastasis of renal cancer and is associated with TGF-β/RUNX3 inhibition. Cancer Cell Int. 2018, 18, 56. [Google Scholar] [CrossRef] [PubMed]
- Wei, J.-H.; Haddad, A.; Wu, K.-J.; Zhao, H.-W.; Kapur, P.; Zhang, Z.-L.; Zhao, L.-Y.; Chen, Z.-H.; Zhou, Y.-Y.; Zhou, J.-C.; et al. A CpG-methylation-based assay to predict survival in clear cell renal cell carcinoma. Nat. Commun. 2015, 6, 8699. [Google Scholar] [CrossRef]
- Kang, H.W.; Park, H.; Seo, S.P.; Byun, Y.J.; Piao, X.-M.; Kim, S.M.; Kim, W.T.; Yun, S.-J.; Jang, W.; Shon, H.S.; et al. Methylation signature for prediction of progression free survival in surgically treated clear cell renal cell carcinoma. J. Korean Med. Sci. 2019, 34, e144. [Google Scholar] [CrossRef]
- Joosten, S.C.; Odeh, S.N.O.; Koch, A.; Buekers, N.; Aarts, M.J.B.; Baldewijns, M.M.L.L.; Van Neste, L.; van Kuijk, S.; Schouten, L.J.; van den Brandt, P.A.; et al. Development of a prognostic risk model for clear cell renal cell carcinoma by systematic evaluation of DNA methylation markers. Clin. Epigenet. 2021, 13, 103. [Google Scholar] [CrossRef] [PubMed]
- Power, M.; Fell, G.; Wright, M. Principles for high-quality, high-value testing. Evid. Based Med. 2013, 18, 5–10. [Google Scholar] [CrossRef] [PubMed]






| Clinical and Pathological Characteristics | Total Number of Patients (allRCC), n (%) | Subset of Patients with ccRCC, n (%) | Subset of Patients with FU for allRCC, n (%) | Subset of Patients with FU for ccRCC, n (%) | |
|---|---|---|---|---|---|
| Total cases | 189 (100.0) | 151 (100.0) | 77 (100.0) | 57 (100.0) | |
| Histology | ccRCC | 151 (79.9) | 151(100.0) | 57 (74.0) | 57(100.0) |
| pap. RCC | 25 (13.2) | 0 (0.0) | 17 (22.1) | 0 (0.0) | |
| chrom. RCC | 3 (1.6) | 0 (0.0) | 2 (2.6) | 0 (0.0) | |
| Mixed histology * | 10 (5.3) | 0 (0.0) | 1 (1.3) | 0 (0.0) | |
| Sex | Female | 70 (37.0) | 59 (39.1) | 27 (35.1) | 22 (38.6) |
| Male | 119 (63.0) | 92 (60.9) | 50 (64.9) | 35 (61.4) | |
| Age (years) | Median | 65 | 65 | 65 | 64 |
| (min-max) | (35–91) | (35–90) | (37–91) | (37–90) | |
| Metastasis | M0 | 156 (82.5) | 123 (81.5) | 59 (76.6) | 41 (71.9) |
| M+ | 30 (15.9) | 25 (16.6) | 18 (23.4) | 16 (28.1) | |
| na | 3 (1.6) | 3 (2.0) | 0 (0.0) | 0 (0.0) | |
| Lymph node status | N0 | 168 (88.9) | 136 (90.1) | 70 (90.9) | 52 (91.2) |
| N+ | 16 (8.5) | 10 (6.6) | 7 (9.1) | 5 (8.8) | |
| na | 5 (2.6) | 5 (3.3) | 0 (0.0) | 0 (0.0) | |
| Tumor stage | pT1 | 11 (5.8) | 8 (5.3) | 8 (10.4) | 5 (8.8) |
| pT1a | 62 (32.8) | 48 (31.8) | 24 (31.2) | 15 (26.3) | |
| pT1b | 46 (24.3) | 38 (25.2) | 13 (16.9) | 9 (15.8) | |
| pT2 | 9 (4.8) | 7 (4.6) | 6 (7.8) | 5 (8.8) | |
| pT3 | 5 (2.6) | 2 (1.3) | 2 (2.6) | 1 (1.8) | |
| pT3a | 17 (9.0) | 14 (9.3) | 4 (5.2) | 4 (7.0) | |
| pT3b | 32 (16.9) | 30 (19.9) | 18 (23.4) | 17 (29.8) | |
| pT3c | 4 (2.1) | 3 (2.0) | 2 (2.6) | 1 (1.8) | |
| pT4 | 1 (0.5) | 0 (0.0) | 0 (0.0) | 0 (0.0) | |
| na | 2 (1.1) | 1 (0.7) | 0 (0.0) | 0 (0.0) | |
| Differentiation | G1 | 36 (19.0) | 32 (21.2) | 14 (18.2) | 12 (21.1) |
| G1–2 | 20 (10.6) | 13 (8.6) | 10 (13.0) | 4 (7.0) | |
| G2 | 104 (55.0) | 82 (54.3) | 42 (54.5) | 30 (52.6) | |
| G2–3 | 10 (5.3) | 6 (4.0) | 5 (6.5) | 5 (8.8) | |
| G3 | 18 (9.5) | 17 (11.3) | 6 (7.8) | 6 (10.5) | |
| na | 1 (0.5) | 1 (0.7) | 0 (0.0) | 0 (0.0) | |
| Gene | Chromosome | Genomic Position Start | Genomic Position End |
|---|---|---|---|
| INA | 10 | 105037691, ~700, ~703, ~706, ~713, ~715, ~719, ~728 | 105037692, ~701, ~704, ~707, ~714, ~716,~720, ~729 |
| NHLH2 | 1 | 116381644, ~46, ~48, ~52, ~64, ~67, ~79 | 116381645, ~47, ~49, ~53, ~65, ~68, ~80 |
| THBS4 | 5 | 79330930, ~44, ~56, ~58, ~60, ~63, ~69 | 79330931, ~45, ~57, ~59, ~61, ~64, ~70 |
| (a) Complete Cohort (allRCC) | ||||||
| Methylation | INA | nhlh2 | THBS4 | |||
| OR (95% CI) | p-value | OR (95% CI) | p-value | OR (95% CI) | p-value | |
| Metastasis (M0 vs. M1) | 1.05 (1.02–1.09) | 0.002 | 1.05 (1.02–1.07) | <0.001 | 1,04 (1.01–1.07) | 0.008 |
| Lymph node status (N0 vs. N1) | 1.04 (1.00–1.09) | <0.001 | 1.05 (1.02–1.09) | <0.001 | 1.04 (1.01–1.07) | 0.021 |
| Tumor stage (low vs. high T *) | 1.07 (1.04–1.10) | <0.001 | 1.06 (1.04–1.09) | <0.001 | 1.05 (1.03–1.08) | <0.001 |
| Differentiation (low vs. high G **) | 1.08 (1.04–1.12) | <0.001 | 1.06 (1.03–1.09) | <0.001 | 1.05 (1.02–1.08) | <0.001 |
| (b) ccRCC Subgroup | ||||||
| Methylation | INA | NHLH2 | THBS4 | |||
| OR (95% CI) | p-value | OR (95% CI) | p-value | OR (95% CI) | p-value | |
| Metastasis (M0 vs. M1) | 1.05 (1.01–1.09) | 0.019 | 1.03 (1.00–1.07) | 0.026 | 1.04 (1.00–1.08) | 0.048 |
| Lymph node status (N0 vs. N1) | na *** | na *** | na *** | na *** | na *** | na *** |
| Tumor stage (low vs. high T *) | 1.07 (1.03–1.10) | <0.001 | 1.05 (1.02–1.08) | <0.001 | 1.05 (1.02–1.09) | 0.001 |
| Differentiation (low vs. high G **) | 1.07 (1.03–1.12) | <0.001 | 1.05 (1.02–1.08) | <0.001 | 1.04 (1.01–1.08) | 0.021 |
| Methylation | Gene | Mean Methylation (%) | OR (95% CI) | adjOR | p-Value | |
|---|---|---|---|---|---|---|
| Tu | Mtx | |||||
| TUvs. Mtx | INA | 22.8 | 32.8 | 1.07 (1.05–1.1) | 1.98 | 7.88 × 10−8 |
| NHLH2 | 14.4 | 27.4 | 1.07 (1.05–1.1) | 2.47 | 5.57 × 10−10 | |
| THBS4 | 19.4 | 30.4 | 1.06 (1.04–1.08) | 1.85 | 2.06 × 10−7 | |
| Cluster | Patients Without Metastasis (M0) | Patients with Metastatic Disease State (M+, Mtx) |
| Cluster 1 | 103 | 33 |
| Cluster 2 | 42 | 66 |
| Cluster 3 | 15 | 33 |
Publisher’s Note: MDPI stays neutral with regard to jurisdictional claims in published maps and institutional affiliations. |
© 2021 by the authors. Licensee MDPI, Basel, Switzerland. This article is an open access article distributed under the terms and conditions of the Creative Commons Attribution (CC BY) license (https://creativecommons.org/licenses/by/4.0/).
Share and Cite
Katzendorn, O.; Peters, I.; Dubrowinskaja, N.; Moog, J.M.; Reese, C.; Tezval, H.; Faraj Tabrizi, P.; Hennenlotter, J.; Lafos, M.; Kuczyk, M.A.; et al. DNA Methylation in INA, NHLH2, and THBS4 Is Associated with Metastatic Disease in Renal Cell Carcinoma. Cancers 2022, 14, 39. https://doi.org/10.3390/cancers14010039
Katzendorn O, Peters I, Dubrowinskaja N, Moog JM, Reese C, Tezval H, Faraj Tabrizi P, Hennenlotter J, Lafos M, Kuczyk MA, et al. DNA Methylation in INA, NHLH2, and THBS4 Is Associated with Metastatic Disease in Renal Cell Carcinoma. Cancers. 2022; 14(1):39. https://doi.org/10.3390/cancers14010039
Chicago/Turabian StyleKatzendorn, Olga, Inga Peters, Natalia Dubrowinskaja, Joana M. Moog, Christel Reese, Hossein Tezval, Pouriya Faraj Tabrizi, Jörg Hennenlotter, Marcel Lafos, Markus A. Kuczyk, and et al. 2022. "DNA Methylation in INA, NHLH2, and THBS4 Is Associated with Metastatic Disease in Renal Cell Carcinoma" Cancers 14, no. 1: 39. https://doi.org/10.3390/cancers14010039
APA StyleKatzendorn, O., Peters, I., Dubrowinskaja, N., Moog, J. M., Reese, C., Tezval, H., Faraj Tabrizi, P., Hennenlotter, J., Lafos, M., Kuczyk, M. A., & Serth, J. (2022). DNA Methylation in INA, NHLH2, and THBS4 Is Associated with Metastatic Disease in Renal Cell Carcinoma. Cancers, 14(1), 39. https://doi.org/10.3390/cancers14010039

