Venetoclax for Children and Adolescents with Acute Lymphoblastic Leukemia and Lymphoblastic Lymphoma
Abstract
:Simple Summary
Abstract
1. Introduction
2. Materials and Methods
3. Results
3.1. Patient Characteristics
3.2. Treatment
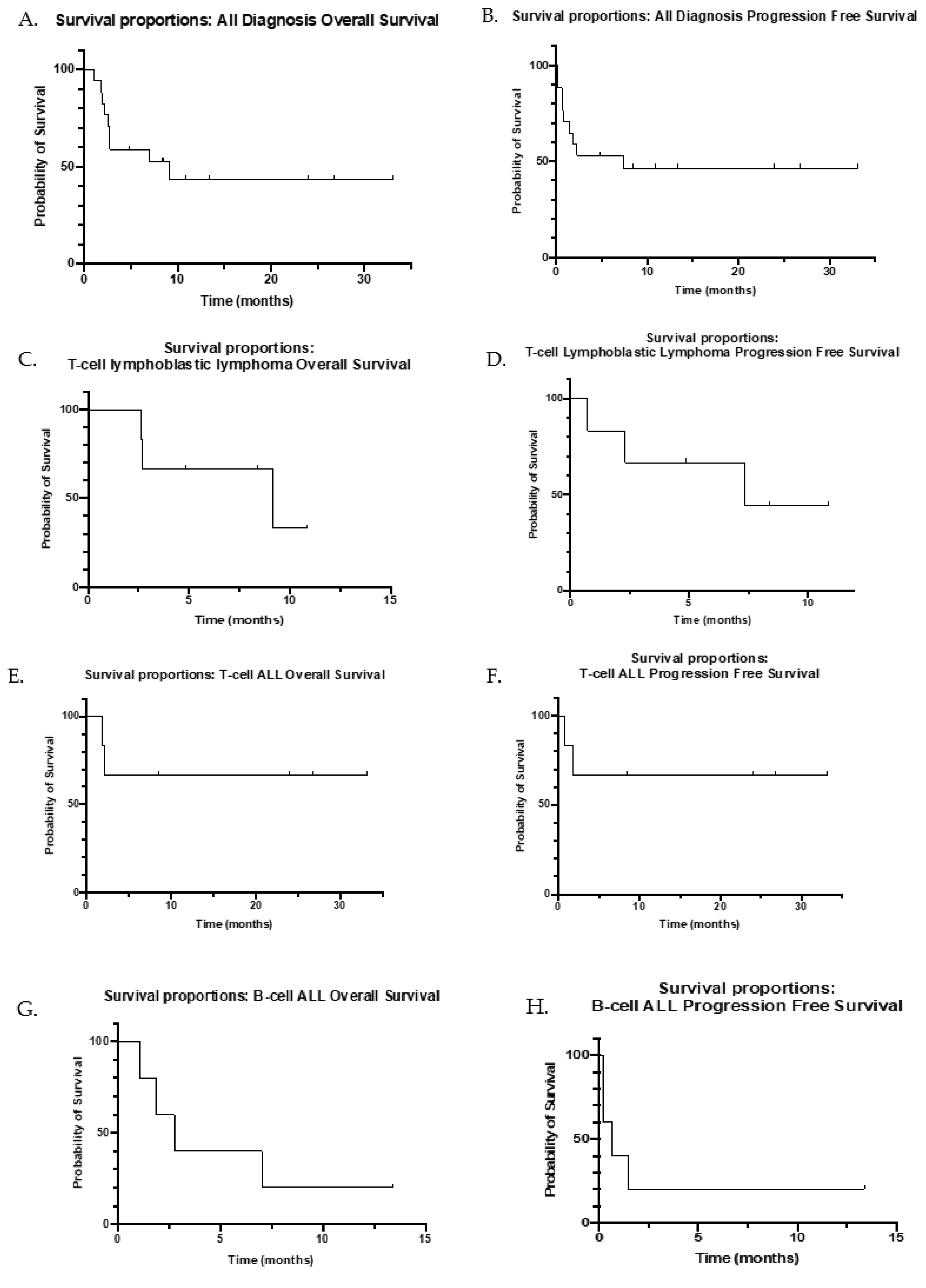
3.3. Response
4. Discussion
5. Conclusions
Author Contributions
Funding
Institutional Review Board Statement
Informed Consent Statement
Data Availability Statement
Acknowledgments
Conflicts of Interest
References
- Hunger, S.P.; Raetz, E.A. How I treat relapsed acute lymphoblastic leukemia in the pediatric population. Blood 2020, 136, 1803–1812. [Google Scholar] [CrossRef]
- Gaynon, P.S.; Angiolillo, A.L.; Carroll, W.L.; Nachman, J.B.; Trigg, M.E.; Sather, H.N.; Hunger, S.P.; Devidas, M. Long-term results of the children’s cancer group studies for childhood acute lymphoblastic leukemia 1983–2002: A Children’s Oncology Group Report. Leukemia 2010, 24, 285–297. [Google Scholar] [CrossRef] [PubMed] [Green Version]
- Salzer, W.L.; Devidas, M.; Carroll, W.L.; Winick, N.; Pullen, J.; Hunger, S.P.; Camitta, B.A. Long-term results of the pediatric oncology group studies for childhood acute lymphoblastic leukemia 1984–2001: A report from the children’s oncology group. Leukemia 2010, 24, 355–370. [Google Scholar] [CrossRef] [PubMed] [Green Version]
- Möricke, A.; Zimmermann, M.; Reiter, A.; Henze, G.; Schrauder, A.; Gadner, H.; Ludwig, W.D.; Ritter, J.; Harbott, J.; Mann, G.; et al. Long-term results of five consecutive trials in childhood acute lymphoblastic leukemia performed by the ALL-BFM study group from 1981 to 2000. Leukemia 2010, 24, 265–284. [Google Scholar] [CrossRef] [PubMed] [Green Version]
- Silverman, L.B.; Stevenson, K.E.; O’Brien, J.E.; Asselin, B.L.; Barr, R.D.; Clavell, L.; Cole, P.D.; Kelly, K.M.; Laverdiere, C.; Michon, B.; et al. Long-term results of Dana-Farber Cancer Institute ALL Consortium protocols for children with newly diagnosed acute lymphoblastic leukemia (1985–2000). Leukemia 2010, 24, 320–334. [Google Scholar] [CrossRef]
- Reiter, A.; Schrappe, M.; Ludwig, W.D.; Tiemann, M.; Parwaresch, R.; Zimmermann, M.; Schirg, E.; Henze, G.; Schellong, G.; Gadner, H.; et al. Intensive ALL-type therapy without local radiotherapy provides a 90% event-free survival for children with T-cell lymphoblastic lymphoma: A BFM group report. Blood 2000, 95, 416–421. [Google Scholar]
- Schrappe, M.; Hunger, S.P.; Pui, C.H.; Saha, V.; Gaynon, P.S.; Baruchel, A.; Conter, V.; Otten, J.; Ohara, A.; Versluys, A.B.; et al. Outcomes after induction failure in childhood acute lymphoblastic leukemia. N. Engl. J. Med. 2012, 366, 1371–1381. [Google Scholar] [CrossRef] [Green Version]
- Bhojwani, D.; Pui, C.H. Relapsed childhood acute lymphoblastic leukaemia. Lancet Oncol. 2013, 14, e205–e217. [Google Scholar] [CrossRef]
- Noronha, E.P.; Marques, L.V.C.; Andrade, F.G.; Thuler, L.C.S.; Terra-Granado, E.; Pombo-de-Oliveira, M.S.; da Paz Zampier, C.; da Conceição Barbosa, T.; Chagas Neto, P.; Dallapicola Brisson, G.; et al. The Profile of Immunophenotype and Genotype Aberrations in Subsets of Pediatric T-Cell Acute Lymphoblastic Leukemia. Front. Oncol. 2019, 9, 316. [Google Scholar] [CrossRef]
- Patrick, K.; Wade, R.; Goulden, N.; Mitchell, C.; Moorman, A.V.; Rowntree, C.; Jenkinson, S.; Hough, R.; Vora, A. Outcome for children and young people with Early T-cell precursor acute lymphoblastic leukaemia treated on a contemporary protocol, UKALL 2003. Br. J. Haematol. 2014, 166, 421–424. [Google Scholar] [CrossRef]
- Hayashi, R.J.; Winter, S.S.; Dunsmore, K.P.; Devidas, M.; Chen, Z.; Wood, B.L.; Hermiston, M.L.; Teachey, D.T.; Perkins, S.L.; Miles, R.R.; et al. Successful Outcomes of Newly Diagnosed T Lymphoblastic Lymphoma: Results From Children’s Oncology Group AALL0434. J. Clin. Oncol. 2020, 38, 3062–3070. [Google Scholar] [CrossRef]
- Einsiedel, H.G.; von Stackelberg, A.; Hartmann, R.; Fengler, R.; Schrappe, M.; Janka-Schaub, G.; Mann, G.; Hählen, K.; Göbel, U.; Klingebiel, T.; et al. Long-term outcome in children with relapsed ALL by risk-stratified salvage therapy: Results of trial acute lymphoblastic leukemia-relapse study of the Berlin-Frankfurt-Münster Group 87. J. Clin. Oncol. 2005, 23, 7942–7950. [Google Scholar] [CrossRef]
- Burkhardt, B.; Reiter, A.; Landmann, E.; Lang, P.; Lassay, L.; Dickerhoff, R.; Lakomek, M.; Henze, G.; von Stackelberg, A. Poor outcome for children and adolescents with progressive disease or relapse of lymphoblastic lymphoma: A report from the berlin-frankfurt-muenster group. J. Clin. Oncol. 2009, 27, 3363–3369. [Google Scholar] [CrossRef] [PubMed]
- Davids, M.S.; Letai, A. Targeting the B-cell lymphoma/leukemia 2 family in cancer. J. Clin. Oncol. Off. J. Am. Soc. Clin. Oncol. 2012, 30, 3127–3135. [Google Scholar] [CrossRef] [PubMed] [Green Version]
- Davids, M.S.; Roberts, A.W.; Seymour, J.F.; Pagel, J.M.; Kahl, B.S.; Wierda, W.G.; Puvvada, S.; Kipps, T.J.; Anderson, M.A.; Salem, A.H.; et al. Phase I First-in-Human Study of Venetoclax in Patients With Relapsed or Refractory Non-Hodgkin Lymphoma. J. Clin. Oncol. Off. J. Am. Soc. Clin. Oncol. 2017, 35, 826–833. [Google Scholar] [CrossRef] [Green Version]
- Konopleva, M.; Pollyea, D.A.; Potluri, J.; Chyla, B.; Hogdal, L.; Busman, T.; McKeegan, E.; Salem, A.H.; Zhu, M.; Ricker, J.L.; et al. Efficacy and Biological Correlates of Response in a Phase II Study of Venetoclax Monotherapy in Patients with Acute Myelogenous Leukemia. Cancer Discov. 2016, 6, 1106. [Google Scholar] [CrossRef] [PubMed] [Green Version]
- Roberts, A.W.; Davids, M.S.; Pagel, J.M.; Kahl, B.S.; Puvvada, S.D.; Gerecitano, J.F.; Kipps, T.J.; Anderson, M.A.; Brown, J.R.; Gressick, L.; et al. Targeting BCL2 with Venetoclax in Relapsed Chronic Lymphocytic Leukemia. N. Engl. J. Med. 2016, 374, 311–322. [Google Scholar] [CrossRef]
- Souers, A.J.; Leverson, J.D.; Boghaert, E.R.; Ackler, S.L.; Catron, N.D.; Chen, J.; Dayton, B.D.; Ding, H.; Enschede, S.H.; Fairbrother, W.J.; et al. ABT-199, a potent and selective BCL-2 inhibitor, achieves antitumor activity while sparing platelets. Nat. Med. 2013, 19, 202. [Google Scholar] [CrossRef]
- Perini, G.F.; Ribeiro, G.N.; Neto, J.V.P.; Campos, L.T.; Hamerschlak, N. BCL-2 as therapeutic target for hematological malignancies. J. Hematol. Oncol. 2018, 11, 65. [Google Scholar] [CrossRef]
- Frismantas, V.; Dobay, M.P.; Rinaldi, A.; Tchinda, J.; Dunn, S.H.; Kunz, J.; Richter-Pechanska, P.; Marovca, B.; Pail, O.; Jenni, S.; et al. Ex vivo drug response profiling detects recurrent sensitivity patterns in drug-resistant acute lymphoblastic leukemia. Blood 2017, 129, e26–e37. [Google Scholar] [CrossRef] [Green Version]
- Alford, S.E.; Kothari, A.; Loeff, F.C.; Eichhorn, J.M.; Sakurikar, N.; Goselink, H.M.; Saylors, R.L.; Jedema, I.; Falkenburg, J.F.; Chambers, T.C. BH3 Inhibitor Sensitivity and Bcl-2 Dependence in Primary Acute Lymphoblastic Leukemia Cells. Cancer Res. 2015, 75, 1366–1375. [Google Scholar] [CrossRef] [Green Version]
- Khaw, S.L.; Suryani, S.; Evans, K.; Richmond, J.; Robbins, A.; Kurmasheva, R.T.; Billups, C.A.; Erickson, S.W.; Guo, Y.; Houghton, P.J.; et al. Venetoclax responses of pediatric ALL xenografts reveal sensitivity of MLL-rearranged leukemia. Blood 2016, 128, 1382–1395. [Google Scholar] [CrossRef] [Green Version]
- Lázaro-Navarro, J.; Pimentel-Gutiérrez, H.J.; Gauert, A.; Hagemann, A.I.; Eisenschmid, J.; Gökbuget, N.; Vick, B.; Jeremias, I.; Seyfried, F.; Meyer, L.H.; et al. Inhibiting Casein Kinase 2 Sensitizes Acute Lymphoblastic Leukemia Cells to Venetoclax Via MCL1 Degradation. Blood Adv. 2021, 5, 5501–5506. [Google Scholar] [CrossRef] [PubMed]
- Peirs, S.; Matthijssens, F.; Goossens, S.; Van de Walle, I.; Ruggero, K.; De Bock, C.E.; Degryse, S.; Canté-Barrett, K.; Briot, D.; Clappier, E.; et al. ABT-199 mediated inhibition of BCL-2 as a novel therapeutic strategy in T-cell acute lymphoblastic leukemia. Blood 2014, 124, 3738–3747. [Google Scholar] [CrossRef] [PubMed]
- Chonghaile, T.N.; Roderick, J.E.; Glenfield, C.; Ryan, J.; Sallan, S.E.; Silverman, L.B.; Loh, M.L.; Hunger, S.P.; Wood, B.; DeAngelo, D.J.; et al. Maturation stage of T-cell acute lymphoblastic leukemia determines BCL-2 versus BCL-XL dependence and sensitivity to ABT-199. Cancer Discov. 2014, 4, 1074–1087. [Google Scholar] [CrossRef] [PubMed] [Green Version]
- Richard-Carpentier, G.; Jabbour, E.; Short, N.J.; Rausch, C.R.; Savoy, J.M.; Bose, P.; Yilmaz, M.; Jain, N.; Borthakur, G.; Ohanian, M.; et al. Clinical Experience With Venetoclax Combined With Chemotherapy for Relapsed or Refractory T-Cell Acute Lymphoblastic Leukemia. Clin. Lymphoma Myeloma Leuk. 2020, 20, 212–218. [Google Scholar] [CrossRef]
- Pullarkat, V.A.; Lacayo, N.J.; Jabbour, E.; Rubnitz, J.E.; Bajel, A.; Laetsch, T.W.; Leonard, J.; Colace, S.I.; Khaw, S.L.; Fleming, S.A.; et al. Venetoclax and Navitoclax in Combination with Chemotherapy in Patients with Relapsed or Refractory Acute Lymphoblastic Leukemia and Lymphoblastic Lymphoma. Cancer Discov. 2021, 11, 1440–1453. [Google Scholar] [CrossRef] [PubMed]
- Jain, N.; Stevenson, K.E.; Winer, E.S.; Garcia, J.S.; Stone, R.M.; Jabbour, E.; Ravandi, F.; Stewart, J.M.; Legg, D.R.; Kantarjian, H.M.; et al. A Multicenter Phase I Study Combining Venetoclax with Mini-Hyper-CVD in Older Adults with Untreated and Relapsed/Refractory Acute Lymphoblastic Leukemia; ASH: Orlando, FL, USA, 2019. [Google Scholar]
- Barrington, S.F.; Mikhaeel, N.G.; Kostakoglu, L.; Meignan, M.; Hutchings, M.; Müeller, S.P.; Schwartz, L.H.; Zucca, E.; Fisher, R.I.; Trotman, J.; et al. Role of imaging in the staging and response assessment of lymphoma: Consensus of the International Conference on Malignant Lymphomas Imaging Working Group. J. Clin. Oncol. 2014, 32, 3048–3058. [Google Scholar] [CrossRef]
- Kaufman, J.L.; Gasparetto, C.; Schjesvold, F.H.; Moreau, P.; Touzeau, C.; Facon, T.; Boise, L.H.; Alzate, S.; Macartney, T.; Pesko, J.; et al. Phase I/II Study Evaluating the Safety and Efficacy of Venetoclax in Combination with Dexamethasone As Targeted Therapy for Patients with t (11;14) Relapsed/Refractory Multiple Myeloma. Blood 2019, 134 (Suppl. 1), 926. [Google Scholar] [CrossRef]
- Juárez-Salcedo, L.M.; Desai, V.; Dalia, S. Venetoclax: Evidence to date and clinical potential. Drugs Context 2019, 8, 212574. [Google Scholar] [CrossRef]
- Castaneda Puglianini, O.; Papadantonakis, N. Early precursor T-cell acute lymphoblastic leukemia: Current paradigms and evolving concepts. Ther. Adv. Hematol. 2020, 11, 2040620720929475. [Google Scholar] [CrossRef]
- Winters, A.C.; Maloney, K.W.; Treece, A.L.; Gore, L.; Franklin, A.K. Single-center pediatric experience with venetoclax and azacitidine as treatment for myelodysplastic syndrome and acute myeloid leukemia. Pediatr. Blood Cancer 2020, 67, e28398. [Google Scholar] [CrossRef] [PubMed]
- Karol, S.E.; Alexander, T.B.; Budhraja, A.; Pounds, S.B.; Canavera, K.; Wang, L.; Wolf, J.; Klco, J.M.; Mead, P.E.; Gupta, S.D.; et al. Venetoclax in combination with cytarabine with or without idarubicin in children with relapsed or refractory acute myeloid leukaemia: A phase 1, dose-escalation study. Lancet Oncol. 2020, 21, 551–560. [Google Scholar] [CrossRef]
- Raedler, J.; Heyde, S.; Kolokythas, M.; Eichinger, A.; Binder, V.; Schmid, I.; Klein, C.; Feuchtinger, T.; Albert, M.H. Venetoclax and decitabine for relapsed paediatric myelodysplastic syndrome-related acute myeloid leukaemia with complex aberrant karyotype after second stem cell transplantation. Br. J. Haematol. 2020, 189, e251–e254. [Google Scholar] [CrossRef]
- Baig, M.U.; Rytting, M.; Roth, M.; Morani, A.C.; Nunez, C.; Lin, P.; Cuglievan, B. Venetoclax and Decitabine in Pediatric Refractory T-cell Lymphoblastic Lymphoma. J. Pediatr. Hematol. Oncol. 2021, 43, e991–e996. [Google Scholar] [CrossRef] [PubMed]
- Horton, T.M.; Whitlock, J.A.; Lu, X.; O’Brien, M.M.; Borowitz, M.J.; Devidas, M.; Raetz, E.A.; Brown, P.A.; Carroll, W.L.; Hunger, S.P. Bortezomib reinduction chemotherapy in high-risk ALL in first relapse: A report from the Children’s Oncology Group. Br. J. Haematol. 2019, 186, 274–285. [Google Scholar] [CrossRef] [PubMed]


| Baseline Characteristics | Patients: n (%) |
|---|---|
| Age in years, median (range) | 20 (6–21) |
| Sex | |
| Female | 5 (28) |
| Male | 13 (72) |
| Race | |
| Asian | 5 (28) |
| Black | 1 (5) |
| Hispanic | 5 (28) |
| White | 7 (39) |
| Diagnosis | |
| B-cell ALL | 5 (28) |
| T-cell ALL | 7 (39) |
| T-cell LBL | 6 (33) |
| Prior Regimens | |
| 0 | 4 (22) |
| 1 | 6 (33) |
| >3 | 8 (44) |
| Previous Transplantation | |
| Yes | 5 (28) |
| No | 13 (72) |
| Patient Number | Diagnosis | Age/Sex | Cytogenetics | NGS and PCR Mutation Findings | Number of Prior Therapies | Prior Therapy | Concurrent Chemotherapy | Dosing Schedule | Cycles | Response | Toxicity |
|---|---|---|---|---|---|---|---|---|---|---|---|
| 1 | T-cell LBL | 12/M | Negative | Negative | 1 | AALL0434 | HyperCVAD, Decitabine | 100 mg/day (concurrent Posaconazole) | 2 | NR | Thrombocytopenia |
| 2 | T-cell LBL | 20/M | Unknown | Unknown | 4 | AALL1231; NECTAR protocol; Clofarabine; Cytarabine/Mitoxantrone | Decitabine | 400 mg/day | 1 | CR | Febrile neutropenia, thrombocytopenia, coagulopathy |
| 3 | T-cell LBL | 20/M | 2 extra copies of PDGFRB | Negative | 1 | HyperCVAD | HyperCVAD, nelarabine | 400 mg/day | 7 | CR | Sepsis, pancreatitis |
| 4 | T-cell LBL | 20/F | Negative | STAT5A, SH2B3, ASXL2, RUNX1, PHF6 | 0 | None | HyperCVAD, nelarabine, pegASP | 400 mg/day | 4 | CR | Thrombocytopenia, neutropenia |
| 5 | T-cell LBL | 21/M | Negative | Negative | 0 | None | HyperCVAD, nelarabine | 400 mg/day | 3 | CR | Thrombocytopenia |
| 6 | T-cell LBL | 21/F | Negative | NOTCH1, TP53, BCORL1 | 1 | HyperCVAD | Fludarabine, cytarabine, idarubicin, pegASP | 400 mg/day | 2 | CR | Febrile neutropenia, sepsis, myelosuppression |
| 7 | T-cell ALL | 21/M | TP53 deletion | NOTCH1, KDM6A, CREBBP | 5 | HyperCVAD; Nelarabine; MOAD; HSCT; MOAD | Nelarabine, etoposide, cyclophosphamide, decitabine | 400 mg/day | 1 | NR | Pneumonia, sepsis, thrombocytopenia, hyperbilirubinemia |
| 8 | T-cell ALL | 19/M | Negative | NOTCH1, IL7F | 0 | None | HyperCVAD | 400 mg/day | 13 | CR | Thrombocytopenia, sepsis, hyperbilirubinemia |
| 9 | T-cell ALL | 17/M | iAMP21, trisomy 8 | NOTCH1, STAT5B | 1 | AALL0434 | HyperCVAD | 200 mg/day (concurrent voriconazole) | 1 | CRi | Febrile neutropenia, thrombocytopenia |
| 10 | ETP T-cell ALL | 19/M | Negative | TCRG rearrangement | 1 | AALL0434; cyclophosphamide, cytarabine | Fludarabine, cytarabine, gemtuzumab, methotrexate | 100 mg/day (concurrent voriconazole) | 1.5 | CR | Thrombocytopenia, neutropenia |
| 11 | T-cell ALL | 18/M | t(4;6) | IL7R, NOTCH1, SF3A1, TCRB/G rearrangement | 3 | AALL0434; CALBG; HyperCVAD | HyperCVAD | 400 mg/day | 1 | NR | Thrombocytopenia, neutropenia |
| 12 | T-cell ALL | 21/M | Negative | NOTCH1, KDM6A | 0 | None | HyperCVAD, nelarabine, pegASP | 400 mg/day | 7 | CR | Febrile neutropenia, thrombocytopenia |
| 13 | T-cell ALL | 22/M | Negative | SUZ12, NOTCH1, FBXW7, KRAS, WT1, Deletion CDKN2A and P16 | 1 | HyperCVAD | Nelarabine, pegASP, Gemtuzumab | 100 mg/day | 2 | CR | none |
| 14 | B-cell ALL | 21/F | One copy loss of FGFR1, one copy gain of CRLF2 | PAX5, STAG2 | 5 | ALL1131; HyperCVAD, rituximab, inotuzumab, blinatumomab; HSCT; blinatumomab, MTX, AraC; Kymriah | CVD | 400 mg/day | 2 | CRi | Febrile neutropenia, thrombocytopenia |
| 15 | B-cell ALL | 18/M | ETV6/RUNX1 rearrangement | Negative | 6 | ALLR3; HSCT; HyperCVAD; Decitabine; Sleeping Beauty CAR-T; Kymriah | CVD | 100 mg/day (concurrent voriconazole) | 1 | NR | Thrombocytopenia, neutropenia |
| 16 | B-cell ALL | 11/M | ETV6/RUNX1 fusion | ASXL2, ETV6, TP53 | 6 | AALL0932; KITE; Kymriah; CD19/CD22 CAR; HSCT transplant; AALL0434 | CVD | 340 mg/day (360 mg/m2) | 1 | NR | Myelosuppression, hyperbilirubinemia |
| 17 | B-cell ALL | 20/F | One copy loss of ABL1, ABL2, PDGFR, CRLF2; one copy gain of JAK2, ETV6, RUNX1, amplification of KMT2A | NF1, TP53, WT1 | 3 | HyperCVAD, inotuzumab; fludarabine, cytarabine; CD22 CAR | HyperCVAD, rituximab | 100 mg (concurrent voriconazole) | 1 | NR | Thrombocytopenia |
| 18 | B-cell ALL | 6/F | Negative | ASXL2, BCORL1, CREBBP, DNMT3A, NF1, PAX5, FLT3, SF1, KMT2A | 8 | ALLR3 + Bortezomib; Kymriah; Blinatumomab; AALL1621; AALL1131; Nivolumab; vincristine/daunorubicin/MTX | CVD | 70 mg/day (concurrent voriconazole) | 1 | NR | Thrombocytopenia, sepsis, hyperbilirubinemia |
| Adverse Event | ≥Grade 3 N (%) | Grade 3 | Grade 4 |
|---|---|---|---|
| Thrombocytopenia | 16 (89) | 0 | 16 |
| Neutropenia | 10 (53) | 0 | 9 |
| Elevated bilirubin | 4 (22) | 4 | 0 |
| Sepsis | 5 (28) | 4 | 1 |
| Febrile neutropenia | 5 (28) | 2 | 3 |
| Elevated AST/ALT | 1 (5) | 1 | 0 |
| Pneumonia | 1 (5) | 0 | 1 |
| Coagulopathy | 1 (5) | 0 | 1 |
| Mucosal infection | 1 (5) | 1 | 0 |
| Response | CR/CRi # (%) | NR |
|---|---|---|
| Overall | 11 (61) | 7 (39) |
| Overall R/R disease | 7 (50) | 7 (50) |
| Overall T-cell disease (ALL/LBL) | 10 (77) | 3 (23) |
| R/R T-cell ALL/LBL | 6 (75%) | 2 (25) |
| Overall T-cell LBL | 5 (83) | 1 (17) |
| R/R T-cell LBL | 3 (75) | 1 (25) |
| Upfront T-cell LBL | 2 (100) | 0 |
| Overall T-cell ALL | 5 (71) | 2 (29) |
| R/R T-cell ALL | 3 (75) | 1 (25) |
| Upfront T-cell ALL | 2 (100) | 0 |
| Overall B-cell ALL | 1 (20) | 4 (80) |
| R/R B-cell ALL | 1 (20) | 4 (80) |
| Upfront B-cell ALL | - | - |
Publisher’s Note: MDPI stays neutral with regard to jurisdictional claims in published maps and institutional affiliations. |
© 2021 by the authors. Licensee MDPI, Basel, Switzerland. This article is an open access article distributed under the terms and conditions of the Creative Commons Attribution (CC BY) license (https://creativecommons.org/licenses/by/4.0/).
Share and Cite
Gibson, A.; Trabal, A.; McCall, D.; Khazal, S.; Toepfer, L.; Bell, D.H.; Roth, M.; Mahadeo, K.M.; Nunez, C.; Short, N.J.; et al. Venetoclax for Children and Adolescents with Acute Lymphoblastic Leukemia and Lymphoblastic Lymphoma. Cancers 2022, 14, 150. https://doi.org/10.3390/cancers14010150
Gibson A, Trabal A, McCall D, Khazal S, Toepfer L, Bell DH, Roth M, Mahadeo KM, Nunez C, Short NJ, et al. Venetoclax for Children and Adolescents with Acute Lymphoblastic Leukemia and Lymphoblastic Lymphoma. Cancers. 2022; 14(1):150. https://doi.org/10.3390/cancers14010150
Chicago/Turabian StyleGibson, Amber, Adriana Trabal, David McCall, Sajad Khazal, Laurie Toepfer, Donna H. Bell, Michael Roth, Kris M. Mahadeo, Cesar Nunez, Nicholas J. Short, and et al. 2022. "Venetoclax for Children and Adolescents with Acute Lymphoblastic Leukemia and Lymphoblastic Lymphoma" Cancers 14, no. 1: 150. https://doi.org/10.3390/cancers14010150
APA StyleGibson, A., Trabal, A., McCall, D., Khazal, S., Toepfer, L., Bell, D. H., Roth, M., Mahadeo, K. M., Nunez, C., Short, N. J., DiNardo, C., Konopleva, M., Issa, G. C., Ravandi, F., Jain, N., Borthakur, G., Kantarjian, H. M., Jabbour, E., & Cuglievan, B. (2022). Venetoclax for Children and Adolescents with Acute Lymphoblastic Leukemia and Lymphoblastic Lymphoma. Cancers, 14(1), 150. https://doi.org/10.3390/cancers14010150

