Matched-Pair Analysis of Survival in the Patients with Advanced Laryngeal and Hypopharyngeal Squamous Cell Carcinoma Treated with Induction Chemotherapy Plus Chemo-Radiation or Total Laryngectomy
Abstract
Simple Summary
Abstract
1. Introduction
2. Materials and Methods
2.1. Patients
2.2. Statistical Analysis
3. Results
3.1. Patient Characteristics
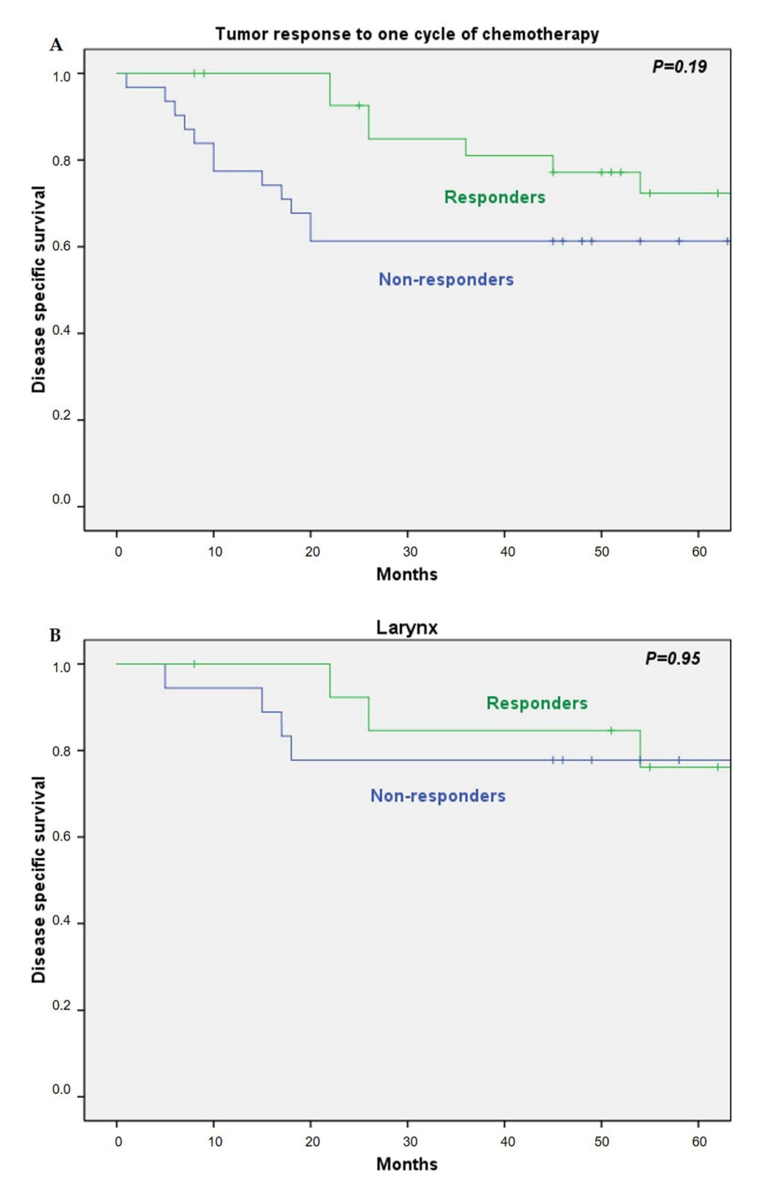
3.2. Organ Preservation Group
3.3. Surgery Group
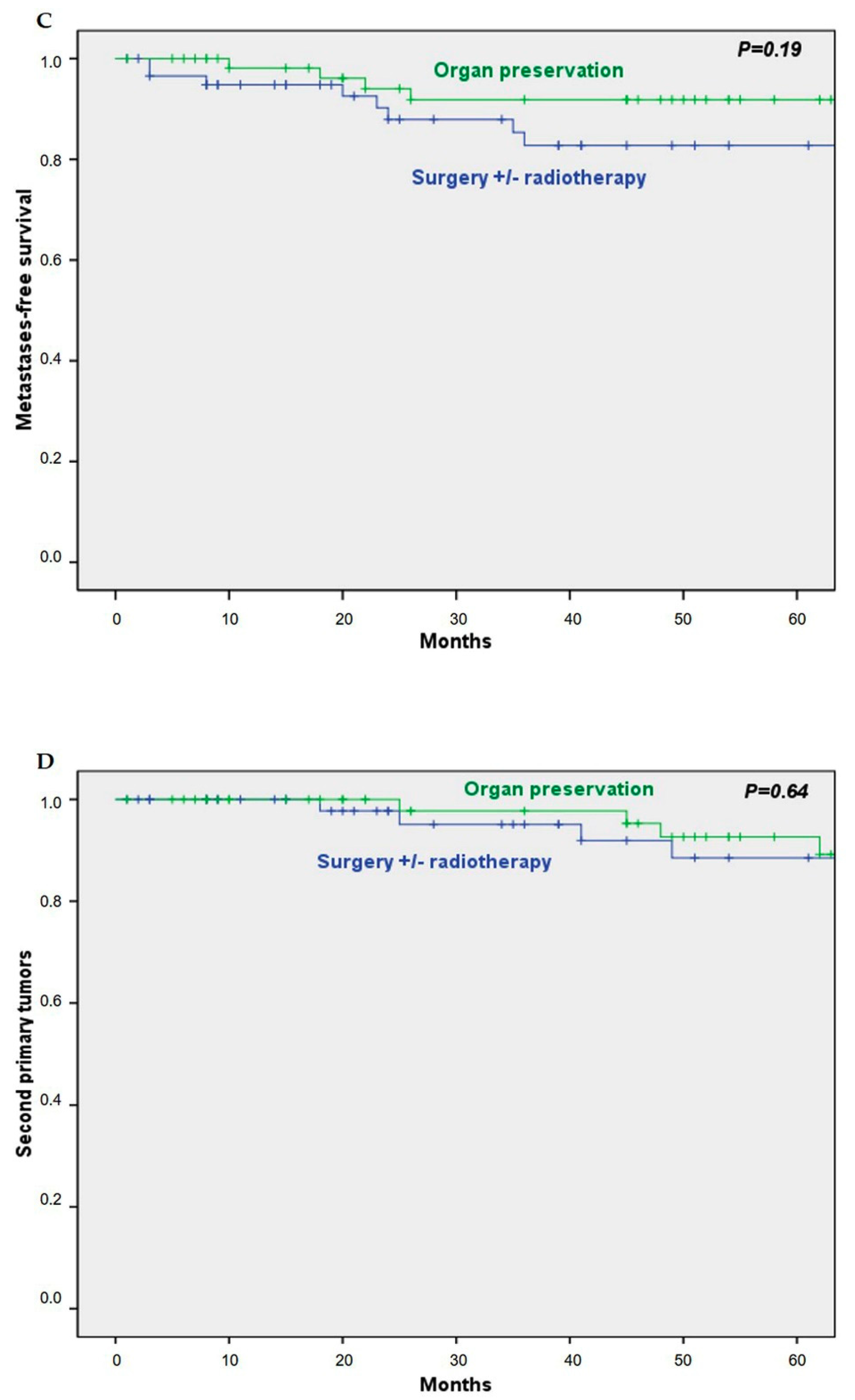
3.4. Survival Analysis
3.5. Matched Analysis of Survival
4. Discussion
5. Conclusions
Author Contributions
Funding
Institutional Review Board Statement
Informed Consent Statement
Data Availability Statement
Conflicts of Interest
References
- Machiels, J.-P.; Leemans, C.R.; Golusinski, W.; Grau, C.; Licitra, L.; Gregoire, V. Squamous cell carcinoma of the oral cavity, larynx, oropharynx and hypopharynx: EHNS–ESMO–ESTRO Clinical Practice Guidelines for diagnosis, treatment and follow-up. Ann. Oncol. 2020, 31, 1462–1475. [Google Scholar] [CrossRef]
- Pfister, D.G.; Laurie, S.A.; Weinstein, G.S.; Mendenhall, W.M.; Adelstein, D.J.; Ang, K.K.; Clayman, G.L.; Fisher, S.G.; Forastiere, A.A.; Harrison, L.B.; et al. American Society of Clinical Oncology clinical practice guideline for the use of larynx-preservation strategies in the treatment of laryngeal cancer. Am. Soc. Clin. Oncol. 2006, 24, 3693–3704. [Google Scholar] [CrossRef] [PubMed]
- Nair, S.V.; Mair, M.; Sawarkar, N.; Chakrabarti, S.; Qayyumi, B.; Nair, D.; Chaturvedi, P.; Gupta, T.; Agrawal, J.P. Organ preservation vs primary surgery in the management of T3 laryngeal and hypopharyngeal cancers. Eur. Arch. Otorhinoaryngol. 2018, 275, 2311–2316. [Google Scholar] [CrossRef]
- Harris, B.N.; Biron, V.L.; Donald, P.; Farwell, D.G.; Luu, Q.C.; Bewley, A.F.; Chen, A.M.; Daly, M.E. Primary Surgery vs Chemoradiation Treatment of Advanced-Stage Hypopharyngeal Squamous Cell Carcinoma. JAMA Otolaryngol. Neck Surg. 2015, 141, 636–640. [Google Scholar] [CrossRef]
- Department of Veterans Affairs Laryngeal Cancer Study Group; Wolf, G.T.; Fisher, S.G.; Hong, W.K.; Hillman, R.; Spaulding, M.; Laramore, G.E.; Endicott, J.W.; McClatchey, K.; Henderson, W.G. Induction chemotherapy plus radiation compared with surgery plus radiation in patients with advanced laryngeal cancer. N. Engl. J. Med. 1991, 324, 1685–1690. [Google Scholar]
- Lefebvre, J.-L.; Chevalier, D.; Luboinski, B.; Kirkpatrick, A.; Collette, L.; Sahmoud, T. Larynx Preservation in Pyriform Sinus Cancer: Preliminary Results of a European Organization for Research and Treatment of Cancer Phase III Trial. J. Natl. Cancer Inst. 1996, 88, 890–899. [Google Scholar] [CrossRef] [PubMed]
- Forastiere, A.A.; Goepfert, H.; Maor, M.; Pajak, T.F.; Weber, R.; Morrison, W.; Glisson, B.; Trotti, A.; Ridge, J.A.; Chao, C.; et al. Concurrent Chemotherapy and Radiotherapy for Organ Preservation in Advanced Laryngeal Cancer. N. Engl. J. Med. 2003, 349, 2091–2098. [Google Scholar] [CrossRef] [PubMed]
- Lefebvre, J.L. Surgery for Laryngopharyngeal SCC in the Era of Organ Preservation. Clin. Exp. Otorhinolaryngol. 2009, 2, 159–163. [Google Scholar] [CrossRef]
- Urba, S.; Wofl, G.; Eisbruch, A.; Worden, F.; Lee, J.; Bradford, C.; Teknos, T.; Chepeha, D.; Prince, M.; Hogikyan, N.; et al. Single-cycle induction chemotherapy selects patients with advanced laryngeal cancer for combined chemoradiation: A new treatment paradigm. J. Clin. Oncol. 2006, 24, 593–598. [Google Scholar] [CrossRef] [PubMed]
- Lefebvre, J.-L.; Andry, G.; Chevalier, D.; Luboinski, B.; Collette, L.; Traissac, L.; de Raucourt, D.; Langendijk, J.A. Laryngeal preservation with induction chemotherapy for hypopharyngeal squamous cell carcinoma: 10-year results of EORTC trial 24891. Ann. Oncol. 2012, 23, 2708–2714. [Google Scholar] [CrossRef]
- Dagan, O.; Moore, A.; Nachalon, Y.; Alkan, U.; Biadsee, A.; Shochat, I.; Popovtzer, A. Induction chemotherapy for locally advanced laryngeal and hypopharyngeal cancer: Single institution experience. Head Neck 2020, 42, 3118–3124. [Google Scholar] [CrossRef]
- Cohen, E.E.; Karrison, T.G.; Kocherginsky, M.; Mueller, J.; Egan, R.; Huang, C.H.; Brockstein, B.E.; Agulnik, M.B.; Mittal, B.B.; Yunus, F.; et al. Phase III Randomized Trial of Induction Chemotherapy in Patients with N2 or N3 Locally Advanced Head and Neck Cancer. J. Clin. Oncol. 2014, 32, 2735–2743. [Google Scholar] [CrossRef] [PubMed]
- Haddad, R.; O’Neill, A.; Rabinowits, G.; Tishler, R.; Khuri, F.; Adkins, D.; Clark, J.; Sarlis, N.; Lorch, J.; Beitler, J.J.; et al. Induction chemotherapy followed by concurrent chemoradiotherapy (sequential chemoradiotherapy) versus concurrent chemoradiotherapy alone in locally advanced head and neck cancer (PARADIGM): A randomised phase 3 trial. Lancet Oncol. 2013, 14, 257–264. [Google Scholar] [CrossRef]
- Schwartz, L.H.; Litière, S.; De Vries, E.; Ford, R.; Gwyther, S.; Mandrekar, S.; Shankar, L.; Bogaerts, J.; Chen, A.; Dancey, J.; et al. RECIST 1.1—Update and clarification: From the RECIST committee. Eur. J. Cancer 2016, 62, 132–137. [Google Scholar] [CrossRef] [PubMed]
- Cox, J.D.; Stetz, J.; Pajak, T.F. Toxicity criteria of the Radiation Therapy Oncology Group (RTOG) and the European organization for research and treatment of cancer (EORTC). Int. J. Radiat. Oncol. 1995, 31, 1341–1346. [Google Scholar] [CrossRef]
- Forastiere, A.A.; Zhang, Q.; Weber, R.S.; Maor, M.H.; Goepfert, H.; Pajak, T.F.; Morrison, W.H.; Glisson, B.S.; Trotti, A.; Ridge, J.A.; et al. Long-Term Results of RTOG 91-11: A Comparison of Three Nonsurgical Treatment Strategies to Preserve the Larynx in Patients with Locally Advanced Larynx Cancer. J. Clin. Oncol. 2013, 31, 845–852. [Google Scholar] [CrossRef] [PubMed]
- Rades, D.; Schroeder, U.; Bajrovic, A.; Schild, S.E. Radiochemotherapy versus surgery plus radio(chemo)therapy for stage T3/T4 larynx and hypopharynx cancer—Results of a matched-pair analysis. Eur. J. Cancer 2011, 47, 2729–2734. [Google Scholar] [CrossRef]
- Iwae, S.; Fujii, M.; Hayashi, R.; Hasegawa, Y.; Fujii, T.; Okami, K.; Homma, A.; Onitsuka, T.; Kato, T.; Ogawa, T.; et al. Matched-pair analysis of patients with advanced hypopharyngeal cancer: Surgery versus concomitant chemoradiotherapy. Int. J. Clin. Oncol. 2017, 22, 1001–1008. [Google Scholar] [CrossRef]
- Roberts, J.C.; Li, G.; Reitzel, L.R.; Wei, Q.; Sturgis, E.M. No Evidence of Sex-Related Survival Disparities among Head and Neck Cancer Patients Receiving Similar Multidisciplinary Care: A Matched-Pair Analysis. Clin. Cancer Res. 2010, 16, 5019–5027. [Google Scholar] [CrossRef]
- Schrank, T.P.; Han, Y.; Weiss, H.; Resto, V.A. Case-matching analysis of head and neck squamous cell carcinoma in racial and ethnic minorities in the United States-Possible role for human papillomavirus in survival disparities. Head Neck 2011, 33, 45–53. [Google Scholar] [CrossRef]
- Oh, J.; Prisman, E.; Olson, R.; Berthelet, E.; Wu, J.; Tran, E.; Bakos, B.; Kaviani, R.; Hamilton, S.N. Primary organ preservation vs total laryngectomy for T4a larynx cancer. Head Neck 2019, 41, 3265–3275. [Google Scholar] [CrossRef]
- Karlsson, T.R.; Al-Azzawe, M.; Aziz, L.; Hurman, D.; Finizia, C. Survival outcome depending on different treatment strategies in advanced stages III and IV laryngeal cancers: An audit of data from two European centers. Eur. Arch. Otorhinolaryngol. 2014, 271, 547–554. [Google Scholar] [CrossRef]
- Al-Gilani, M.; Skillington, S.A.; Kallogjeri, D.; Haughey, B.; Piccirillo, J.F. Surgical vs Nonsurgical Treatment Modalities for T3 Glottic Squamous Cell Carcinoma. JAMA Otolaryngol. Neck Surg. 2016, 142, 940–946. [Google Scholar] [CrossRef]
- Gau, M.; Karabajakian, A.; Reverdy, T.; Neidhardt, E.-M.; Fayette, J. Induction chemotherapy in head and neck cancers: Results and controversies. Oral Oncol. 2019, 95, 164–169. [Google Scholar] [CrossRef]
- Semrau, S.; Haderlein, M.; Schmidt, D.; Lell, M.; Wolf, W.; Waldfahrer, F.; Uder, M.; Iro, H.; Kuwert, T.; Fietkau, R. Single-cycle induction chemotherapy followed by chemoradiotherapy or surgery in patients with head and neck cancer: What are the best predictors of remission and prognosis? Cancer 2014, 121, 1214–1222. [Google Scholar] [CrossRef] [PubMed]
- Wolf, G.T.; Bellile, E.; Eisbruch, A.; Urba, S.; Bradford, C.R.; Peterson, L.; Prince, M.E.; Teknos, T.N.; Chepeha, D.B.; Hogikyan, N.D.; et al. Survival Rates Using Individualized Bioselection Treatment Methods in Patients With Advanced Laryngeal Cancer. JAMA Otolaryngol. Neck Surg. 2017, 143, 355–366. [Google Scholar] [CrossRef]
- Guo, B.; Ouyang, F.; Ouyang, L.; Huang, X.; Chen, H.; Guo, T.; Yang, S.-M.; Meng, W.; Liu, Z.; Zhou, C.; et al. A Nomogram for Pretreatment Prediction of Response to Induction Chemotherapy in Locally Advanced Hypopharyngeal Carcinoma. Front. Oncol. 2020, 10. [Google Scholar] [CrossRef]
- Kim, J.W.; Kim, M.S.; Kim, S.-H.; Kim, J.H.; Lee, C.G.; Kim, G.E.; Keum, K.C. Definitive Chemoradiotherapy Versus Surgery Followed by Adjuvant Radiotherapy in Resectable Stage III/IV Hypopharyngeal Cancer. Cancer Res. Treat. 2016, 48, 45–53. [Google Scholar] [CrossRef]
- Timme, D.W.; Jonnalagadda, S.; Patel, R.; Rao, K.; Robbins, T. Treatment Selection for T3/T4a Laryngeal Cancer: Chemoradiation Versus Primary Surgery. Ann. Otol. Rhinol. Laryngol. 2015, 124, 845–851. [Google Scholar] [CrossRef] [PubMed]
- Okano, S.; Homma, A.; Kiyota, N.; Tahara, M.; Hanai, N.; Asakage, T.; Matsuura, K.; Ogawa, T.; Saito, Y.; Sano, D.; et al. Induction chemotherapy in locally advanced squamous cell carcinoma of the head and neck. Jpn. J. Clin. Oncol. 2021, 51, 173–179. [Google Scholar] [CrossRef] [PubMed]







| Characteristics | All Patients N = 120 (%) | Surgery Group N = 60 (%) | Organ Preservation Group N = 60 (%) | P1 |
|---|---|---|---|---|
| Age | ||||
| <55 years | 38 (32) | 19 (32) | 19 (32) | Matched |
| 55–59 years | 28 (23) | 14 (23) | 14 (23) | |
| >59 years | 54 (45) | 27 (45) | 27 (45) | |
| Gender | ||||
| Female | 10 (8) | 5 (8) | 5 (8) | Matched |
| Male | 110 (92) | 55 (92) | 55 (92) | |
| Alcohol | ||||
| No-light drinker | 56 (46) | 34 (56) | 25 (41) | 0.14 |
| Moderate-heavy drinker | 64 (54) | 26 (44) | 35 (59) | |
| Tobacco | ||||
| No-light smoker | 56 (46) | 41 (68) | 15 (25) | 0.1 |
| Moderate-heavy smoker | 64 (54) | 19 (32) | 45 (75) | |
| Location | ||||
| Hypopharynx | 54 (45) | 26 (43) | 28 (47) | |
| Larynx | 66 (55) | 34 (57) | 32 (53) | 0.71 |
| Glottis | 21 (32) | 12 (35) | 9 (28) | |
| Supraglottis | 45 (68) | 22 (65) | 23 (72) | 0.68 |
| T classification | ||||
| 2 | 4 (3) | 2 (3) | 2 (3) | Matched |
| 3 | 102 (85) | 54 (85) | 54 (85) | |
| 4 | 14 (12) | 7 (12) | 7 (12) | |
| N classification | ||||
| N0 | 52 (43) | 26 (43) | 26 (43) | Matched |
| N1 | 16 (13) | 8 (13) | 8 (13) | |
| N2 | 48 (40) | 24 (40) | 24 (40) | |
| N3 | 4 (3) | 2 (3) | 2 (3) | |
| Disease stage | ||||
| III | 65 (54) | 31 (52) | 34 (57) | 0.9 |
| IV | 55 (46) | 29 (48) | 26 (43) | |
| Histological grade | ||||
| G1 | 43 (36) | 22 (37) | 21 (35) | 0.9 |
| G2 | 46 (38) | 22 (37) | 24 (40) | |
| G3 | 31 (26) | 16 (26) | 15 (25) | |
| Follow-up mean (median), months | 62 (49) | 61 (40) | 63 (54) | 0.41 |
| Toxicities | Induction Chemotherapy N = 60 (%) | Concurrent Chemoradiation N = 29 (%) |
|---|---|---|
| No toxicity | 11 (18) | 4 (14) |
| Mucositis | 11 (13) | 25 (86) |
| Neutropenia | 3 (5) | 4 (14) |
| Diarrhea and sickness | 6 (10) | 12 (41) |
| Renal tubulopathy | 8 (13) | 5 (17) |
| Radiodermatitis | 0 | 12 (41) |
| Other * | 1 | 0 |
| Cox’s Regression Analysis on Matching Variables | Value |
|---|---|
| Overall Survival | |
| Hazard ratio | 0.758 |
| 95% Confidence interval | 0.48–1.18 |
| P | 0.22 |
| Disease-Specific Survival | |
| Hazard ratio | 0.984 |
| 95% Confidence interval | 0.52–1.83 |
| P | 0.96 |
Publisher’s Note: MDPI stays neutral with regard to jurisdictional claims in published maps and institutional affiliations. |
© 2021 by the authors. Licensee MDPI, Basel, Switzerland. This article is an open access article distributed under the terms and conditions of the Creative Commons Attribution (CC BY) license (https://creativecommons.org/licenses/by/4.0/).
Share and Cite
García-Cabo, P.; López, F.; Sánchez-Canteli, M.; Fernández-Vañes, L.; Álvarez-Marcos, C.; Llorente, J.L.; Rúa, M.Á.d.l.; Blay, P.; Rodrigo, J.P. Matched-Pair Analysis of Survival in the Patients with Advanced Laryngeal and Hypopharyngeal Squamous Cell Carcinoma Treated with Induction Chemotherapy Plus Chemo-Radiation or Total Laryngectomy. Cancers 2021, 13, 1735. https://doi.org/10.3390/cancers13071735
García-Cabo P, López F, Sánchez-Canteli M, Fernández-Vañes L, Álvarez-Marcos C, Llorente JL, Rúa MÁdl, Blay P, Rodrigo JP. Matched-Pair Analysis of Survival in the Patients with Advanced Laryngeal and Hypopharyngeal Squamous Cell Carcinoma Treated with Induction Chemotherapy Plus Chemo-Radiation or Total Laryngectomy. Cancers. 2021; 13(7):1735. https://doi.org/10.3390/cancers13071735
Chicago/Turabian StyleGarcía-Cabo, Patricia, Fernando López, Mario Sánchez-Canteli, Laura Fernández-Vañes, César Álvarez-Marcos, José Luis Llorente, Maria Ángeles de la Rúa, Pilar Blay, and Juan P. Rodrigo. 2021. "Matched-Pair Analysis of Survival in the Patients with Advanced Laryngeal and Hypopharyngeal Squamous Cell Carcinoma Treated with Induction Chemotherapy Plus Chemo-Radiation or Total Laryngectomy" Cancers 13, no. 7: 1735. https://doi.org/10.3390/cancers13071735
APA StyleGarcía-Cabo, P., López, F., Sánchez-Canteli, M., Fernández-Vañes, L., Álvarez-Marcos, C., Llorente, J. L., Rúa, M. Á. d. l., Blay, P., & Rodrigo, J. P. (2021). Matched-Pair Analysis of Survival in the Patients with Advanced Laryngeal and Hypopharyngeal Squamous Cell Carcinoma Treated with Induction Chemotherapy Plus Chemo-Radiation or Total Laryngectomy. Cancers, 13(7), 1735. https://doi.org/10.3390/cancers13071735

