Inferior Outcome of Addition of the Aminopeptidase Inhibitor Tosedostat to Standard Intensive Treatment for Elderly Patients with AML and High Risk MDS
Abstract
Simple Summary
Abstract
1. Introduction
2. Results
2.1. Patients
2.2. Treatment, Response, and Outcome
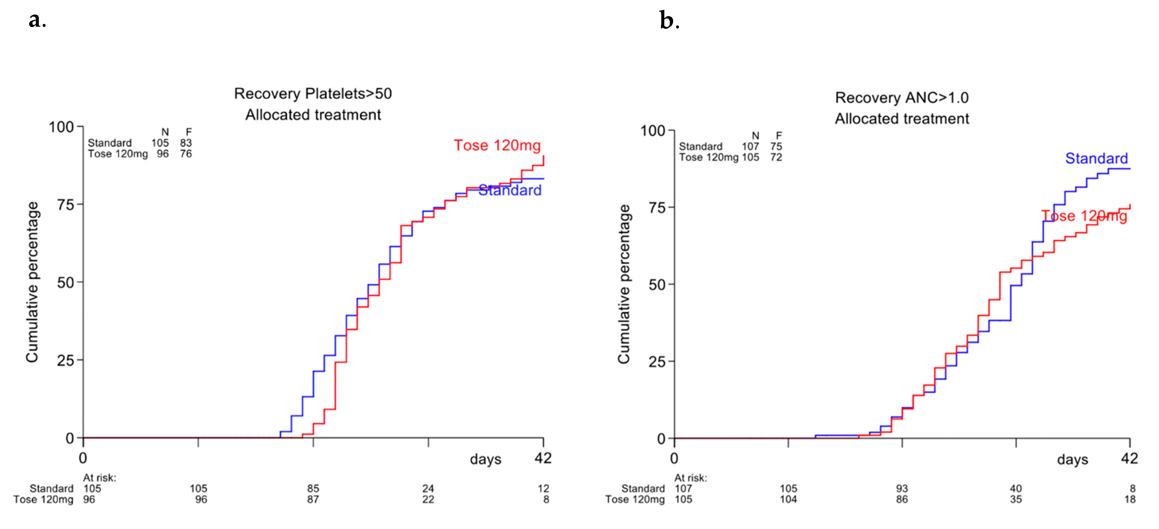
2.3. Adverse Events and Hematological Recovery
2.4. Measurable Residual Disease (MRD)
3. Discussion
4. Materials and Methods
4.1. Patients
4.2. Risk Classification
4.3. Study Design and Chemotherapy
4.4. Statistical Analysis
5. Conclusions
Supplementary Materials
Author Contributions
Funding
Institutional Review Board Statement
Informed Consent Statement
Data Availability Statement
Acknowledgments
Conflicts of Interest
References
- Hills, R.K.; Castaigne, S.; Appelbaum, F.R.; Delaunay, J.; Petersdorf, S.; Othus, M.; Estey, E.H.; Dombret, H.; Chevret, S.; Ifrah, N.; et al. Addition of gemtuzumab ozogamicin to induction chemotherapy in adult patients with acute myeloid leukaemia: A meta-analysis of individual patient data from randomised controlled trials. Lancet Oncol. 2014, 15, 986–996. [Google Scholar] [CrossRef]
- Lancet, J.E.; Uy, G.L.; Cortes, J.E.; Newell, L.F.; Lin, T.L.; Ritchie, E.K.; Stuart, R.K.; Strickland, S.A.; Hogge, D.; Solomon, S.R.; et al. CPX-351 (cytarabine and daunorubicin) Liposome for Injection Versus Conventional Cytarabine Plus Daunorubicin in Older Patients With Newly Diagnosed Secondary Acute Myeloid Leukemia. J. Clin. Oncol. Off. J. Am. Soc. Clin. Oncol. 2018, 36, 2684–2692. [Google Scholar] [CrossRef] [PubMed]
- Levin-Epstein, R.; Oliai, C.; Schiller, G. Allogeneic Hematopoietic Stem Cell Transplantation for Older Patients with Acute Myeloid Leukemia. Curr. Treat. Options Oncol. 2018, 19, 63. [Google Scholar] [CrossRef] [PubMed]
- Dinardo, C.D.; Pratz, K.; Pullarkat, V.; Jonas, B.A.; Arellano, M.; Becker, P.S.; Frankfurt, O.; Konopleva, M.; Wei, A.H.; Kantarjian, H.M.; et al. Venetoclax combined with decitabine or azacitidine in treatment-naive, elderly patients with acute myeloid leukemia. Blood 2019, 133, 7–17. [Google Scholar] [CrossRef] [PubMed]
- DiNardo, C.D.; Lachowiez, C.; Borthakur, G.; Loghavi, S.; Zeng, Z. Phase IB/II Study of the IDH1-Mutant Inhibitor Ivosidenib with the BCL2 Inhibitor Venetoclax +/- Azacitidine in IDH1-Mutated Hematologic Malignancies; Abstract presented at EHA Virtual 2020; EHA Virtual: Brussels, Belgium, 2020. [Google Scholar]
- DiNardo, C.D.; Schuh, A.; Stein, E.; Montesinos, P.; Wei, A.; de Botton, S.; Zeidan, A.; Fathi, A.; Quek, L.; Kantarjian, H.; et al. Enasidenib Plus Azacitidine Significantly Improves Complete Remission and Overall Response Rates versus Azacitidine Monotherapy in Mutant-IDH2 Newly Diagnosed Acute Myeloid Leukemia (ND-AML); Abstract presented at EHA virtual 2020; EHA Virtual: Brussels, Belgium, 2020. [Google Scholar]
- Ossenkoppele, G.J.; Breems, D.A.; Stuessi, G.; van Norden, Y.; Bargetzi, M.; Biemond, B.J.; von dem Borne, P.A.; Chalandon, Y.; Cloos, J.; Deeren, D.; et al. Lenalidomide added to standard intensive treatment for older patients with AML and high-risk MDS. Leukemia 2020, 34, 1751–1759. [Google Scholar] [CrossRef] [PubMed]
- Krige, D.; Needham, L.A.; Bawden, L.J.; Flores, N.; Farmer, H.; Miles, L.E.; Stone, E.; Callaghan, J.; Chandler, S.; Clark, V.L.; et al. CHR-2797: An Antiproliferative Aminopeptidase Inhibitor that Leads to Amino Acid Deprivation in Human Leukemic Cells. Cancer Res. 2008, 68, 6669–6679. [Google Scholar] [CrossRef] [PubMed]
- Löwenberg, B.; Morgan, G.J.; Ossenkoppele, G.J.; Burnett, A.K.; Zachee, P.; Dührsen, U.; Dierickx, D.; Müller-Tidow, C.; Sonneveld, P.; Krug, U.; et al. Phase I/II Clinical Study of Tosedostat, an Inhibitor of Aminopeptidases, in Patients With Acute Myeloid Leukemia and Myelodysplasia. J. Clin. Oncol. 2010, 28, 4333–4338. [Google Scholar] [CrossRef] [PubMed]
- Jenkins, C.; Hewamana, S.; Krige, D.; Pepper, C.; Burnett, A. Aminopeptidase inhibition by the novel agent CHR-2797 (tosedostat) for the therapy of acute myeloid leukemia. Leuk. Res. 2011, 35, 677–681. [Google Scholar] [CrossRef]
- Cortes, J.; Feldman, E.; Yee, K.; Rizzieri, D.; Advani, A.S.; Charman, A.; Spruyt, R.; Toal, M.; Kantarjian, H. Two dosing regimens of tosedostat in elderly patients with relapsed or refractory acute myeloid leukaemia (OPAL): A randomised open-label phase 2 study. Lancet Oncol. 2013, 14, 354–362. [Google Scholar] [CrossRef]
- Mawad, R.; Becker, P.S.; Hendrie, P.; Scott, B.L.; Wood, B.L.; Dean, C.; Sandhu, V.; Deeg, H.J.; Walter, R.B.; Wang, L.; et al. Phase II study of tosedostat with cytarabine or decitabine in newly diagnosed older patients with acute myeloid leukaemia or high-risk MDS. Br. J. Haematol. 2015, 172, 238–245. [Google Scholar] [CrossRef] [PubMed]
- Visani, G.; Loscocco, F.; Dennis, M.; Zuffa, E.; Candoni, A.; Sensi, A.; Giannini, B.; Musuraca, G.; Mianulli, A.M.; Clavio, M.; et al. Gene expression profile predicts response to the combination of tosedostat and low-dose cytarabine in elderly AML. Blood Adv. 2020, 4, 5040–5049. [Google Scholar] [CrossRef] [PubMed]
- Lkhagvaa, B.; Tani, K.; Sato, K.; Toyoda, Y.; Suzuka, C.; Sone, S. Bestatin, an inhibitor for aminopeptidases, modulates the production of cytokines and chemokines by activated monocytes and macrophages. Cytokine 2008, 44, 386–391. [Google Scholar] [CrossRef] [PubMed]
- Chi, H. Regulation and function of mTOR signalling in T cell fate decisions. Nat. Rev. Immunol. 2012, 12, 325–338. [Google Scholar] [CrossRef] [PubMed]
- Horwitz, D.A.; Allison, A.C.; Ward, P.; Kight, N. Identification of human mononuclear leucocyte populations by esterase staining. Clin. Exp. Immunol. 1977, 30, 289–298. [Google Scholar] [PubMed]
- Stylianou, M.; Kulesskiy, E.; Lopes, J.P.; Granlund, M.; Wennerberg, K.; Urban, C.F. Antifungal Application of Nonantifungal Drugs. Antimicrob. Agents Chemother. 2013, 58, 1055–1062. [Google Scholar] [CrossRef] [PubMed]
- Wei, A.H.; Montesinos, P.; Ivanov, V.; DiNardo, C.D.; Novak, J.; Laribi, K.; Kim, I.; Stevens, D.A.; Fiedler, W.; Pagoni, M.; et al. Venetoclax plus LDAC for newly diagnosed AML ineligible for intensive chemotherapy: A phase 3 randomized placebo-controlled trial. Blood 2020, 135, 2137–2145. [Google Scholar] [CrossRef] [PubMed]
- Dinardo, C.D.; Jonas, B.A.; Pullarkat, V.; Thirman, M.J.; Garcia, J.S.; Wei, A.H.; Konopleva, M.; Döhner, H.; Letai, A.; Fenaux, P.; et al. Azacitidine and Venetoclax in Previously Untreated Acute Myeloid Leukemia. N. Engl. J. Med. 2020, 383, 617–629. [Google Scholar] [CrossRef] [PubMed]
- Terwijn, M.; Van Putten, W.L.; Kelder, A.; Van Der Velden, V.H.J.; Brooimans, R.A.; Pabst, T.; Maertens, J.; Boeckx, N.; De Greef, G.E.; Valk, P.J.; et al. High Prognostic Impact of Flow Cytometric Minimal Residual Disease Detection in Acute Myeloid Leukemia: Data From the HOVON/SAKK AML 42A Study. J. Clin. Oncol. 2013, 31, 3889–3897. [Google Scholar] [CrossRef] [PubMed]
- Döhner, H.; Estey, E.H.; Amadori, S.; Appelbaum, F.R.; Büchner, T.; Burnett, A.K.; Dombret, H.; Fenaux, P.; Grimwade, D.; Larson, R.A.; et al. Diagnosis and management of acute myeloid leukemia in adults: Recommendations from an international expert panel, on behalf of the European LeukemiaNet. Blood 2010, 115, 453–474. [Google Scholar] [CrossRef] [PubMed]



| Standard Arm (n = 115) | Tosedostat 120 mg (n = 116) | Total | |
|---|---|---|---|
| Sex | |||
| M | 72 (63%) | 76 (66%) | 148 (64%) |
| F | 43 (37%) | 40 (34%) | 83 (36%) |
| Age groups | |||
| ≤70 years | 72 (63%) | 64 (55%) | 136 (59%) |
| >70 years | 43 (37%) | 52 (45%) | 95 (41%) |
| Age | |||
| Mean; SD | 69.9; 3.26 | 70.7; 3.75 | 70.3; 3.53 |
| Median; range | 69; 66–79 | 70; 66–81 | 70; 66–81 |
| WHO performance | |||
| 0 | 63 (55%) | 54 (47%) | 117 (51%) |
| 1 | 43 (37%) | 50 (43%) | 93 (40%) |
| 2 | 8 (7%) | 11 (9%) | 19 (8%) |
| NA | 1 (1%) | 1 (1%) | 2 (1%) |
| Diagnosis | |||
| MDS | 15 (13%) | 16 (14%) | 31 (13%) |
| AML | 100 (87%) | 100 (86%) | 200 (87%) |
| Prior HM | |||
| No | 109 (95%) | 106 (93%) | 215 (94%) |
| Yes | 6 (5%) | 8 (7%) | 14 (6%) |
| AML risk group (acc. to HOVON 103 protocol) * | |||
| Good | 8 (7%) | 2 (2%) | 10 (4%) |
| Intermediate | 35 (30%) | 39 (34%) | 74 (32%) |
| Poor | 60 (52%) | 57 (49%) | 117 (51%) |
| Very poor | 12 (10%) | 18 (16%) | 30 (13%) |
| NPM1 mutation | |||
| Neg | 51 (44%) | 53 (46%) | 104 (45%) |
| Pos | 19 (17%) | 19 (16%) | 38 (16%) |
| NA | 45 (39%) | 44 (38%) | 89 (39%) |
| FLT3ITD | |||
| Neg | 60 (52%) | 67 (58%) | 127 (55%) |
| Pos | 12 (10%) | 7 (6%) | 19 (8%) |
| NA | 43 (37%) | 42 (36%) | 85 (37%) |
| FLT3 TKD835 | |||
| Neg | 33 (29%) | 31 (27%) | 64 (28%) |
| Pos | 2 (2%) | 3 (3%) | 5 (2%) |
| NA | 80 (70%) | 82 (71%) | 162 (70%) |
| EVI1 overexpression | |||
| Neg | 65 (57%) | 61 (53%) | 126 (55%) |
| Pos | 8 (7%) | 11 (9%) | 19 (8%) |
| NA | 42 (37%) | 44 (38%) | 86 (37%) |
| CEBPA DM | |||
| Neg | 63 (55%) | 68 (59%) | 131 (57%) |
| Pos | 4 (3%) | 2 (2%) | 6 (3%) |
| NA | 48 (42%) | 46 (40%) | 94 (41%) |
| FLT3ITD × NPM1 mutation | |||
| Pos × Pos | 9 (8%) | 5 (4%) | 14 (6%) |
| Pos × neg | 3 (3%) | 1 (1%) | 4 (2%) |
| Neg × Pos | 10 (9%) | 14 (12%) | 24 (10%) |
| Neg × Neg | 47 (41%) | 50 (43%) | 97 (42%) |
| NA | 46 (40%) | 46 (40%) | 92 (40%) |
| Standard Treatment | Tosedostat 120 mg | HR (95%-C.I.) | p | |
|---|---|---|---|---|
| Complete remission (CR/CRi) (95% C.I.) | 69% (60–77) | 64% (55–73) | 0.431 | |
| CR/CRi (after cycle I) | 54% | 56% | ||
| PR (after cycle 1) | 4% | 5% | ||
| RD (after cycle 1) | 24% | 18% | ||
| PR (after cycle 2) | 0% | 0% | ||
| RD (after cycle 2) | 6% | 6% | ||
| Death within 30 days | 8% | 19% | ||
| Death within 60 days | 19% | 28% | ||
| OS at 2 years | 33 | 18 | 1.51 (1.12–2.03) | 0.006 |
| EFS at 2 years | 20 | 12 | 1.44 (1.08–1.90) | 0.01 |
| DFS at 2 years | 28 | 17 | 1.51 (1.06–2.16) | 0.02 |
Publisher’s Note: MDPI stays neutral with regard to jurisdictional claims in published maps and institutional affiliations. |
© 2021 by the authors. Licensee MDPI, Basel, Switzerland. This article is an open access article distributed under the terms and conditions of the Creative Commons Attribution (CC BY) license (http://creativecommons.org/licenses/by/4.0/).
Share and Cite
Janssen, J.; Löwenberg, B.; Manz, M.; Bargetzi, M.; Biemond, B.; von dem Borne, P.; Breems, D.; Brouwer, R.; Chalandon, Y.; Deeren, D.; et al. Inferior Outcome of Addition of the Aminopeptidase Inhibitor Tosedostat to Standard Intensive Treatment for Elderly Patients with AML and High Risk MDS. Cancers 2021, 13, 672. https://doi.org/10.3390/cancers13040672
Janssen J, Löwenberg B, Manz M, Bargetzi M, Biemond B, von dem Borne P, Breems D, Brouwer R, Chalandon Y, Deeren D, et al. Inferior Outcome of Addition of the Aminopeptidase Inhibitor Tosedostat to Standard Intensive Treatment for Elderly Patients with AML and High Risk MDS. Cancers. 2021; 13(4):672. https://doi.org/10.3390/cancers13040672
Chicago/Turabian StyleJanssen, Jeroen, Bob Löwenberg, Markus Manz, Mario Bargetzi, Bart Biemond, Peter von dem Borne, Dimitri Breems, Rolf Brouwer, Yves Chalandon, Dries Deeren, and et al. 2021. "Inferior Outcome of Addition of the Aminopeptidase Inhibitor Tosedostat to Standard Intensive Treatment for Elderly Patients with AML and High Risk MDS" Cancers 13, no. 4: 672. https://doi.org/10.3390/cancers13040672
APA StyleJanssen, J., Löwenberg, B., Manz, M., Bargetzi, M., Biemond, B., von dem Borne, P., Breems, D., Brouwer, R., Chalandon, Y., Deeren, D., Efthymiou, A., Gjertsen, B.-T., Graux, C., Gregor, M., Heim, D., Hess, U., Hoogendoorn, M., Jaspers, A., Jie, A., ... Ossenkoppele, G. (2021). Inferior Outcome of Addition of the Aminopeptidase Inhibitor Tosedostat to Standard Intensive Treatment for Elderly Patients with AML and High Risk MDS. Cancers, 13(4), 672. https://doi.org/10.3390/cancers13040672

