Sign in to use this feature.

Years

Between: -

Subjects

remove_circle_outline
remove_circle_outline

Journals

Article Types

Countries / Regions

Search Results (1)

Search Parameters:
Keywords = tosedostat

Order results
Result details
Results per page
Select all
Export citation of selected articles as:
11 pages, 1502 KB  
Article
Inferior Outcome of Addition of the Aminopeptidase Inhibitor Tosedostat to Standard Intensive Treatment for Elderly Patients with AML and High Risk MDS
by Jeroen Janssen, Bob Löwenberg, Markus Manz, Mario Bargetzi, Bart Biemond, Peter von dem Borne, Dimitri Breems, Rolf Brouwer, Yves Chalandon, Dries Deeren, Anna Efthymiou, Bjørn-Tore Gjertsen, Carlos Graux, Michael Gregor, Dominik Heim, Urs Hess, Mels Hoogendoorn, Aurelie Jaspers, Asiong Jie, Mojca Jongen-Lavrencic, Saskia Klein, Marjolein van der Klift, Jürgen Kuball, Danielle van Lammeren-Venema, Marie-Cecile Legdeur, Arjan van de Loosdrecht, Johan Maertens, Marinus van Marwijk Kooy, Ine Moors, Marten Nijziel, Florence van Obbergh, Margriet Oosterveld, Thomas Pabst, Marjolein van der Poel, Harm Sinnige, Olivier Spertini, Wim Terpstra, Lidwine Tick, Walter van der Velden, Marie-Christiane Vekemans, Edo Vellenga, Okke de Weerdt, Peter Westerweel, Georg Stüssi, Yvette van Norden and Gert Ossenkoppeleadd Show full author list remove Hide full author list
Cancers 2021, 13(4), 672; https://doi.org/10.3390/cancers13040672 - 7 Feb 2021
Cited by 12 | Viewed by 3791
Abstract
Treatment results of AML in elderly patients are unsatisfactory. We hypothesized that addition of tosedostat, an aminopeptidase inhibitor, to intensive chemotherapy may improve outcome in this population. After establishing a safe dose in a run-in phase of the study in 22 patients, 231 [...] Read more.
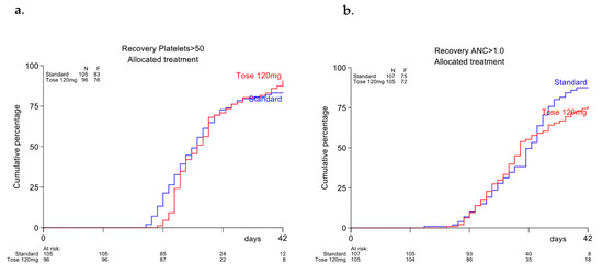
Treatment results of AML in elderly patients are unsatisfactory. We hypothesized that addition of tosedostat, an aminopeptidase inhibitor, to intensive chemotherapy may improve outcome in this population. After establishing a safe dose in a run-in phase of the study in 22 patients, 231 eligible patients with AML above 65 years of age (median 70, range 66–81) were randomly assigned in this open label randomized Phase II study to receive standard chemotherapy (3+7) with or without tosedostat at the selected daily dose of 120 mg (n = 116), days 1–21. In the second cycle, patients received cytarabine 1000 mg/m2 twice daily on days 1-6 with or without tosedostat. CR/CRi rates in the 2 arms were not significantly different (69% (95% C.I. 60–77%) vs 64% (55–73%), respectively). At 24 months, event-free survival (EFS) was 20% for the standard arm versus 12% for the tosedostat arm (Cox-p = 0.01) and overall survival (OS) 33% vs 18% respectively (p = 0.006). Infectious complications accounted for an increased early death rate in the tosedostat arm. Atrial fibrillation was more common in the tosedostat arm as well. The results of the present study show that the addition of tosedostat to standard chemotherapy does negatively affect the therapeutic outcome of elderly AML patients. Full article
(This article belongs to the Section Clinical Research of Cancer)
Show Figures

Figure 1

Back to TopTop