Blocking Estrogen Synthesis Leads to Different Hormonal Responses in Canine and Human Triple Negative Inflammatory Breast Cancer
Simple Summary
Abstract
1. Introduction
2. Materials and Methods
2.1. Inflammatory Breast Cancer Cell Lines
2.2. Treatments
2.3. Cell Viability Assay (MTS Assay)
2.4. Experimental Animals and Treatment
2.5. Steroid Determinations in Culture Media, Serum, and Tumor Homogenates
2.6. Statistics
3. Results
3.1. Deprivation of Estrogen Production Produced an Anti-Proliferative Effect in Cultured Conditions
3.2. Inhibition of Estrogen Production Promotes Androgen Secretion in Cultured Conditions
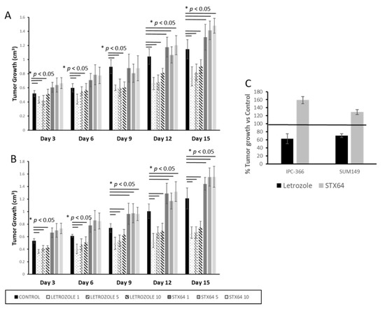
3.3. Letrozole Treatment Reduced Tumor Progression While STX-64 Promoted Tumor Progression
3.4. Letrozole and STX-64 Induced Different Intratumoral and Circulating Hormonal Responses in Xenograft Mice
4. Discussion
5. Conclusions
Author Contributions
Funding
Institutional Review Board Statement
Informed Consent Statement
Data Availability Statement
Acknowledgments
Conflicts of Interest
References
- Krauss, K.; Stickeler, E. Endocrine Therapy in Early Breast Cancer. Breast Care 2020, 15, 337–346. [Google Scholar] [CrossRef] [PubMed]
- McNamara, K.M.; Sasano, H. The intracrinology of breast cancer. J. Steroid Biochem. Mol. Biol. 2015, 145, 172–178. [Google Scholar] [CrossRef] [PubMed]
- Bulun, S.; Chen, D.; Moy, I.; Brooks, D.; Zhao, H. Aromatase, breast cancer and obesity, a complex interaction. Trends Endocrionol. Metab. 2012, 23, 83–89. [Google Scholar] [CrossRef]
- Manna, S.; Holz, M.K. Tamoxifen Action in ER-Negative Breast Cancer. Signal Transduct. Insights 2016, 5, STI-29901. [Google Scholar] [CrossRef]
- Gobbi, S.; Rampa, A.; Belluti, F.; Bisi, A. Nonsteroidal aromatase inhibitors for the treatment of breast cancer: An update. Anticancer Agents Med. Chem. 2014, 14, 54–65. [Google Scholar] [CrossRef] [PubMed]
- Sang, X.; Han, H.; Poirier, D.; Lin, S. Steroid sulfatase inhibition success and limitation in breast cancer clinical assays: An underlying mechanism. J. Steroid Biochem. Mol. Biol. 2018, 183, 80–93. [Google Scholar] [CrossRef]
- Chumsri, S. Clinical utilities of aromatase inhibitors in breast cancer. Int. J. Womens Health 2015, 7, 493–499. [Google Scholar] [CrossRef]
- Foster, P. Steroid Sulphatase and Its Inhibitors: Past, Present and Future. Molecules 2021, 26, 2852. [Google Scholar] [CrossRef]
- Treeck, O.; Schüler-Toprak, S.; Ortmann, O. Estrogen Actions in Triple-Negative Breast Cancer. Cells 2020, 9, 2358. [Google Scholar] [CrossRef]
- Caceres, S.; Peña, L.; Silvan, G.; Illera, M.J.; Woodward, W.A.; Reuben, J.M.; Illera, J.C. Steroid tumour environment in male and female mice model of canine and human inflammatory breast cancer. Biomed. Res. Int. 2016, 2016, 8909878. [Google Scholar] [CrossRef]
- Alonso-Diez, A.; Caceres, S.; Peña, L.; Crespo, B.; Illera, J.C. Anti-Angiogenic Treatments Interact with Steroid Secretion in Inflammatory Breast Cancer Triple Negative Cell Lines. Cancers 2021, 13, 3668. [Google Scholar] [CrossRef] [PubMed]
- Barkataki, S.; Javadekar, M.J.; Bradfield, P.; Murphy, T.; Witmer, D.D.; Van Golen, K.L. Inflammatory Breast Cancer: A Panoramic Overview. J. Rare Dis. Res. Treat. 2018, 3, 37–43. [Google Scholar]
- Jansen, M.P.; Sas, L.; Sieuwerts, A.M.; Van Cauwenberghe, C.; Ramirez-Ardila, D.; Look, M.; Ruigrok-Ritstier, K.; Finetti, P.; Bertucci, F.; Timmermans, M.M.; et al. Decreased expression of ABAT and STC2 hallmarks ER-positive inflammatory breast cancer and endocrine therapy resistance in advanced disease. Mol. Oncol. 2015, 9, 1218–1233. [Google Scholar] [CrossRef] [PubMed]
- Hather, G.; Liu, R.; Bandi, S.; Mettetal, J.; Manfredi, M.; Shyu, W.-C.; Donelan, J.; Chakravarty, A. Growth Rate Analysis and Efficient Experimental Design for Tumor Xenograft Studies. Cancer Inform. 2014, 13, 65–72. [Google Scholar] [CrossRef] [PubMed]
- Purohit, S.K.; Chander, L.W.L.; Woo, M.F.C.; Parsons, R.; Jhalli, B.V.L.; Potter, A.; Reed, M.J. Inhibition of Steroid Sulphatase Activity via the Percutaneous Route: A New Option for Breast Cancer Therapy. Anticancer Res. 2008, 28, 1517–1524. [Google Scholar]
- Rashid, D.; Pandam, B.P.; Vohora, D. Reduced estradiol synthesis by letrozole, an aromatase inhibitor, is protective against development of pentylenetetrazole-induced kindling in mice. Neurochem. Int. 2015, 90, 271–274. [Google Scholar] [CrossRef]
- Queiroga, F.; Pérez-Alenza, M.; Silvan, G.; Peña, L.; Lopes, C.; Illera, J. Role of steroid hormones and prolactin in canine mammary cancer. J. Steroid Biochem. Mol. Biol. 2005, 94, 181–187. [Google Scholar] [CrossRef]
- Illera, J.C.; Caceres, S.; Pena, L.; Monsalve, B.; Illera, M.J.; Woodward, W.A.; Reuben, J.M.; Silvan, G. Steroid hormone secretion in inflammatory breast cancer cell lines. Horm. Mol. Biol. Clin. Investig. 2015, 24, 137–145. [Google Scholar] [CrossRef]
- Peña, L.; Silván, G.; Pérez-Alenza, M.D.; Nieto, A.; Illera, J.C. Steroid hormone profile of canine inflammatory mammary carcinoma: A preliminary study. J. Steroid Biochem. Mol. Biol. 2003, 84, 211–216. [Google Scholar] [CrossRef]
- Illera, J.C.; Pérez-Alenza, M.D.; Nieto, A.; Jiménez, M.A.; Silvan, G.; Dunner, S.; Peña, L. Steroids and receptors in canine mammary cancer. Steroids 2006, 71, 541–548. [Google Scholar] [CrossRef]
- Heldring, N.; Pike, A.; Andersson, S.; Matthews, J.; Cheng, G.; Hartman, J.; Tujague, M.; Strom, A.; Treuter, E.; Warner, M.; et al. Estrogen receptors: How do they signal and what are their targets. Physiol. Rev. 2007, 87, 905–931. [Google Scholar] [CrossRef]
- Honma, N.; Saji, S.; Hirose, M.; Horiguchi, S.I.; Kuroi, K.; Hayashi, S.I.; Utsumi, T.; Harada, N. Sex steroid hormones in pairs of tumour and serum from breast cancer patients and pathobiological role of androstene-3β, 17β-diol. Cancer Sci. 2011, 102, 1848–1854. [Google Scholar] [CrossRef] [PubMed]
- Abul-Hajj, Y.J.; Iverson, R.; Kiang, D.T. Metabolism of pregnenolone by human breast cancer. Evidence for 17α-hydroxylase and 17,20-lyase. Steroids 1979, 34, 817–827. [Google Scholar] [CrossRef]
- Shin, Y.Y.; Kang, E.J.; Jeong, J.S.; Kim, M.J.; Jung, E.M.; Jeung, E.B.; An, B.S. Pregnenolone as a potential candidate for hormone therapy for female reproductive disorders targeting ERβ. Mol. Reprod. Dev. 2019, 86, 109–117. [Google Scholar] [CrossRef] [PubMed]
- Caceres, S.; Monsalve, B.; Peña, L.; de Andres, P.J.; Alonso-Diez, A.; Illera, M.J.; Woodward, W.A.; Reuben, J.M.; Silvan, G.; Illera, J.C. In vitro and in vivo effect of flutamide on steroid hormone secretion in canine and human inflammatory breast cancer cell lines. Vet. Comp. Oncol. 2018, 16, 148–158. [Google Scholar] [CrossRef] [PubMed]
- McNamara, K.M.; Yoda, T.; Takagi, K.; Miki, Y.; Suzuki, T.; Sasano, H. Androgen receptor in triple negative breast cancer. J. Steroid Biochem. Mol. Biol. 2013, 133, 66–76. [Google Scholar] [CrossRef]
- Palma, C.; Criscuoli, M.; Lippi, A.; Muratori, M.; Mauro, S.; Maggi, C.A. Effect of the aromatase inhibitor MEN 11066, on growth of two different MCF-7 sublines. Eur. J. Pharmacol. 2000, 409, 93–101. [Google Scholar] [CrossRef]
- Selli, C.; Turnbull, A.K.; Pearce, D.A.; Li, A.; Fernando, A.; Wills, J.; Renshaw, L.; Thomas, J.S.; Dixon, J.M.; Sims, A.H. Molecular changes during extended neoadjuvant letrozole treatment of breast cancer: Distinguishing acquired resistance from dormant tumours. Breast Cancer Res. 2019, 21, 2. [Google Scholar] [CrossRef]
- McNamara, K.M.; Guestini, F.; Sauer, T.; Touma, J.; Bukhlom, I.R.; Lindstrom, J.C.; Sasano, H.; Geisler, J. In breast cancer subtypes steroid sulfatase (STS) is associated with less aggressive tumour characteristics. Br. J. Cancer 2018, 118, 1208–1216. [Google Scholar] [CrossRef]
- McNamara, K.M.; Yoda, T.; Nurani, A.M.; Shibahara, Y.; Miki, Y.; Wang, L.; Nakamura, Y.; Suzuki, K.; Yang, Y.; Abe, E.; et al. Androgenic pathways in the progression of triple-negative breast carcinoma: A comparison between aggressive and non-aggressive subtypes. Breast Cancer Res. Treat. 2014, 145, 281–293. [Google Scholar] [CrossRef]
- Higuchi, T.; Endo, M.; Hanamura, T.; Gohno, T.; Niwa, T.; Yamaguchi, Y.; Horiguchi, J.; Hayashi, S.I. Contribution of Estrone Sulfate to Cell Proliferation in Aromatase Inhibitor (AI)-Resistant, Hormone Receptor-Positive Breast Cancer. PLoS ONE 2016, 11, e0155844. [Google Scholar] [CrossRef] [PubMed]
- Michmerhuizen, A.R.; Spratt, D.E.; Pierce, L.J.; Speers, C.W. ARe we there yet? Understanding androgen receptor signaling in breast cancer. Breast Cancer 2020, 6, 47. [Google Scholar] [CrossRef]
- Dave, N.; Chow, L.; Gudelsky, G.; LaSance, K.; Qi, X.; Desai, P. Preclinical pharmacological evaluation of letrozole as a novel treatment for gliomas. Mol. Cancer Ther. 2015, 14, 857–864. [Google Scholar] [CrossRef] [PubMed]
- Foster, P.A.; Chander, S.K.; Parsons, M.F.C.; Newman, S.P.; Lawrance Woo, L.W.; Potter, B.L.V.; Reed, M.J.; Purohit, A. Efficacy of three potent steroid sulfatase inhibitors: Pre-Clinical investigations for their use in the treatment of hormone-dependent breast cancer. Breast Cancer Res. Treat. 2008, 111, 129–138. [Google Scholar] [CrossRef] [PubMed]
- Trabert, B.; Sherman, M.E.; Kannan, N.; Stanczyk, F.Z. Progesterone and Breast Cancer. Endocr. Rev. 2020, 41, 320–344. [Google Scholar] [CrossRef]
- Takagi, K.; Miki, Y.; Nagasaki, S.; Hirakawa, H.; Onodera, Y.; Akahira, J.; Ishida, T.; Watanabe, M.; Kimijima, I.; Hayashi, S.I.; et al. Increased intratumoral androgens in human breast carcinoma following aromatase inhibitor exemestane treatment. Endocr. Relat. Cancer 2010, 17, 415–430. [Google Scholar] [CrossRef]
- Yue, W.; Wang, J.P.; Li, Y.; Fan, P.; Liu, G.; Zhang, N.; Conaway, M.; Wang, H.; Korach, K.S.; Bocchinfuso, W.; et al. Effects of estrogen on breast cancer development: Role of estrogen receptor independent mechanisms. Int. J. Cancer 2010, 127, 1748–1757. [Google Scholar] [CrossRef]
- Wiebe, J.P. Progesterone metabolites in breast cancer. Endocr. Relat. Cancer 2006, 13, 717–738. [Google Scholar] [CrossRef]






| Hormone | Abbreviation | Antibody Code | Dilution |
|---|---|---|---|
| Progesterone | P4 | C914 | 1/6000 |
| Androstenedione | A4 | C9111 | 1/6000 |
| Testosterone | T | R156 | 1/8000 |
| Estrone sulphate | E1SO4 | R522-2 | 1/12,000 |
| 17β-oestradiol | E2 | C6E91 | 1/4000 |
| Pregnenolone | P5 | DE4170 | |
| Dehydroandrosterone | DHEA | DEH3344 | |
| Dehydrotestosterone | DHT | DE2330 |
| % Mice with Metastasis | Control | Letrozole | STX-64 | ||||
|---|---|---|---|---|---|---|---|
| 1 mg | 5 mg | 10 mg | 1 mg | 5 mg | 10 mg | ||
| IPC-366 | 100% | 10% * | 10% * | 10% * | 0% * | 0% * | 0% * |
| SUM149 | 80% | 20% * | 20% * | 20% * | 0% * | 0% * | 0% * |
Publisher’s Note: MDPI stays neutral with regard to jurisdictional claims in published maps and institutional affiliations. |
© 2021 by the authors. Licensee MDPI, Basel, Switzerland. This article is an open access article distributed under the terms and conditions of the Creative Commons Attribution (CC BY) license (https://creativecommons.org/licenses/by/4.0/).
Share and Cite
Caceres, S.; Monsalve, B.; Alonso-Diez, A.; Crespo, B.; Illera, M.J.; de Andres, P.J.; Silvan, G.; Illera, J.C. Blocking Estrogen Synthesis Leads to Different Hormonal Responses in Canine and Human Triple Negative Inflammatory Breast Cancer. Cancers 2021, 13, 4967. https://doi.org/10.3390/cancers13194967
Caceres S, Monsalve B, Alonso-Diez A, Crespo B, Illera MJ, de Andres PJ, Silvan G, Illera JC. Blocking Estrogen Synthesis Leads to Different Hormonal Responses in Canine and Human Triple Negative Inflammatory Breast Cancer. Cancers. 2021; 13(19):4967. https://doi.org/10.3390/cancers13194967
Chicago/Turabian StyleCaceres, Sara, Beatriz Monsalve, Angela Alonso-Diez, Belén Crespo, Maria Jose Illera, Paloma Jimena de Andres, Gema Silvan, and Juan Carlos Illera. 2021. "Blocking Estrogen Synthesis Leads to Different Hormonal Responses in Canine and Human Triple Negative Inflammatory Breast Cancer" Cancers 13, no. 19: 4967. https://doi.org/10.3390/cancers13194967
APA StyleCaceres, S., Monsalve, B., Alonso-Diez, A., Crespo, B., Illera, M. J., de Andres, P. J., Silvan, G., & Illera, J. C. (2021). Blocking Estrogen Synthesis Leads to Different Hormonal Responses in Canine and Human Triple Negative Inflammatory Breast Cancer. Cancers, 13(19), 4967. https://doi.org/10.3390/cancers13194967

