Immune-Omics Networks of CD27, PD1, and PDL1 in Non-Small Cell Lung Cancer
Abstract
:Simple Summary
Abstract
1. Introduction
2. Materials and Methods
2.1. Patient Cohorts
2.1.1. NSCLC Patient Cohort GSE31800
2.1.2. NSCLC Patient Cohort GSE28582
2.1.3. NSCLC Patient Cohort GSE81089
2.1.4. TCGA NSCLC Patient Cohorts
2.2. Data Pre-Processing
2.2.1. CNV Data Pre-Processing
2.2.2. Gene Expression Data Pre-Processing
2.3. Boolean Implication Networks
| Algorithm 1 |
| Begin |
| Set a significance level ∇min and a minimal Umin |
| For nodei, i ∈ [0, νmax − 1] and nodej, j ∈ [i + 1, νmax] |
| (Note: νmax is the total number of nodes) |
| For all empirical case samples N, compute a contingency table: |
| For each relation type k out of the six cases find the solution: |
| Max Up |
| Subject to Max Up > Umin |
| ∇p > ∇min |
| ∇error cells > ∇non-error cells |
| If the solution exists, then return a type k relation |
| End |
2.4. Functional Enrichment Analysis Using ToppGene
2.5. Ingenuity Pathways Analysis
2.6. Cancer Cell Line Encyclopedia (CCLE)
2.7. CRISPR-Cas9 Assays
2.8. RNAi Functional Assays
2.9. Immune Infiltration Estimation
2.10. PRISM Drug Response in CCLE
2.11. Genomics of Drug Sensitivity in Cancer (GDSC1/2)
2.12. Drug Repurposing Using Connecitivity Map (CMap)
2.13. Statistical Methods
3. Results
3.1. Construction of Multi-Omics CD27 Networks
3.2. Delineation of CD27, PD1, and PDL1 Multi-Omics Networks
3.3. Identification of Genes Associated with Radiotherapy and Chemotherapy
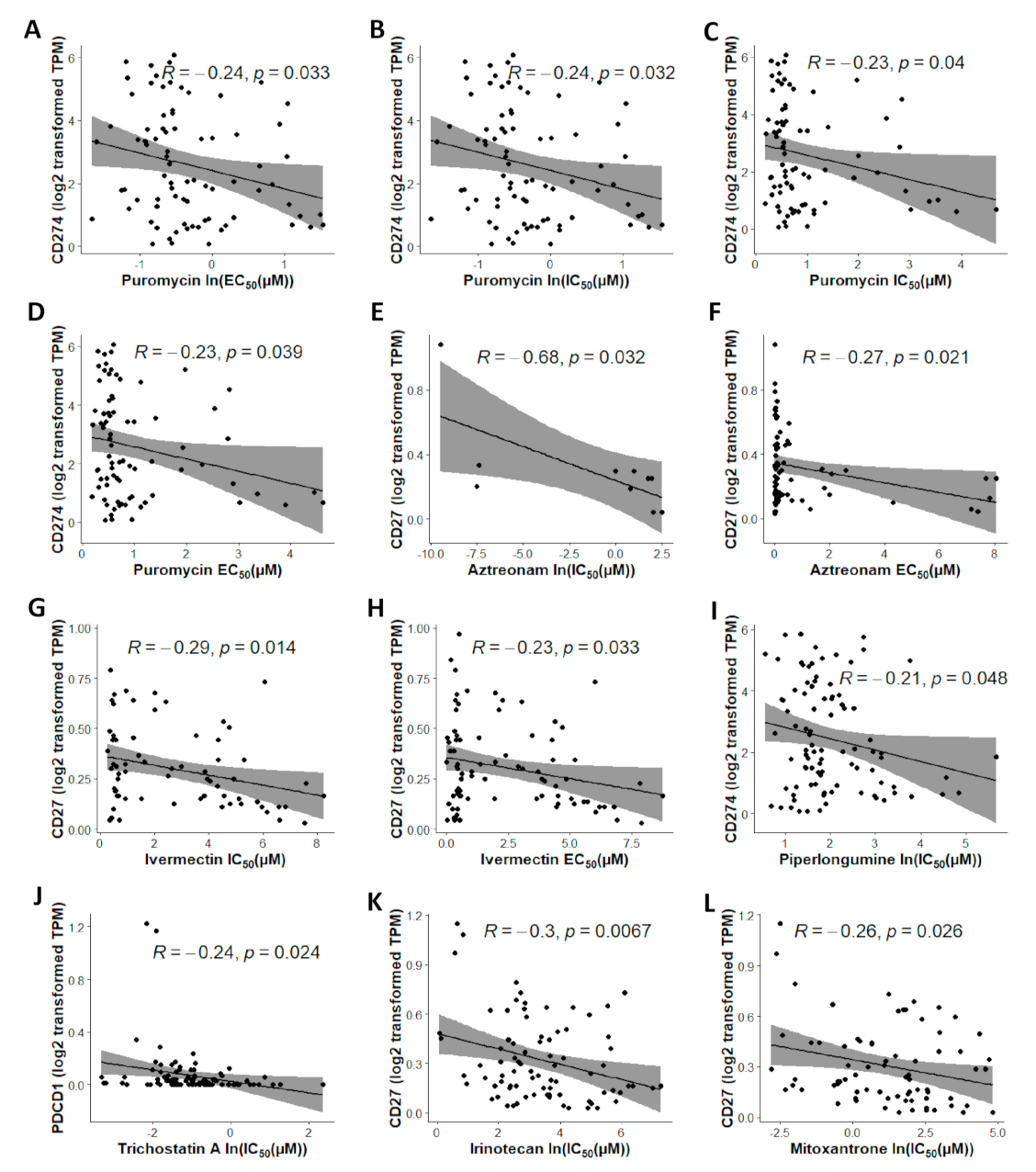
3.4. Discovery of Repurposing Drug Candidates
4. Discussion
5. Conclusions
6. Patents
Supplementary Materials
Author Contributions
Funding
Institutional Review Board Statement
Informed Consent Statement
Data Availability Statement
Acknowledgments
Conflicts of Interest
Appendix A








| Gene | SSM Affected Cases | Number of Mutations | CNV Gains | CNV Losses |
|---|---|---|---|---|
| EIF2AK3 | 12/567 (2.12%) | 12 | 18/513 (3.51%) | 9/513 (1.75%) |
| F2RL3 | 2/567 (0.35%) | 2 | 9/513 (1.75%) | 8/513 (1.56%) |
| FOSL1 | 3/567 (0.53%) | 3 | 30/513 (5.85%) | 12/513 (2.34%) |
| SLC25A26 | 2/567 (0.35%) | 2 | 18/513 (3.51%) | 14/513 (2.73%) |
| SPP1 | 7/567 (1.23%) | 7 | 9/513 (1.75%) | 16/513 (3.12%) |
| COPA | 16/567 (2.82%) | 18 | 76/513 (14.81%) | 1/513 (0.19%) |
| CSE1L | 10/567 (1.76%) | 10 | 27/513 (5.26%) | 24/513 (4.68%) |
| EIF2B3 | 8/567 (1.41%) | 8 | 31/513 (6.04%) | 12/513 (2.34%) |
| LSM3 | 5/567 (0.88%) | 5 | 14/513 (2.73%) | 15/513 (2.92%) |
| MCM5 | 15/567 (2.65%) | 16 | 16/513 (3.12%) | 11/513 (2.14%) |
| PMPCB | 9/567 (1.59%) | 10 | 25/513 (4.87%) | 13/513 (2.53%) |
| POLR1B | 14/567 (2.47%) | 14 | 19/513 (3.70%) | 4/513 (0.78%) |
| POLR2F | 1/567 (0.18%) | 1 | 21/513 (4.09%) | 8/513 (1.56%) |
| PSMC3 | 2/567 (0.35%) | 2 | 15/513 (2.92%) | 10/513 (1.95%) |
| PSMD11 | 7/567 (1.23%) | 7 | 25/513 (4.87%) | 11/513 (2.14%) |
| RPL32 | 1/567 (0.18%) | 1 | 0/513 (0.00%) | 0/513 (0.00%) |
| RPS18 | 2/567 (0.35%) | 2 | 34/513 (6.63%) | 7/513 (1.36%) |
| SNRPE | 1/567 (0.18%) | 1 | 53/513 (10.33%) | 3/513 (0.58%) |
| Gene | SSM Affected Cases | Number of Mutations | CNV Gains | CNV Losses |
|---|---|---|---|---|
| EIF2AK3 | 22/495 (4.44%) | 25 | 27/502 (5.38%) | 12/502 (2.39%) |
| F2RL3 | 2/495 (0.40%) | 2 | 27/502 (5.38%) | 11/502 (2.19%) |
| FOSL1 | 4/495 (0.81%) | 4 | 45/502 (8.96%) | 13/502 (2.59%) |
| SLC25A26 | N/A | N/A | 4/502 (0.80%) | 38/502 (7.57%) |
| SPP1 | 6/495 (1.21%) | 6 | 26/502 (5.18%) | 11/502 (2.19%) |
| COPA | 20/495 (4.04%) | 23 | 60/502 (11.95%) | 1/502 (0.20%) |
| CSE1L | 10/495 (2.02%) | 10 | 19/502 (3.78%) | 8/502 (1.59%) |
| EIF2B3 | 4/495 (0.81%) | 4 | 30/502 (5.98%) | 13/502 (2.59%) |
| LSM3 | 1/495 (0.20%) | 1 | 13/502 (2.59%) | 15/502 (2.99%) |
| MCM5 | 13/495 (2.63%) | 13 | 21/502 (4.18%) | 9/502 (1.79%) |
| PMPCB | 12/495 (2.42%) | 12 | 54/502 (10.76%) | 8/502 (1.59%) |
| POLR1B | 10/495 (2.02%) | 11 | 27/502 (5.38%) | 9/502 (1.79%) |
| POLR2F | 3/495 (0.61%) | 4 | 26/502 (5.18%) | 9/502 (1.79%) |
| PSMC3 | 4/495 (0.81%) | 4 | 32/502 (6.37%) | 14/502 (2.79%) |
| PSMD11 | 3/495 (0.61%) | 3 | 25/502 (4.98%) | 15/502 (2.99%) |
| RPL32 | 1/495 (0.20%) | 1 | 14/502 (2.79%) | 13/502 (2.59%) |
| RPS18 | 2/495 (0.40%) | 2 | 17/502 (3.39%) | 31/502 (6.18%) |
| SNRPE | 1/495 (0.20%) | 1 | 26/502 (5.18%) | 6/502 (1.20%) |
References
- Cancer Stat Facts: Lung and Bronchus Cancer. Available online: https://seer.cancer.gov/statfacts/html/lungb.html (accessed on 26 May 2020).
- Spira, A.; Ettinger, D.S. Multidisciplinary management of lung cancer. N. Engl. J. Med. 2004, 350, 379–392. [Google Scholar] [CrossRef]
- Goodgame, B.; Viswanathan, A.; Zoole, J.; Gao, F.; Miller, C.R.; Subramanian, J.; Meyers, B.F.; Patterson, A.G.; Govindan, R. Risk of recurrence of resected stage I non-small cell lung cancer in elderly patients as compared with younger patients. J. Thorac. Oncol. 2009, 4, 1370–1374. [Google Scholar] [CrossRef]
- Zheng, Y.; Jaklitsch, M.T.; Bueno, R. Neoadjuvant Therapy in Non-Small Cell Lung Cancer. Surg. Oncol. Clin. N. Am. 2016, 25, 567–584. [Google Scholar] [CrossRef]
- Crino, L.; Weder, W.; Van Meerbeeck, J.; Felip, E. Early stage and locally advanced (non-metastatic) non-small-cell lung cancer: ESMO Clinical Practice Guidelines for diagnosis, treatment and follow-up. Ann. Oncol. 2010, 21 (Suppl. S5), v103–v115. [Google Scholar] [CrossRef]
- Byron, E.; Pinder-Schenck, M. Systemic and targeted therapies for early-stage lung cancer. Cancer Control 2014, 21, 21–31. [Google Scholar] [CrossRef] [Green Version]
- Aguiar, P.N., Jr.; De Mello, R.A.; Hall, P.; Tadokoro, H.; Lima Lopes, G. PD-L1 expression as a predictive biomarker in advanced non-small-cell lung cancer: Updated survival data. Immunotherapy 2017, 9, 499–506. [Google Scholar] [CrossRef]
- CM, J.S.; Dammeijer, F.; Aerts, J.; Cornelissen, R. Immunotherapeutic strategies in non-small-cell lung cancer: The present and the future. Immunotherapy 2017, 9, 507–520. [Google Scholar] [CrossRef]
- Kaufman, H.L. Rational Combination Immunotherapy: Understand the Biology. Cancer Immunol. Res. 2017, 5, 355–356. [Google Scholar] [CrossRef] [Green Version]
- Lavin, Y.; Kobayashi, S.; Leader, A.; Amir, E.D.; Elefant, N.; Bigenwald, C.; Remark, R.; Sweeney, R.; Becker, C.D.; Levine, J.H.; et al. Innate Immune Landscape in Early Lung Adenocarcinoma by Paired Single-Cell Analyses. Cell 2017, 169, 750–765.e717. [Google Scholar] [CrossRef] [Green Version]
- Doroshow, D.B.; Sanmamed, M.F.; Hastings, K.; Politi, K.; Rimm, D.L.; Chen, L.; Melero, I.; Schalper, K.A.; Herbst, R.S. Immunotherapy in Non-Small Cell Lung Cancer: Facts and Hopes. Clin. Cancer Res. Off. J. Am. Assoc. Cancer Res. 2019, 25, 4592–4602. [Google Scholar] [CrossRef] [Green Version]
- Guo, N.L.; Dowlati, A.; Raese, R.A.; Dong, C.; Chen, G.; Beer, D.G.; Shaffer, J.; Singh, S.; Bokhary, U.; Liu, L.; et al. A Predictive 7-Gene Assay and Prognostic Protein Biomarkers for Non-small Cell Lung Cancer. EBioMedicine 2018, 32, 102–110. [Google Scholar] [CrossRef]
- Waldman, A.D.; Fritz, J.M.; Lenardo, M.J. A guide to cancer immunotherapy: From T cell basic science to clinical practice. Nat. Rev. Immunol. 2020, 20, 651–668. [Google Scholar] [CrossRef]
- Marin-Acevedo, J.A.; Dholaria, B.; Soyano, A.E.; Knutson, K.L.; Chumsri, S.; Lou, Y. Next generation of immune checkpoint therapy in cancer: New developments and challenges. J. Hematol. Oncol. 2018, 11, 39. [Google Scholar] [CrossRef] [PubMed]
- Burris, H.A.; Infante, J.R.; Ansell, S.M.; Nemunaitis, J.J.; Weiss, G.R.; Villalobos, V.M.; Sikic, B.I.; Taylor, M.H.; Northfelt, D.W.; Carson, W.E., 3rd; et al. Safety and Activity of Varlilumab, a Novel and First-in-Class Agonist Anti-CD27 Antibody, in Patients with Advanced Solid Tumors. J. Clin. Oncol. Off. J. Am. Soc. Clin. Oncol. 2017, 35, 2028–2036. [Google Scholar] [CrossRef] [Green Version]
- Ahrends, T.; Bąbała, N.; Xiao, Y.; Yagita, H.; van Eenennaam, H.; Borst, J. CD27 Agonism Plus PD-1 Blockade Recapitulates CD4+ T-cell Help in Therapeutic Anticancer Vaccination. Cancer Res. 2016, 76, 2921–2931. [Google Scholar] [CrossRef] [Green Version]
- Buchan, S.L.; Fallatah, M.; Thirdborough, S.M.; Taraban, V.Y.; Rogel, A.; Thomas, L.J.; Penfold, C.A.; He, L.Z.; Curran, M.A.; Keler, T.; et al. PD-1 Blockade and CD27 Stimulation Activate Distinct Transcriptional Programs That Synergize for CD8(+) T-Cell-Driven Antitumor Immunity. Clin. Cancer Res. Off. J. Am. Assoc. Cancer Res. 2018, 24, 2383–2394. [Google Scholar] [CrossRef] [Green Version]
- Turaj, A.H.; Hussain, K.; Cox, K.L.; Rose-Zerilli, M.J.J.; Testa, J.; Dahal, L.N.; Chan, H.T.C.; James, S.; Field, V.L.; Carter, M.J.; et al. Antibody Tumor Targeting Is Enhanced by CD27 Agonists through Myeloid Recruitment. Cancer Cell 2017, 32, 777–791.e6. [Google Scholar] [CrossRef] [Green Version]
- Emens, L.A. Predictive Biomarkers: Progress on the Road to Personalized Cancer Immunotherapy. J. Natl. Cancer Inst. 2021. [Google Scholar] [CrossRef] [PubMed]
- Budczies, J.; Bockmayr, M.; Denkert, C.; Klauschen, F.; Gröschel, S.; Darb-Esfahani, S.; Pfarr, N.; Leichsenring, J.; Onozato, M.L.; Lennerz, J.K.; et al. Pan-cancer analysis of copy number changes in programmed death-ligand 1 (PD-L1, CD274)—Associations with gene expression, mutational load, and survival. Genes Chromosomes Cancer 2016, 55, 626–639. [Google Scholar] [CrossRef]
- Bi, G.; Chen, Z.; Yang, X.; Liang, J.; Hu, Z.; Bian, Y.; Sui, Q.; Li, R.; Zhan, C.; Fan, H. Identification and validation of tumor environment phenotypes in lung adenocarcinoma by integrative genome-scale analysis. Cancer Immunol. Immunother. CII 2020, 69, 1293–1305. [Google Scholar] [CrossRef] [PubMed]
- Pushpakom, S.; Iorio, F.; Eyers, P.A.; Escott, K.J.; Hopper, S.; Wells, A.; Doig, A.; Guilliams, T.; Latimer, J.; McNamee, C.; et al. Drug repurposing: Progress, challenges and recommendations. Nat. Rev. Drug Discov. 2019, 18, 41–58. [Google Scholar] [CrossRef]
- Starczynowski, D.T.; Lockwood, W.W.; Delehouzee, S.; Chari, R.; Wegrzyn, J.; Fuller, M.; Tsao, M.S.; Lam, S.; Gazdar, A.F.; Lam, W.L.; et al. TRAF6 is an amplified oncogene bridging the RAS and NF-kappaB pathways in human lung cancer. J. Clin. Investig. 2011, 121, 4095–4105. [Google Scholar] [CrossRef] [Green Version]
- Micke, P.; Edlund, K.; Holmberg, L.; Kultima, H.G.; Mansouri, L.; Ekman, S.; Bergqvist, M.; Scheibenflug, L.; Lamberg, K.; Myrdal, G.; et al. Gene copy number aberrations are associated with survival in histologic subgroups of non-small cell lung cancer. J. Thorac. Oncol. 2011, 6, 1833–1840. [Google Scholar] [CrossRef] [PubMed] [Green Version]
- Jabs, V.; Edlund, K.; Konig, H.; Grinberg, M.; Madjar, K.; Rahnenfuhrer, J.; Ekman, S.; Bergkvist, M.; Holmberg, L.; Ickstadt, K.; et al. Integrative analysis of genome-wide gene copy number changes and gene expression in non-small cell lung cancer. PLoS ONE 2017, 12, e0187246. [Google Scholar] [CrossRef]
- Mezheyeuski, A.; Bergsland, C.H.; Backman, M.; Djureinovic, D.; Sjoblom, T.; Bruun, J.; Micke, P. Multispectral imaging for quantitative and compartment-specific immune infiltrates reveals distinct immune profiles that classify lung cancer patients. J. Pathol. 2018, 244, 421–431. [Google Scholar] [CrossRef]
- Vasaikar, S.V.; Straub, P.; Wang, J.; Zhang, B. LinkedOmics: Analyzing multi-omics data within and across 32 cancer types. Nucleic Acids Res. 2018, 46, D956–D963. [Google Scholar] [CrossRef] [Green Version]
- Vosse, S.; van de Wiel, M. CGHbase: Base Functions and Classes for ArrayCGH Data Analysis. R Package Version 1.46.0. 2021. Available online: https://bioconductor.statistik.tu-dortmund.de/packages/3.10/bioc/manuals/CGHbase/man/CGHbase.pdf (accessed on 25 August 2021).
- van de Wiel, M.; Vosse, S. CGHcall: Calling Aberrations for Array CGH Tumor Profiles. R Package Version 2.48.0. 2021. Available online: http://bioconductor.riken.jp/packages/3.10/bioc/manuals/CGHcall/man/CGHcall.pdf (accessed on 25 August 2021).
- Wang, K.; Li, M.; Hadley, D.; Liu, R.; Glessner, J.; Grant, S.F.; Hakonarson, H.; Bucan, M. PennCNV: An integrated hidden Markov model designed for high-resolution copy number variation detection in whole-genome SNP genotyping data. Genome Res. 2007, 17, 1665–1674. [Google Scholar] [CrossRef] [PubMed] [Green Version]
- Zhan, C.; Zhang, Y.; Ma, J.; Wang, L.; Jiang, W.; Shi, Y.; Wang, Q. Identification of reference genes for qRT-PCR in human lung squamous-cell carcinoma by RNA-Seq. Acta Biochim. Biophys. Sin. 2014, 46, 330–337. [Google Scholar] [CrossRef] [Green Version]
- Walter, R.F.; Werner, R.; Vollbrecht, C.; Hager, T.; Flom, E.; Christoph, D.C.; Schmeller, J.; Schmid, K.W.; Wohlschlaeger, J.; Mairinger, F.D. ACTB, CDKN1B, GAPDH, GRB2, RHOA and SDCBP Were Identified as Reference Genes in Neuroendocrine Lung Cancer via the nCounter Technology. PLoS ONE 2016, 11, e0165181. [Google Scholar] [CrossRef] [PubMed] [Green Version]
- Saviozzi, S.; Cordero, F.; Lo Iacono, M.; Novello, S.; Scagliotti, G.V.; Calogero, R.A. Selection of suitable reference genes for accurate normalization of gene expression profile studies in non-small cell lung cancer. BMC Cancer 2006, 6, 200. [Google Scholar] [CrossRef] [PubMed] [Green Version]
- Chang, Y.C.; Ding, Y.; Dong, L.; Zhu, L.J.; Jensen, R.V.; Hsiao, L.L. Differential expression patterns of housekeeping genes increase diagnostic and prognostic value in lung cancer. PeerJ 2018, 6, e4719. [Google Scholar] [CrossRef] [Green Version]
- Yang, X.; Amgad, M.; Cooper, L.A.D.; Du, Y.; Fu, H.; Ivanov, A.A. High expression of MKK3 is associated with worse clinical outcomes in African American breast cancer patients. J. Transl. Med. 2020, 18, 334. [Google Scholar] [CrossRef]
- Guo, N.L.; Wan, Y.W.; Bose, S.; Denvir, J.; Kashon, M.L.; Andrew, M.E. A novel network model identified a 13-gene lung cancer prognostic signature. Int. J. Comput. Biol. Drug Des. 2011, 4, 19–39. [Google Scholar] [CrossRef] [PubMed]
- Guo, N.L.; Wan, Y.W. Pathway-based identification of a smoking associated 6-gene signature predictive of lung cancer risk and survival. Artif. Intell. Med. 2012, 55, 97–105. [Google Scholar] [CrossRef] [PubMed] [Green Version]
- Hildebrand, D.K.; Laing, J.D.; Rosenthal, H. Prediction Analysis of Cross Classifications; John Wiley & Sons: New York, NY, USA, 1977. [Google Scholar]
- Chen, J.; Bardes, E.E.; Aronow, B.J.; Jegga, A.G. ToppGene Suite for gene list enrichment analysis and candidate gene prioritization. Nucleic Acids Res. 2009, 37, W305–W311. [Google Scholar] [CrossRef]
- Kramer, A.; Green, J.; Pollard, J., Jr.; Tugendreich, S. Causal analysis approaches in Ingenuity Pathway Analysis. Bioinformatics 2014, 30, 523–530. [Google Scholar] [CrossRef] [PubMed]
- DepMap 20Q2 Public. DepMap. DepMap 20Q2 Public. Available online: https://depmap.org/portal/download/all/?release=DepMap+Public+20Q2 (accessed on 25 August 2021).
- Aguet, F. TOPMed RNA-Seq Pipeline Harmonization Summary. Available online: https://github.com/broadinstitute/gtex-pipeline/blob/master/TOPMed_RNAseq_pipeline.md, (accessed on 25 August 2021).
- Meyers, R.M.; Bryan, J.G.; McFarland, J.M.; Weir, B.A.; Sizemore, A.E.; Xu, H.; Dharia, N.V.; Montgomery, P.G.; Cowley, G.S.; Pantel, S.; et al. Computational correction of copy number effect improves specificity of CRISPR-Cas9 essentiality screens in cancer cells. Nat. Genet. 2017, 49, 1779–1784. [Google Scholar] [CrossRef] [Green Version]
- Dempster, J.M.; Rossen, J.; Kazachkova, M.; Pan, J.; Kugener, G.; Root, D.E.; Tsherniak, A. Extracting Biological Insights from the Project Achilles Genome-Scale CRISPR Screens in Cancer Cell Lines. bioRxiv 2019. [Google Scholar] [CrossRef]
- McFarland, J.M.; Ho, Z.V.; Kugener, G.; Dempster, J.M.; Montgomery, P.G.; Bryan, J.G.; Krill-Burger, J.M.; Green, T.M.; Vazquez, F.; Boehm, J.S.; et al. Improved estimation of cancer dependencies from large-scale RNAi screens using model-based normalization and data integration. Nat. Commun. 2018, 9, 4610. [Google Scholar] [CrossRef] [Green Version]
- Li, T.; Fu, J.; Zeng, Z.; Cohen, D.; Li, J.; Chen, Q.; Li, B.; Liu, X.S. TIMER2.0 for analysis of tumor-infiltrating immune cells. Nucleic Acids Res. 2020, 48, W509–W514. [Google Scholar] [CrossRef]
- Li, T.; Fan, J.; Wang, B.; Traugh, N.; Chen, Q.; Liu, J.S.; Li, B.; Liu, X.S. TIMER: A Web Server for Comprehensive Analysis of Tumor-Infiltrating Immune Cells. Cancer Res. 2017, 77, e108–e110. [Google Scholar] [CrossRef] [Green Version]
- Li, B.; Severson, E.; Pignon, J.C.; Zhao, H.; Li, T.; Novak, J.; Jiang, P.; Shen, H.; Aster, J.C.; Rodig, S.; et al. Comprehensive analyses of tumor immunity: Implications for cancer immunotherapy. Genome Biol. 2016, 17, 174. [Google Scholar] [CrossRef] [PubMed] [Green Version]
- Corsello, S.M.; Nagari, R.T.; Spangler, R.D.; Rossen, J.; Kocak, M.; Bryan, J.G.; Humeidi, R.; Peck, D.; Wu, X.; Tang, A.A.; et al. Discovering the anti-cancer potential of non-oncology drugs by systematic viability profiling. Nat. Cancer 2020, 1, 235–248. [Google Scholar] [CrossRef] [PubMed] [Green Version]
- Ma, Y.; Ding, Z.; Qian, Y.; Shi, X.; Castranova, V.; Harner, E.J.; Guo, L. Predicting cancer drug response by proteomic profiling. Clin. Cancer Res. 2006, 12, 4583–4589. [Google Scholar] [CrossRef] [Green Version]
- Ma, Y.; Ding, Z.; Qian, Y.; Wan, Y.W.; Tosun, K.; Shi, X.; Castranova, V.; Harner, E.J.; Guo, N.L. An integrative genomic and proteomic approach to chemosensitivity prediction. Int. J. Oncol. 2009, 34, 107–115. [Google Scholar] [CrossRef] [Green Version]
- Schwartz, L.H.; Litière, S.; de Vries, E.; Ford, R.; Gwyther, S.; Mandrekar, S.; Shankar, L.; Bogaerts, J.; Chen, A.; Dancey, J.; et al. RECIST 1.1-Update and clarification: From the RECIST committee. Eur. J. Cancer 2016, 62, 132–137. [Google Scholar] [CrossRef] [Green Version]
- Yang, W.; Soares, J.; Greninger, P.; Edelman, E.J.; Lightfoot, H.; Forbes, S.; Bindal, N.; Beare, D.; Smith, J.A.; Thompson, I.R.; et al. Genomics of Drug Sensitivity in Cancer (GDSC): A resource for therapeutic biomarker discovery in cancer cells. Nucleic Acids Res 2013, 41, D955–D961. [Google Scholar] [CrossRef] [Green Version]
- Lamb, J.; Crawford, E.D.; Peck, D.; Modell, J.W.; Blat, I.C.; Wrobel, M.J.; Lerner, J.; Brunet, J.P.; Subramanian, A.; Ross, K.N.; et al. The Connectivity Map: Using gene-expression signatures to connect small molecules, genes, and disease. Science 2006, 313, 1929–1935. [Google Scholar] [CrossRef] [Green Version]
- R Team. RStudio: Integrated Development Environment for R; Version 1.4.1106; RStudio, PBC: Boston, MA, USA, 2012. [Google Scholar]
- Bradley, J.R.; Pober, J.S. Tumor necrosis factor receptor-associated factors (TRAFs). Oncogene 2001, 20, 6482–6491. [Google Scholar] [CrossRef] [Green Version]
- Akiba, H.; Nakano, H.; Nishinaka, S.; Shindo, M.; Kobata, T.; Atsuta, M.; Morimoto, C.; Ware, C.F.; Malinin, N.L.; Wallach, D.; et al. CD27, a member of the tumor necrosis factor receptor superfamily, activates NF-kappaB and stress-activated protein kinase/c-Jun N-terminal kinase via TRAF2, TRAF5, and NF-kappaB-inducing kinase. J. Biol. Chem. 1998, 273, 13353–13358. [Google Scholar] [CrossRef] [Green Version]
- Hauer, J.; Puschner, S.; Ramakrishnan, P.; Simon, U.; Bongers, M.; Federle, C.; Engelmann, H. TNF receptor (TNFR)-associated factor (TRAF) 3 serves as an inhibitor of TRAF2/5-mediated activation of the noncanonical NF-kappaB pathway by TRAF-binding TNFRs. Proc. Natl. Acad. Sci. USA 2005, 102, 2874–2879. [Google Scholar] [CrossRef] [PubMed] [Green Version]
- Bulfone-Paus, S.; Durkop, H.; Paus, R.; Krause, H.; Pohl, T.; Onu, A. Differential regulation of human T lymphoblast functions by IL-2 and IL-15. Cytokine 1997, 9, 507–513. [Google Scholar] [CrossRef] [PubMed]
- Huttlin, E.L.; Bruckner, R.J.; Paulo, J.A.; Cannon, J.R.; Ting, L.; Baltier, K.; Colby, G.; Gebreab, F.; Gygi, M.P.; Parzen, H.; et al. Architecture of the human interactome defines protein communities and disease networks. Nature 2017, 545, 505–509. [Google Scholar] [CrossRef]
- Huttlin, E.L.; Ting, L.; Bruckner, R.J.; Gebreab, F.; Gygi, M.P.; Szpyt, J.; Tam, S.; Zarraga, G.; Colby, G.; Baltier, K.; et al. The BioPlex Network: A Systematic Exploration of the Human Interactome. Cell 2015, 162, 425–440. [Google Scholar] [CrossRef] [Green Version]
- Dang, L.V.; Nilsson, A.; Ingelman-Sundberg, H.; Cagigi, A.; Gelinck, L.B.; Titanji, K.; De Milito, A.; Grutzmeier, S.; Hedlund, J.; Kroon, F.P.; et al. Soluble CD27 induces IgG production through activation of antigen-primed B cells. J. Intern. Med. 2012, 271, 282–293. [Google Scholar] [CrossRef] [Green Version]
- Herbein, G.; O’Brien, W.A. Tumor necrosis factor (TNF)-alpha and TNF receptors in viral pathogenesis. Proc. Soc. Exp. Biol. Med. 2000, 223, 241–257. [Google Scholar] [CrossRef] [PubMed]
- Huang, J.; Kerstann, K.W.; Ahmadzadeh, M.; Li, Y.F.; El-Gamil, M.; Rosenberg, S.A.; Robbins, P.F. Modulation by IL-2 of CD70 and CD27 expression on CD8+ T cells: Importance for the therapeutic effectiveness of cell transfer immunotherapy. J. Immunol. 2006, 176, 7726–7735. [Google Scholar] [CrossRef] [PubMed] [Green Version]
- Morimoto, S.; Kanno, Y.; Tanaka, Y.; Tokano, Y.; Hashimoto, H.; Jacquot, S.; Morimoto, C.; Schlossman, S.F.; Yagita, H.; Okumura, K.; et al. CD134L engagement enhances human B cell Ig production: CD154/CD40, CD70/CD27, and CD134/CD134L interactions coordinately regulate T cell-dependent B cell responses. J. Immunol. 2000, 164, 4097–4104. [Google Scholar] [CrossRef] [Green Version]
- Jacquot, S.; Kobata, T.; Iwata, S.; Schlossman, S.F.; Morimoto, C. CD27/CD70 interaction contributes to the activation and the function of human autoreactive CD27+ regulatory T cells. Cell. Immunol. 1997, 179, 48–54. [Google Scholar] [CrossRef]
- Lens, S.M.; Keehnen, R.M.; van Oers, M.H.; van Lier, R.A.; Pals, S.T.; Koopman, G. Identification of a novel subpopulation of germinal center B cells characterized by expression of IgD and CD70. Eur. J. Immunol. 1996, 26, 1007–1011. [Google Scholar] [CrossRef]
- Agematsu, K.; Kobata, T.; Yang, F.C.; Nakazawa, T.; Fukushima, K.; Kitahara, M.; Mori, T.; Sugita, K.; Morimoto, C.; Komiyama, A. CD27/CD70 interaction directly drives B cell IgG and IgM synthesis. Eur. J. Immunol. 1995, 25, 2825–2829. [Google Scholar] [CrossRef]
- Riether, C.; Schurch, C.M.; Flury, C.; Hinterbrandner, M.; Druck, L.; Huguenin, A.L.; Baerlocher, G.M.; Radpour, R.; Ochsenbein, A.F. Tyrosine kinase inhibitor-induced CD70 expression mediates drug resistance in leukemia stem cells by activating Wnt signaling. Sci. Transl. Med. 2015, 7, 298ra119. [Google Scholar] [CrossRef] [Green Version]
- Kuka, M.; Munitic, I.; Giardino Torchia, M.L.; Ashwell, J.D. CD70 is downregulated by interaction with CD27. J. Immunol. 2013, 191, 2282–2289. [Google Scholar] [CrossRef] [Green Version]
- Xiao, Y.; Song, J.Y.; de Vries, T.J.; Fatmawati, C.; Parreira, D.B.; Langenbach, G.E.; Babala, N.; Nolte, M.A.; Everts, V.; Borst, J. Osteoclast precursors in murine bone marrow express CD27 and are impeded in osteoclast development by CD70 on activated immune cells. Proc. Natl. Acad. Sci. USA 2013, 110, 12385–12390. [Google Scholar] [CrossRef] [Green Version]
- Sanchez, P.J.; Kedl, R.M. An alternative signal 3: CD8(+) T cell memory independent of IL-12 and type I IFN is dependent on CD27/OX40 signaling. Vaccine 2012, 30, 1154–1161. [Google Scholar] [CrossRef] [Green Version]
- Frasca, L.; Stonier, S.W.; Overwijk, W.W.; Schluns, K.S. Differential mechanisms of memory CD8 T cell maintenance by individual myeloid cell types. J. Leukoc. Biol. 2010, 88, 69–78. [Google Scholar] [CrossRef] [Green Version]
- Shaw, J.; Wang, Y.H.; Ito, T.; Arima, K.; Liu, Y.J. Plasmacytoid dendritic cells regulate B-cell growth and differentiation via CD70. Blood 2010, 115, 3051–3057. [Google Scholar] [CrossRef] [PubMed] [Green Version]
- Deola, S.; Panelli, M.C.; Maric, D.; Selleri, S.; Dmitrieva, N.I.; Voss, C.Y.; Klein, H.; Stroncek, D.; Wang, E.; Marincola, F.M. Helper B cells promote cytotoxic T cell survival and proliferation independently of antigen presentation through CD27/CD70 interactions. J. Immunol. 2008, 180, 1362–1372. [Google Scholar] [CrossRef] [PubMed] [Green Version]
- Jacquot, S. CD27/CD70 interactions regulate T dependent B cell differentiation. Immunol. Res. 2000, 21, 23–30. [Google Scholar] [CrossRef]
- Nagumo, H.; Agematsu, K.; Shinozaki, K.; Hokibara, S.; Ito, S.; Takamoto, M.; Nikaido, T.; Yasui, K.; Uehara, Y.; Yachie, A.; et al. CD27/CD70 interaction augments IgE secretion by promoting the differentiation of memory B cells into plasma cells. J. Immunol. 1998, 161, 6496–6502. [Google Scholar]
- Nagumo, H.; Agematsu, K. Synergistic augmentative effect of interleukin-10 and CD27/CD70 interactions on B-cell immunoglobulin synthesis. Immunology 1998, 94, 388–394. [Google Scholar] [CrossRef] [PubMed]
- Yang, F.C.; Agematsu, K.; Nakazawa, T.; Mori, T.; Ito, S.; Kobata, T.; Morimoto, C.; Komiyama, A. CD27/CD70 interaction directly induces natural killer cell killing activity. Immunology 1996, 88, 289–293. [Google Scholar] [CrossRef]
- Borst, J.; Hendriks, J.; Xiao, Y. CD27 and CD70 in T cell and B cell activation. Curr. Opin. Immunol. 2005, 17, 275–281. [Google Scholar] [CrossRef]
- Nagata, S.; Ise, T.; Pastan, I. Fc receptor-like 3 protein expressed on IL-2 nonresponsive subset of human regulatory T cells. J. Immunol. 2009, 182, 7518–7526. [Google Scholar] [CrossRef]
- Vallejo, A.; Perurena, N.; Guruceaga, E.; Mazur, P.K.; Martinez-Canarias, S.; Zandueta, C.; Valencia, K.; Arricibita, A.; Gwinn, D.; Sayles, L.C.; et al. An integrative approach unveils FOSL1 as an oncogene vulnerability in KRAS-driven lung and pancreatic cancer. Nat. Commun. 2017, 8, 14294. [Google Scholar] [CrossRef] [PubMed] [Green Version]
- Cheng, X.; Li, J.; Tanaka, K.; Majumder, U.; Milinichik, A.Z.; Verdi, A.C.; Maddage, C.J.; Rybinski, K.A.; Fernando, S.; Fernando, D.; et al. MORAb-202, an Antibody-Drug Conjugate Utilizing Humanized Anti-human FRα Farletuzumab and the Microtubule-targeting Agent Eribulin, has Potent Antitumor Activity. Mol. Cancer Ther. 2018, 17, 2665–2675. [Google Scholar] [CrossRef] [Green Version]
- Shimizu, T.; Fujiwara, Y.; Yonemori, K.; Koyama, T.; Sato, J.; Tamura, K.; Shimomura, A.; Ikezawa, H.; Nomoto, M.; Furuuchi, K.; et al. First-in-Human Phase 1 Study of MORAb-202, an Antibody-Drug Conjugate Comprising Farletuzumab Linked to Eribulin Mesylate, in Patients with Folate Receptor-α-Positive Advanced Solid Tumors. Clin. Cancer Res. Off. J. Am. Assoc. Cancer Res. 2021, 27. [Google Scholar] [CrossRef] [PubMed]
- Tang, H.; Chen, J.; Han, X.; Feng, Y.; Wang, F. Upregulation of SPP1 Is a Marker for Poor Lung Cancer Prognosis and Contributes to Cancer Progression and Cisplatin Resistance. Front. Cell Dev. Biol. 2021, 9, 646390. [Google Scholar] [CrossRef]
- Zhang, Y.; Du, W.; Chen, Z.; Xiang, C. Upregulation of PD-L1 by SPP1 mediates macrophage polarization and facilitates immune escape in lung adenocarcinoma. Exp. Cell Res. 2017, 359, 449–457. [Google Scholar] [CrossRef]
- Termathe, M.; Leidel, S.A. Urm1: A Non-Canonical UBL. Biomolecules 2021, 11, 139. [Google Scholar] [CrossRef]
- Dang, C.V. MYC on the path to cancer. Cell 2012, 149, 22–35. [Google Scholar] [CrossRef] [Green Version]
- Yang, S.; Liu, Y.; Li, M.Y.; Ng, C.S.H.; Yang, S.L.; Wang, S.; Zou, C.; Dong, Y.; Du, J.; Long, X.; et al. FOXP3 promotes tumor growth and metastasis by activating Wnt/β-catenin signaling pathway and EMT in non-small cell lung cancer. Mol. Cancer 2017, 16, 124. [Google Scholar] [CrossRef]
- Furuse, K. Platinum/oral etoposide therapy in non-small cell lung cancer. Oncology 1992, 49 (Suppl. S1), 63–69; discussion 70. [Google Scholar] [CrossRef] [PubMed]
- Steuer, C.E.; Behera, M.; Ernani, V.; Higgins, K.A.; Saba, N.F.; Shin, D.M.; Pakkala, S.; Pillai, R.N.; Owonikoko, T.K.; Curran, W.J.; et al. Comparison of Concurrent Use of Thoracic Radiation with Either Carboplatin-Paclitaxel or Cisplatin-Etoposide for Patients with Stage III Non-Small-Cell Lung Cancer: A Systematic Review. JAMA Oncol. 2017, 3, 1120–1129. [Google Scholar] [CrossRef]
- Ramalingam, S.; Belani, C.P. Paclitaxel for non-small cell lung cancer. Expert Opin. Pharmacother. 2004, 5, 1771–1780. [Google Scholar] [CrossRef] [PubMed]
- Yang, Z.; Hackshaw, A.; Feng, Q.; Fu, X.; Zhang, Y.; Mao, C.; Tang, J. Comparison of gefitinib, erlotinib and afatinib in non-small cell lung cancer: A meta-analysis. Int. J. Cancer 2017, 140, 2805–2819. [Google Scholar] [CrossRef]
- Fossella, F.V. Docetaxel for previously treated non-small-cell lung cancer. Oncology 2002, 16, 45–51. [Google Scholar]
- Arrieta, O.; Barrón, F.; Ramírez-Tirado, L.A.; Zatarain-Barrón, Z.L.; Cardona, A.F.; Díaz-García, D.; Yamamoto Ramos, M.; Mota-Vega, B.; Carmona, A.; Peralta Álvarez, M.P.; et al. Efficacy and Safety of Pembrolizumab Plus Docetaxel vs. Docetaxel Alone in Patients with Previously Treated Advanced Non-Small Cell Lung Cancer: The PROLUNG Phase 2 Randomized Clinical Trial. JAMA Oncol. 2020, 6, 856–864. [Google Scholar] [CrossRef]
- Agca, C.A.; Kırıcı, M.; Nedzvetsky, V.S.; Gundogdu, R.; Tykhomyrov, A.A. The Effect of TIGAR Knockdown on Apoptotic and Epithelial-Mesenchymal Markers Expression in Doxorubicin-Resistant Non-Small Cell Lung Cancer A549 Cell Lines. Chem. Biodivers. 2020, 17, e2000441. [Google Scholar] [CrossRef]
- Von Hoff, D.D.; Coltman, C.A., Jr.; Forseth, B. Activity of mitoxantrone in a human tumor cloning system. Cancer Res. 1981, 41, 1853–1855. [Google Scholar]
- Ohe, Y.; Ohashi, Y.; Kubota, K.; Tamura, T.; Nakagawa, K.; Negoro, S.; Nishiwaki, Y.; Saijo, N.; Ariyoshi, Y.; Fukuoka, M. Randomized phase III study of cisplatin plus irinotecan versus carboplatin plus paclitaxel, cisplatin plus gemcitabine, and cisplatin plus vinorelbine for advanced non-small-cell lung cancer: Four-Arm Cooperative Study in Japan. Ann. Oncol. Off. J. Eur. Soc. Med. Oncol. 2007, 18, 317–323. [Google Scholar] [CrossRef]
- Barrientos, R.M.; O’Reilly, R.C.; Rudy, J.W. Memory for context is impaired by injecting anisomycin into dorsal hippocampus following context exploration. Behav. Brain Res. 2002, 134, 299–306. [Google Scholar] [CrossRef]
- Debiec, J.; LeDoux, J.E.; Nader, K. Cellular and systems reconsolidation in the hippocampus. Neuron 2002, 36, 527–538. [Google Scholar] [CrossRef] [Green Version]
- Grollman, A.P. Inhibitors of protein biosynthesis. II. Mode of action of anisomycin. J. Biol. Chem. 1967, 242, 3226–3233. [Google Scholar] [CrossRef]
- Jiao, Y.; Hannafon, B.N.; Ding, W.Q. Disulfiram’s Anticancer Activity: Evidence and Mechanisms. Anti-Cancer Agents Med. Chem. 2016, 16, 1378–1384. [Google Scholar] [CrossRef]
- Shirley, D.A.; Sharma, I.; Warren, C.A.; Moonah, S. Drug Repurposing of the Alcohol Abuse Medication Disulfiram as an Anti-Parasitic Agent. Front. Cell. Infect. Microbiol. 2021, 11, 633194. [Google Scholar] [CrossRef] [PubMed]
- Rasmussen, T.A.; Lewin, S.R. Shocking HIV out of hiding: Where are we with clinical trials of latency reversing agents? Curr. Opin. HIV AIDS 2016, 11, 394–401. [Google Scholar] [CrossRef] [Green Version]
- Pestka, S. Inhibitors of ribosome functions. Annu. Rev. Microbiol. 1971, 25, 487–562. [Google Scholar] [CrossRef]
- Park, J.A.; Na, H.H.; Jin, H.O.; Kim, K.C. Increased Expression of FosB through Reactive Oxygen Species Accumulation Functions as Pro-Apoptotic Protein in Piperlongumine Treated MCF7 Breast Cancer Cells. Mol. Cells 2019, 42, 884–892. [Google Scholar] [CrossRef]
- Piska, K.; Gunia-Krzyżak, A.; Koczurkiewicz, P.; Wójcik-Pszczoła, K.; Pękala, E. Piperlongumine (piplartine) as a lead compound for anticancer agents—Synthesis and properties of analogues: A mini-review. Eur. J. Med. Chem. 2018, 156, 13–20. [Google Scholar] [CrossRef]
- Vanhaecke, T.; Papeleu, P.; Elaut, G.; Rogiers, V. Trichostatin A-like hydroxamate histone deacetylase inhibitors as therapeutic agents: Toxicological point of view. Curr. Med. Chem. 2004, 11, 1629–1643. [Google Scholar] [CrossRef]
- Heidary, F.; Gharebaghi, R. Ivermectin: A systematic review from antiviral effects to COVID-19 complementary regimen. J. Antibiot. 2020, 73, 593–602. [Google Scholar] [CrossRef]
- Bray, M.; Rayner, C.; Noël, F.; Jans, D.; Wagstaff, K. Ivermectin and COVID-19: A report in Antiviral Research, widespread interest, an FDA warning, two letters to the editor and the authors’ responses. Antivir. Res. 2020, 178, 104805. [Google Scholar] [CrossRef]
- López-Medina, E.; López, P.; Hurtado, I.C.; Dávalos, D.M.; Ramirez, O.; Martínez, E.; Díazgranados, J.A.; Oñate, J.M.; Chavarriaga, H.; Herrera, S.; et al. Effect of Ivermectin on Time to Resolution of Symptoms Among Adults with Mild COVID-19: A Randomized Clinical Trial. Jama 2021, 325, 1426–1435. [Google Scholar] [CrossRef]
- Sachs, K.; Perez, O.; Pe’er, D.; Lauffenburger, D.A.; Nolan, G.P. Causal protein-signaling networks derived from multiparameter single-cell data. Science 2005, 308, 523–529. [Google Scholar] [CrossRef] [Green Version]
- Sahoo, D. The power of boolean implication networks. Front. Physiol. 2012, 3, 276. [Google Scholar] [CrossRef] [Green Version]
- Sahoo, D.; Dill, D.L.; Tibshirani, R.; Plevritis, S.K. Extracting binary signals from microarray time-course data. Nucleic Acids Res. 2007, 35, 3705–3712. [Google Scholar] [CrossRef]
- Sahoo, D.; Seita, J.; Bhattacharya, D.; Inlay, M.A.; Weissman, I.L.; Plevritis, S.K.; Dill, D.L. MiDReG: A method of mining developmentally regulated genes using Boolean implications. Proc. Natl. Acad. Sci. USA 2010, 107, 5732–5737. [Google Scholar] [CrossRef] [Green Version]
- Wan, Y.W.; Raese, R.A.; Fortney, J.E.; Xiao, C.; Luo, D.; Cavendish, J.; Gibson, L.F.; Castranova, V.; Qian, Y.; Guo, N.L. A smoking-associated 7-gene signature for lung cancer diagnosis and prognosis. Int. J. Oncol. 2012, 41, 1387–1396. [Google Scholar] [CrossRef] [PubMed] [Green Version]
- Wan, Y.W.; Beer, D.G.; Guo, N.L. Signaling pathway-based identification of extensive prognostic gene signatures for lung adenocarcinoma. Lung Cancer 2012, 76, 98–105. [Google Scholar] [CrossRef] [PubMed] [Green Version]
- Guo, N.L.; Wan, Y.W. Network-based identification of biomarkers coexpressed with multiple pathways. Cancer Inform. 2014, 13, 37–47. [Google Scholar] [CrossRef]
- Ye, Q.; Mohamed, R.; Dukhlallah, D.; Gencheva, M.; Hu, G.; Pearce, M.C.; Kolluri, S.K.; Marsh, C.B.; Eubank, T.D.; Ivanov, A.V.; et al. Molecular Analysis of ZNF71 KRAB in Non-Small-Cell Lung Cancer. Int. J. Mol. Sci. 2021, 22, 3752. [Google Scholar] [CrossRef]
- Camidge, D.R.; Doebele, R.C.; Kerr, K.M. Comparing and contrasting predictive biomarkers for immunotherapy and targeted therapy of NSCLC. Nat. Rev. Clin. Oncol. 2019, 16, 341–355. [Google Scholar] [CrossRef]
- Pakay, J.L.; Diesch, J.; Gilan, O.; Yip, Y.Y.; Sayan, E.; Kolch, W.; Mariadason, J.M.; Hannan, R.D.; Tulchinsky, E.; Dhillon, A.S. A 19S proteasomal subunit cooperates with an ERK MAPK-regulated degron to regulate accumulation of Fra-1 in tumour cells. Oncogene 2012, 31, 1817–1824. [Google Scholar] [CrossRef] [Green Version]
- Ohashi, Y.; Okamura, M.; Katayama, R.; Fang, S.; Tsutsui, S.; Akatsuka, A.; Shan, M.; Choi, H.W.; Fujita, N.; Yoshimatsu, K.; et al. Targeting the Golgi apparatus to overcome acquired resistance of non-small cell lung cancer cells to EGFR tyrosine kinase inhibitors. Oncotarget 2018, 9, 1641–1655. [Google Scholar] [CrossRef] [PubMed] [Green Version]
- Nagashima, S.; Maruyama, J.; Honda, K.; Kondoh, Y.; Osada, H.; Nawa, M.; Nakahama, K.I.; Ishigami-Yuasa, M.; Kagechika, H.; Sugimura, H.; et al. CSE1L promotes nuclear accumulation of transcriptional coactivator TAZ and enhances invasiveness of human cancer cells. J. Biol. Chem. 2021, 297, 100803. [Google Scholar] [CrossRef]
- Quidville, V.; Alsafadi, S.; Goubar, A.; Commo, F.; Scott, V.; Pioche-Durieu, C.; Girault, I.; Baconnais, S.; Le Cam, E.; Lazar, V.; et al. Targeting the deregulated spliceosome core machinery in cancer cells triggers mTOR blockade and autophagy. Cancer Res. 2013, 73, 2247–2258. [Google Scholar] [CrossRef] [PubMed] [Green Version]
- Hachey, K.J.; Colson, Y.L. Current innovations in sentinel lymph node mapping for the staging and treatment of resectable lung cancer. Semin. Thorac. Cardiovasc. Surg. 2014, 26, 201–209. [Google Scholar] [CrossRef] [PubMed] [Green Version]
- Digesu, C.S.; Hachey, K.J.; Gilmore, D.M.; Khullar, O.V.; Tsukada, H.; Whang, B.; Chirieac, L.R.; Padera, R.F.; Jaklitsch, M.T.; Colson, Y.L. Long-term outcomes after near-infrared sentinel lymph node mapping in non-small cell lung cancer. J. Thorac. Cardiovasc. Surg. 2018, 155, 1280–1291. [Google Scholar] [CrossRef] [Green Version]
- Caso, R.; Jones, G.D.; Jones, D.R. Sentinel lymph node mapping in lung cancer: A step forward? J. Thorac. Dis. 2018, 10, S3254–S3256. [Google Scholar] [CrossRef]







| Variation | PRISM ln(IC50) | PRISM ln(EC50) | GDSC1 ln(IC50) | GDSC2 ln(IC50) |
|---|---|---|---|---|
| Carboplatin | ||||
| Cisplatin | PSMD11 | |||
| Docetaxel | RPS18 | EIF2AK3, PMPCB, PSMD11 | PMPCB, POLR1B | |
| Erlotinib | LSM3, POLR2F, RPL32 | CSE1L | FOSL1 | |
| Etoposide | PSMD11 | |||
| Gefitinib | COPA | |||
| Gemcitabine | PSMC3 | PSMC3 | SPP1, MCM5, RPS18 | |
| Paclitaxel | PSMD11 | PMPCB, RPS18 | POLR1B | |
| Pemetrexed | RPS18 | |||
| Vinorelbine | POLR2F | CSE1L, SNRPE |
Publisher’s Note: MDPI stays neutral with regard to jurisdictional claims in published maps and institutional affiliations. |
© 2021 by the authors. Licensee MDPI, Basel, Switzerland. This article is an open access article distributed under the terms and conditions of the Creative Commons Attribution (CC BY) license (https://creativecommons.org/licenses/by/4.0/).
Share and Cite
Ye, Q.; Singh, S.; Qian, P.R.; Guo, N.L. Immune-Omics Networks of CD27, PD1, and PDL1 in Non-Small Cell Lung Cancer. Cancers 2021, 13, 4296. https://doi.org/10.3390/cancers13174296
Ye Q, Singh S, Qian PR, Guo NL. Immune-Omics Networks of CD27, PD1, and PDL1 in Non-Small Cell Lung Cancer. Cancers. 2021; 13(17):4296. https://doi.org/10.3390/cancers13174296
Chicago/Turabian StyleYe, Qing, Salvi Singh, Peter R. Qian, and Nancy Lan Guo. 2021. "Immune-Omics Networks of CD27, PD1, and PDL1 in Non-Small Cell Lung Cancer" Cancers 13, no. 17: 4296. https://doi.org/10.3390/cancers13174296
APA StyleYe, Q., Singh, S., Qian, P. R., & Guo, N. L. (2021). Immune-Omics Networks of CD27, PD1, and PDL1 in Non-Small Cell Lung Cancer. Cancers, 13(17), 4296. https://doi.org/10.3390/cancers13174296

