Real-World Evidence on Palliative Gemcitabine and Oxaliplatin (GemOx) Combination Chemotherapy in Advanced Biliary Tract Cancer
Abstract
:Simple Summary
Abstract
1. Introduction
2. Materials and Methods
2.1. Patients
2.2. Treatment
2.3. Patient Data
2.4. Statistics
2.5. Ethics
3. Results
3.1. Patients
3.2. Treatment Tolerability and Toxicity
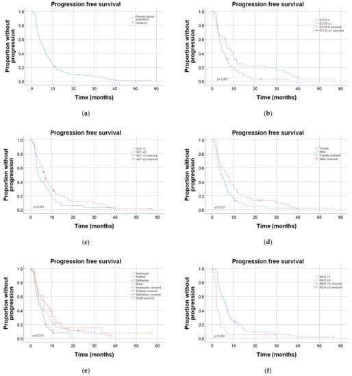
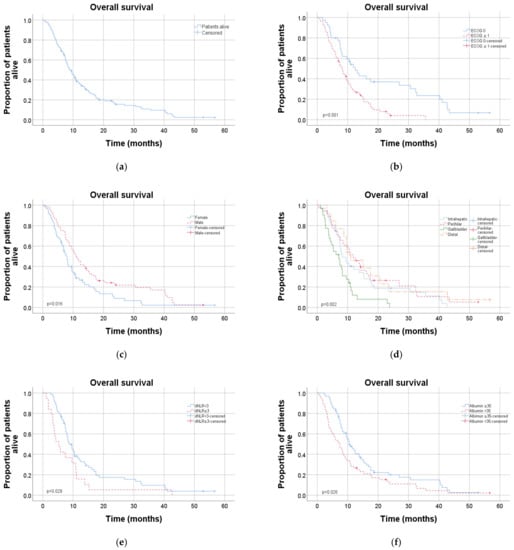
3.3. Survival
3.4. Univariate Analyses
3.5. Multivariate Analysis
3.6. Treatment in End of Life and Palliative Care Admissions
4. Discussion
5. Conclusions
Author Contributions
Funding
Institutional Review Board Statement
Informed Consent Statement
Data Availability Statement
Acknowledgments
Conflicts of Interest
References
- Esnaola, N.F.; Meyer, J.E.; Karachristos, A.; Maranki, J.L.; Camp, E.R.; Denlinger, C.S. Evaluation and management of intrahepatic and extrahepatic cholangiocarcinoma. Cancer 2016, 122, 1349–1369. [Google Scholar] [CrossRef] [Green Version]
- Banales, J.M.; Cardinale, V.; Carpino, G.; Marzioni, M.; Andersen, J.B.; Invernizzi, P.; Lind, G.E.; Folseraas, T.; Forbes, S.J.; Fouassier, L.; et al. Expert consensus document: Cholangiocarcinoma: Current knowledge and future perspectives consensus statement from the European Network for the Study of Cholangiocarcinoma (ENS-CCA). Nat. Rev. Gastroenterol. Hepatol. 2016, 13, 261–280. [Google Scholar] [CrossRef] [PubMed]
- Sung, H.; Ferlay, J.; Siegel, R.L.; Laversanne, M.; Soerjomataram, I.; Jemal, A.; Bray, F. Global cancer statistics 2020: GLOBOCAN estimates of incidence and mortality worldwide for 36 cancers in 185 countries. CA Cancer J. Clin. 2021, 71, 209–249. [Google Scholar] [CrossRef] [PubMed]
- DeOliveira, M.L.; Cunningham, S.C.; Cameron, J.L.; Kamangar, F.; Winter, J.M.; Lillemoe, K.D.; Choti, M.A.; Yeo, C.J.; Schulick, R.D. Cholangiocarcinoma: Thirty-one-year experience with 564 patients at a single institution. Ann. Surg. 2007, 245, 755–762. [Google Scholar] [CrossRef] [PubMed]
- Valle, J.W.; Borbath, I.; Khan, S.A.; Huguet, F.; Gruenberger, T.; Arnold, D.; Committee, E.G. Biliary cancer: ESMO Clinical Practice Guidelines for diagnosis, treatment and follow-up. Ann. Oncol. 2016, 27, v28–v37. [Google Scholar] [CrossRef] [PubMed]
- Gallardo, J.O.; Rubio, B.; Fodor, M.; Orlandi, L.; Yanez, M.; Gamargo, C.; Ahumada, M. A phase II study of gemcitabine in gallbladder carcinoma. Ann. Oncol. 2001, 12, 1403–1406. [Google Scholar] [CrossRef] [PubMed]
- Andre, T.; Tournigand, C.; Rosmorduc, O.; Provent, S.; Maindrault-Goebel, F.; Avenin, D.; Selle, F.; Paye, F.; Hannoun, L.; Houry, S.; et al. Gemcitabine combined with oxaliplatin (GEMOX) in advanced biliary tract adenocarcinoma: A GERCOR study. Ann. Oncol. 2004, 15, 1339–1343. [Google Scholar] [CrossRef]
- Valle, J.; Wasan, H.; Palmer, D.H.; Cunningham, D.; Anthoney, A.; Maraveyas, A.; Madhusudan, S.; Iveson, T.; Hughes, S.; Pereira, S.P.; et al. Cisplatin plus gemcitabine versus gemcitabine for biliary tract cancer. N. Engl. J. Med. 2010, 362, 1273–1281. [Google Scholar] [CrossRef] [Green Version]
- Fiteni, F.; Nguyen, T.; Vernerey, D.; Paillard, M.J.; Kim, S.; Demarchi, M.; Fein, F.; Borg, C.; Bonnetain, F.; Pivot, X. Cisplatin/gemcitabine or oxaliplatin/gemcitabine in the treatment of advanced biliary tract cancer: A systematic review. Cancer Med. 2014, 3, 1502–1511. [Google Scholar] [CrossRef]
- Sharma, A.; Kalyan Mohanti, B.; Pal Chaudhary, S.; Sreenivas, V.; Kumar Sahoo, R.; Kumar Shukla, N.; Thulkar, S.; Pal, S.; Deo, S.V.; Pathy, S.; et al. Modified gemcitabine and oxaliplatin or gemcitabine + cisplatin in unresectable gallbladder cancer: Results of a phase III randomised controlled trial. Eur. J. Cancer 2019, 123, 162–170. [Google Scholar] [CrossRef]
- Abdel-Rahman, O.; Elsayed, Z.; Elhalawani, H. Gemcitabine-based chemotherapy for advanced biliary tract carcinomas. Cochrane Database Syst. Rev. 2018, 4, CD011746. [Google Scholar] [CrossRef] [PubMed]
- Proctor, M.J.; McMillan, D.C.; Morrison, D.S.; Fletcher, C.D.; Horgan, P.G.; Clarke, S.J. A derived neutrophil to lymphocyte ratio predicts survival in patients with cancer. Br. J. Cancer 2012, 107, 695–699. [Google Scholar] [CrossRef] [Green Version]
- Grenader, T.; Nash, S.; Plotkin, Y.; Furuse, J.; Mizuno, N.; Okusaka, T.; Wasan, H.; Valle, J.; Bridgewater, J. Derived neutrophil lymphocyte ratio may predict benefit from cisplatin in the advanced biliary cancer: The ABC-02 and BT-22 studies. Ann. Oncol. 2015, 26, 1910–1916. [Google Scholar] [CrossRef] [Green Version]
- Malka, D.; Cervera, P.; Foulon, S.; Trarbach, T.; de la Fouchardiere, C.; Boucher, E.; Fartoux, L.; Faivre, S.; Blanc, J.F.; Viret, F.; et al. Gemcitabine and oxaliplatin with or without cetuximab in advanced biliary-tract cancer (BINGO): A randomised, open-label, non-comparative phase 2 trial. Lancet Oncol. 2014, 15, 819–828. [Google Scholar] [CrossRef]
- Wu, C.E.; Chou, W.C.; Hsieh, C.H.; Chang, J.W.; Lin, C.Y.; Yeh, C.N.; Chen, J.S. Prognostic and predictive factors for Taiwanese patients with advanced biliary tract cancer undergoing frontline chemotherapy with gemcitabine and cisplatin: A real-world experience. BMC Cancer 2020, 20, 422. [Google Scholar] [CrossRef]
- Andre, T.; Reyes-Vidal, J.M.; Fartoux, L.; Ross, P.; Leslie, M.; Rosmorduc, O.; Clemens, M.R.; Louvet, C.; Perez, N.; Mehmud, F.; et al. Gemcitabine and oxaliplatin in advanced biliary tract carcinoma: A phase II study. Br J Cancer 2008, 99, 862–867. [Google Scholar] [CrossRef]
- Song, B.G.; Park, J.K.; Kim, H.S.; Kim, K.; Park, J.K.; Lee, K.H.; Lee, K.T.; Lee, J.K. Prognosis and prognostic factors in patients with advanced biliary tract cancer depending on its anatomical location. Scand. J. Gastroenterol. 2019, 54, 740–745. [Google Scholar] [CrossRef]
- Park, I.; Lee, J.L.; Ryu, M.H.; Kim, T.W.; Sook Lee, S.; Hyun Park, D.; Soo Lee, S.; Wan Seo, D.; Koo Lee, S.; Kim, M.H. Prognostic factors and predictive model in patients with advanced biliary tract adenocarcinoma receiving first-line palliative chemotherapy. Cancer 2009, 115, 4148–4155. [Google Scholar] [CrossRef]
- Hundal, R.; Shaffer, E.A. Gallbladder cancer: Epidemiology and outcome. Clin. Epidemiol. 2014, 6, 99–109. [Google Scholar] [CrossRef]
- Schmidt, M.A.; Marcano-Bonilla, L.; Roberts, L.R. Gallbladder cancer: Epidemiology and genetic risk associations. Chin. Clin. Oncol. 2019, 8, 31. [Google Scholar] [CrossRef] [PubMed]
- Suzuki, Y.; Kan, M.; Kimura, G.; Umemoto, K.; Watanabe, K.; Sasaki, M.; Takahashi, H.; Hashimoto, Y.; Imaoka, H.; Ohno, I.; et al. Predictive factors of the treatment outcome in patients with advanced biliary tract cancer receiving gemcitabine plus cisplatin as first-line chemotherapy. J. Gastroenterol. 2019, 54, 281–290. [Google Scholar] [CrossRef] [PubMed] [Green Version]
- Salati, M.; Filippi, R.; Vivaldi, C.; Caputo, F.; Leone, F.; Salani, F.; Cerma, K.; Aglietta, M.; Fornaro, L.; Sperti, E.; et al. The prognostic nutritional index predicts survival and response to first-line chemotherapy in advanced biliary cancer. Liver Int. 2020, 40, 704–711. [Google Scholar] [CrossRef]
- Bridgewater, J.; Lopes, A.; Wasan, H.; Malka, D.; Jensen, L.; Okusaka, T.; Knox, J.; Wagner, D.; Cunningham, D.; Shannon, J.; et al. Prognostic factors for progression-free and overall survival in advanced biliary tract cancer. Ann. Oncol. 2016, 27, 134–140. [Google Scholar] [CrossRef]
- McNamara, M.G.; Templeton, A.J.; Maganti, M.; Walter, T.; Horgan, A.M.; McKeever, L.; Min, T.; Amir, E.; Knox, J.J. Neutrophil/lymphocyte ratio as a prognostic factor in biliary tract cancer. Eur. J. Cancer 2014, 50, 1581–1589. [Google Scholar] [CrossRef]
- Tang, H.; Lu, W.; Li, B.; Li, C.; Xu, Y.; Dong, J. Prognostic significance of neutrophil-to-lymphocyte ratio in biliary tract cancers: A systematic review and meta-analysis. Oncotarget 2017, 8, 36857–36868. [Google Scholar] [CrossRef] [Green Version]
- Mady, M.; Prasai, K.; Tella, S.H.; Yadav, S.; Hallemeier, C.L.; Rakshit, S.; Roberts, L.; Borad, M.; Mahipal, A. Neutrophil to lymphocyte ratio as a prognostic marker in metastatic gallbladder cancer. HPB 2020, 22, 1490–1495. [Google Scholar] [CrossRef]
- Okusaka, T.; Nakachi, K.; Fukutomi, A.; Mizuno, N.; Ohkawa, S.; Funakoshi, A.; Nagino, M.; Kondo, S.; Nagaoka, S.; Funai, J.; et al. Gemcitabine alone or in combination with cisplatin in patients with biliary tract cancer: A comparative multicentre study in Japan. Br. J. Cancer 2010, 103, 469–474. [Google Scholar] [CrossRef] [PubMed] [Green Version]
- Randen, M.; Helde-Frankling, M.; Runesdotter, S.; Strang, P. Treatment decisions and discontinuation of palliative chemotherapy near the end-of-life, in relation to socioeconomic variables. Acta Oncol. 2013, 52, 1062–1066. [Google Scholar] [CrossRef] [PubMed]
- Haun, M.W.; Estel, S.; Rucker, G.; Friederich, H.C.; Villalobos, M.; Thomas, M.; Hartmann, M. Early palliative care for adults with advanced cancer. Cochrane Database Syst. Rev. 2017, 6, CD011129. [Google Scholar] [CrossRef] [PubMed]
- Vanbutsele, G.; Pardon, K.; Van Belle, S.; Surmont, V.; De Laat, M.; Colman, R.; Eecloo, K.; Cocquyt, V.; Geboes, K.; Deliens, L. Effect of early and systematic integration of palliative care in patients with advanced cancer: A randomised controlled trial. Lancet Oncol. 2018, 19, 394–404. [Google Scholar] [CrossRef]



| Patient, Tumour and Treatment Characteristics | Number (%) |
|---|---|
| Gender | |
| Male | 60 (50.4) |
| Female | 61 (49.6) |
| Age | |
| ≥65 | 60 (49.6) |
| <65 | 61 (50.4) |
| ECOG performance status | |
| 0 | 40 (34.8) |
| 1 | 56 (48.7) |
| 2 | 19 (16.5) |
| Tumour stage | |
| Locally advanced | 31 (25.6) |
| Metastasised | 72 (59.5) |
| Number of metastases at baseline | |
| 0 | 26 (21.5) |
| 1 | 59 (48.8) |
| 2 | 25 (20.7) |
| >2 | 11 (9.1) |
| Metastatic site(s) in patients with upfront metastasised disease | |
| Liver | 36 (29.8) |
| Peritoneum | 27 (22.3) |
| Lymph nodes | 24 (19.8) |
| Lung | 16 (13.2) |
| Other | 7 (5.8) |
| Metastatic site(s) in patients with recurrent disease | |
| Liver | 17 (48.6) |
| Local relapse | 16 (45.7) |
| Lymph nodes | 9 (25.7) |
| Lung | 5 (14.3) |
| Peritoneum | 4 (11.4) |
| Other | 1 (2.9) |
| Previous chemotherapy | |
| Adjuvant | 17 (14) |
| Neoadjuvant | 3 (2.5) |
| Drugs included in adjuvant chemotherapy | |
| Capecitabine | 11 (64.7) |
| Gemcitabine | 2 (11.8) |
| Gemcitabine/Oxaliplatin | 2 (11.8) |
| Gemcitabine/Capecitabine | 1 (5.9) |
| 5-FU/Capecitabine | 1 (5.9) |
| Histology/cytology verified diagnosis | |
| Yes | 101 (83.5) |
| No | 20 (16.5) |
| Previous curative intent surgery performed | |
| Yes | 35 (28.9) |
| No | 86 (71.1) |
| Site of primary tumour | |
| Intrahepatic | 36 (30.0) |
| Perihilar | 35 (29.0) |
| Gallbladder | 31 (25.6) |
| Distal | 13 (10.7) |
| Missing data | 6 (5.0) |
| Plasma albumin at baseline | |
| <35 | 56 (46.3) |
| ≥35 | 65 (53.7) |
| Full dose at start | |
| Gemcitabine | 82 (67.8) |
| Oxaliplatin | 81 (66.9) |
| Reason for dose reduction at start | |
| General health deterioration | 11 (9.1) |
| Elevated liver enzymes | 8 (6.6) |
| Adverse event from previous adjuvant therapy | 6 (5) |
| Age | 4 (3.3) |
| Other | 5 (4.1) |
| Unknown reason | 12 (9.9) |
| Dose reduction later on | |
| Gemcitabine | 68 (56.2) |
| Oxaliplatin | 91 (75.2) |
| Reason for dose reduction later on | |
| Peripheral neurotoxicity | 33 (27.3) |
| Haematological | 32 (26.4) |
| Elevated liver enzymes | 10 (8.3) |
| Gastrointestinal | 1 (0.8) |
| Infection | 1 (0.8) |
| Renal | 0 (0) |
| Other | 17 (14.0) |
| Discontinuation of oxaliplatin before discontinuation of gemcitabine | |
| Yes | 38 (31.4) |
| Treatment after GemOx | |
| Yes | 62 (51.2) |
| No Unknown/censored | 54 (44.6) 5 (4.1) |
| Drugs covered by second and later lines of treatment after GemOx | |
| Capecitabine | 55 (88.7) |
| 5-FU | 17 (27.4) |
| Irinotecan | 9 (14.5) |
| Cisplatin | 1 (1.6) |
| Carboplatin | 1 (1.6) |
| Other | 6 (9.7) |
| Main reason for termination of GemOx | |
| Progression | 72 (59.5) |
| Impaired performance status | 18 (14.9) |
| Toxicity | 7 (5.8) |
| Elevated liver enzymes | 6 (5.0) |
| Stable disease/planned treatment holiday | 5 (4.1) |
| Death | 5 (4.1) |
| Ongoing treatment | 2 (1.7) |
| Other | 6 (5.0) |
| Number of treatment cycles GemOx, median (range) | 6 (1–21) |
| Number of treatment cycles Gem, median (range) | 7 (1–69) |
| Alkaline phosphatase (ALP) | |
| >2 | 47 (40.5) |
| ≤2 | 69 (59.5) |
| dNLR | |
| <3.0 | 65 (77.4) |
| ≥3.0 | 19 (22.6) |
| Type of Bone Marrow Toxicity | 0 | 1 | 2 | 3 | 4 |
|---|---|---|---|---|---|
| Anaemia | 20 (16.8) | 67 (56.3) | 27 (22.7) | 5 (4.2) | 0 (0) |
| Thrombocytopenia | 30 (25.2) | 73 (61.3) | 12 (10.1) | 4 (3.4) | 0 (0) |
| Leukopenia | 94 (79.0) | 5 (4.2) | 16 (13.4) | 4 (3.4) | 0 (0) |
| Neutropenia | 47 (64.4) | 5 (6.8) | 15 (20.5) | 6 (8.2) | 0 (0) |
| Patient and Tumour Characteristics | OS (95% CI) | HR Univariate (95% CI) | p | HR Multivariate (95% CI) | p |
|---|---|---|---|---|---|
| Total cohort | 8.9 (7.2–10.6) | ||||
| Performance status | 2.6 (1.5–4.6) | 0.001 | |||
| ECOG 0 | 12.5 (8.9–16.1) | ||||
| ECOG > 0 | 8.2 (7.1–10.7) | 2.3 (1.4–3.6) | 0.001 | ||
| Gender | |||||
| Male | 11.0 (8.8–13.3) | ||||
| Female | 8.0 (6.6–9.3) | 1.6 (1.1–2.4) | 0.017 | 1.0 (0.6–1.7) | 0.89 |
| Curative intent surgery performed | |||||
| Yes | 8.0 (6.6–9.3) | ||||
| No | 9.6 (7.4–11.8) | 1.0 (0.7–1.6) | 0.883 | ||
| Age | |||||
| ≥65 | 8.2 (5.9–10.5) | ||||
| <65 | 9.7 (7.5–11.8) | 0.9 (0.6–1.3) | 0.605 | ||
| Albumin | |||||
| ≥35 | 10.5 (8.0–13.0) | ||||
| <35 | 7.4 (4.7–10.0) | 1.5 (1.1–2.2) | 0.03 | 1.4 (0.8–2.4) | 0.241 |
| ALP | |||||
| >2 | 8.2 (6.8–9.6) | ||||
| ≤2 | 10.3 (8.2–12.5) | 0.7 (0.5–1.1) | 0.096 | ||
| Metastatic burden | |||||
| 0–1 | 10.1 (7.9–12.3) | ||||
| ≥2 | 7.8 (6.9–8.6) | 1.4 (0.9–2.2) | 0.091 | ||
| Previous adjuvant chemotherapy | |||||
| Yes | 7.5 (5.8–9.3) | ||||
| No | 9.7 (7.7–11.6) | 0.7 (0.4–1.2) | 0.156 | ||
| dNLR | |||||
| <3.0 | 8.7 (7.2–10.3) | ||||
| ≥3.0 | 5.2 (2.5–7.9) | 1.8 (1.1–3.0) | 0.031 | 1.4 (0.8–2.6) | 0.235 |
| Gallbladder cancer | 0.036 | ||||
| No | 10.4 (8.1–12.8) | ||||
| Yes | 7.0 (4.2–9.9) | 2.3 (1.4–3.5) | <0.001 | 1.9 (1.0–3.5) | |
| Lymph nodes by primary diagnosis | 0.624 | ||||
| Yes | 6.8 (2.9–10.8) | ||||
| No | 10.1 (7.6–12.5) | 0.6 (0.4–0.9) | 0.016 | 0.9 (0.5–1.6) | |
| Lung metastases by primary diagnosis | |||||
| Yes | 7.8 (2.9-12.6) | ||||
| No | 8.9 (7.1-10.7) | 0.9 (0.5-1.6) | 0.728 | ||
| Peritoneum metastases by primary diagnosis | |||||
| Yes | 10.1 (4.8–15.4) | ||||
| No | 8.9 (7.5–10.2) | 0.9 (0.6–1.4) | 0.622 | ||
| Liver metastases by primary diagnosis | |||||
| Yes | 7.8 (4.7–10.8) | ||||
| No | 9.4 (7.4–11.5) | 0.8 (0.5–1.2) | 0.325 |
| Patient and Tumour Characteristics | PFS (95% CI) | HR Univariate (95% CI) | p | HR Multivariate (95% CI) | p |
|---|---|---|---|---|---|
| Total cohort | 5.3 (3.8–6.7) | ||||
| Performance status | |||||
| ECOG 0 | 6.8 (4.1–9.5) | ||||
| ECOG > 0 | 3.9 (3.0–4.7) | 1.8 (1.2–2.7) | 0.008 | 2.1 (1.2–3.5) | 0.007 |
| Gender | |||||
| Male | 6.3 (3.6–9.0) | ||||
| Female | 4.4 (2.8–6.0) | 1.5 (1.0–2.2) | 0.032 | 1.0 (0.6–1.6) | 0.893 |
| Curative intent surgery performed | |||||
| Yes | 5.7 (3.8–7.7) | ||||
| No | 5.3 (3.2–7.4) | 1.1 (0.7–1.7) | 0.636 | ||
| Age | |||||
| ≥65 | 3.9 (1.8–6.0) | ||||
| <65 | 6.1 (4.1–8.2) | 0.9 (0.6–1.3) | 0.705 | ||
| Albumin | |||||
| ≥35 | 6.3 (5.1–7.4) | ||||
| <35 | 3.7 (2.7–4.8) | 1.3 (0.9–1.8) | 0.217 | ||
| ALP | |||||
| >2 | 3.5 (2.0–5.1) | ||||
| ≤2 | 6.4 (5.2–7.5) | 0.7 (0.5–1.0) | 0.064 | ||
| Metastatic burden | |||||
| 0–1 | 6.1 (4.9–7.4) | ||||
| ≥2 | 3.9 (2.3–5.5) | 1.3 (0.9–2.0) | 0.188 | ||
| Previous adjuvant chemotherapy | |||||
| Yes | 3.4 (1.2–5.6) | ||||
| No | 5.7 (4.2–7.3) | 0.6 (0.4–1.0) | 0.063 | ||
| dNLR | |||||
| <3.0 | 6.1 (4.9–7.4) | ||||
| ≥3.0 | 2.1 (1.9–2.2) | 2.7 (1.6–4.6) | <0.001 | 2.4 (1.4–4.3) | 0.002 |
| Gallbladder cancer | 1.7 (1.1–2.7) | 0.015 | 1.4 (0.8–2.4) | 0.249 | |
| No | 5.9 (3.8–8.0) | ||||
| Yes | 3.7 (2.0–5.4) | ||||
| Lymph nodes by primary diagnosis | 0.8 (0.5–1.2) | 0.259 | |||
| Yes | 3.7 (2.1–5.4) | ||||
| No | 5.9 (4.4–7.4) | ||||
| Lung metastases by primary diagnosis | 0.7 (0.4–1.1) | 0.14 | |||
| Yes | 3.3 (2.35–4.28) | ||||
| No | 5.9 (4.7–7.2) | ||||
| Peritoneum metastasis by primary diagnosis | 0.7 (0.5–1.1) | 0.16 | |||
| Yes | 3.7 (1.8–5.7) | ||||
| No | 5.7 (4.1–7.4) | ||||
| Liver metastases by primary diagnosis | 0.8 (0.6–1.2) | 0.325 | |||
| Yes | 3.6 (2.7–4.6) | ||||
| No | 6.1 (4.5–7.7) |
| Parameter | Number (%) or Median (Range) |
|---|---|
| Inclusion into specialist palliative care, n (%) | 74 (61.2) |
| Days from incurable diagnosis until inclusion in palliative care, median (range) | 260.5 (7–1491) |
| Days from inclusion in palliative care until death, median (range) | 36 (0–1059) |
| Days from last dose of gemcitabine until death, median (range) | |
| Total | 123.5 (2–1183) |
| Treatment after Gem | 166.5 (37–1183) |
| No treatment after Gem | 61.5 (2–455) |
| Patients receiving treatment with GemOx in the last 30 days of life | |
| Total | 10 (8.3) |
| No treatment after GemOx | 10 (18.5) |
Publisher’s Note: MDPI stays neutral with regard to jurisdictional claims in published maps and institutional affiliations. |
© 2021 by the authors. Licensee MDPI, Basel, Switzerland. This article is an open access article distributed under the terms and conditions of the Creative Commons Attribution (CC BY) license (https://creativecommons.org/licenses/by/4.0/).
Share and Cite
Lagenfelt, H.; Blomstrand, H.; Elander, N.O. Real-World Evidence on Palliative Gemcitabine and Oxaliplatin (GemOx) Combination Chemotherapy in Advanced Biliary Tract Cancer. Cancers 2021, 13, 3507. https://doi.org/10.3390/cancers13143507
Lagenfelt H, Blomstrand H, Elander NO. Real-World Evidence on Palliative Gemcitabine and Oxaliplatin (GemOx) Combination Chemotherapy in Advanced Biliary Tract Cancer. Cancers. 2021; 13(14):3507. https://doi.org/10.3390/cancers13143507
Chicago/Turabian StyleLagenfelt, Hanna, Hakon Blomstrand, and Nils O. Elander. 2021. "Real-World Evidence on Palliative Gemcitabine and Oxaliplatin (GemOx) Combination Chemotherapy in Advanced Biliary Tract Cancer" Cancers 13, no. 14: 3507. https://doi.org/10.3390/cancers13143507
APA StyleLagenfelt, H., Blomstrand, H., & Elander, N. O. (2021). Real-World Evidence on Palliative Gemcitabine and Oxaliplatin (GemOx) Combination Chemotherapy in Advanced Biliary Tract Cancer. Cancers, 13(14), 3507. https://doi.org/10.3390/cancers13143507
