Impact of High-Dose Methotrexate on the Outcome of Patients with Diffuse Large B-Cell Lymphoma and Skeletal Involvement
Abstract
Simple Summary
Abstract
1. Introduction
2. Materials and Methods
2.1. Patients and Setting
2.2. Data Collection
2.3. Endpoints
2.4. Statistical Analysis
3. Results
3.1. Patients Characteristics
3.2. Outcome of Patients
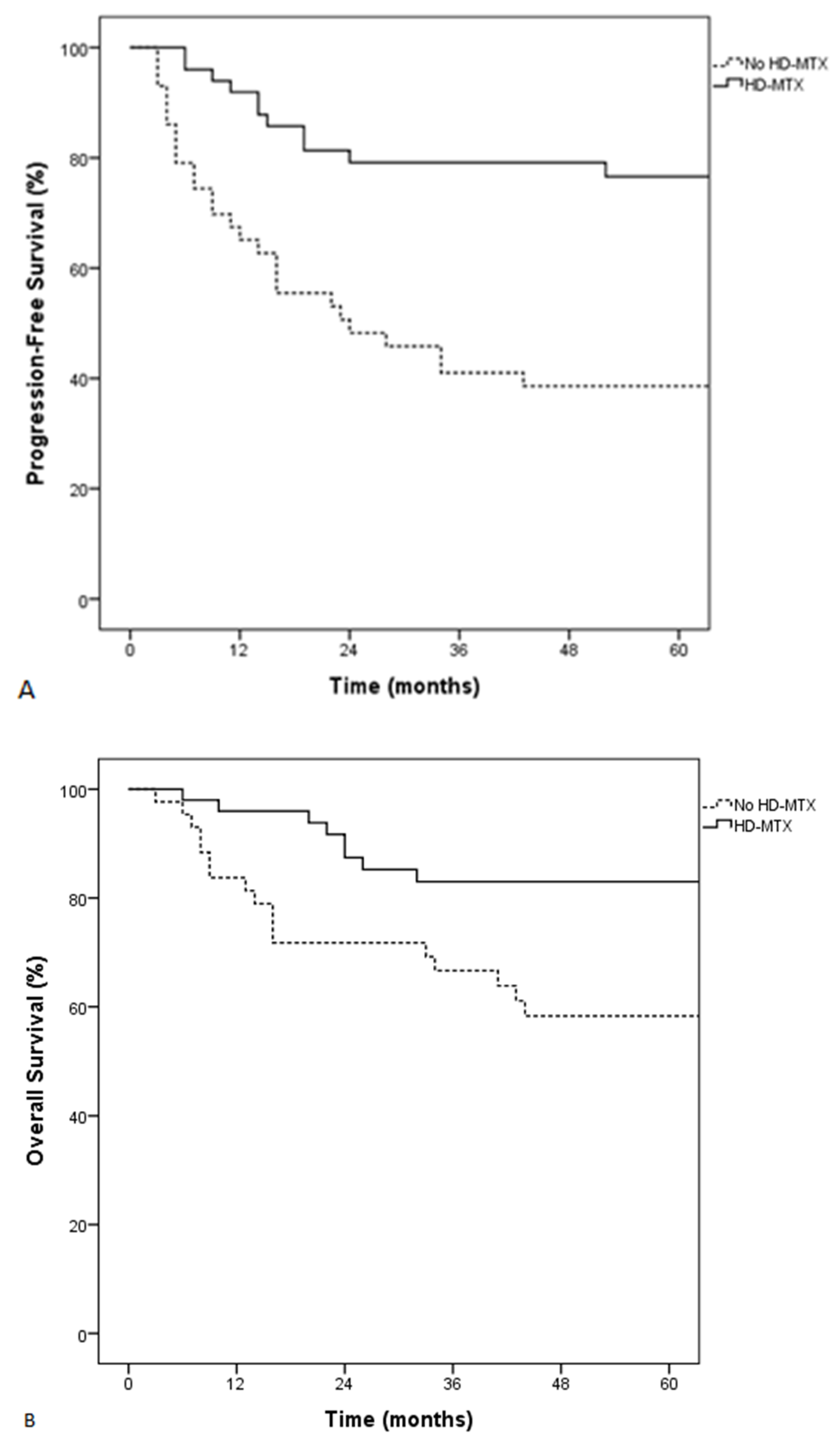
3.3. Impact of High Dose Methotrexate
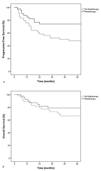
3.4. Impact of Radiotherapy and Autologous Stem Cell Transplantation
4. Discussion
5. Conclusions
Supplementary Materials
Author Contributions
Funding
Institutional Review Board Statement
Informed Consent Statement
Data Availability Statement
Acknowledgments
Conflicts of Interest
References
- Swerdlow, S.H.; Campo, E.; Harris, N.L.; Jaffe, E.S.; Pileri, S.A.; Stein, H.; Thiele, J. WHO Classification of Tumours of Haematopoietic and Lymphoid Tissues; IARC Press: Lyon, France, 2008. [Google Scholar]
- Freeman, C.; Berg, J.W.; Cutler, S.J. Occurrence and prognosis of extranodal lymphomas. Cancer 1972, 29, 252–260. [Google Scholar] [CrossRef]
- Jones, D.; Kraus, M.D.; Dorfman, D.M. Lymphoma presenting as a solitary bone lesion. Am. J. Clin. Pathol. 1999, 111, 171–178. [Google Scholar] [CrossRef]
- Ramadan, K.M.; Shenkier, T.; Sehn, L.H.; Gascoyne, R.D.; Connors, J.M. A clinicopathological retrospective study of 131 patients with primary bone lymphoma: A population-based study of successively treated cohorts from the British Columbia Cancer Agency. Ann. Oncol 2007, 18, 129–135. [Google Scholar] [CrossRef] [PubMed]
- Messina, C.; Christie, D.; Zucca, E.; Gospodarowicz, M.; Ferreri, A.J. Primary and secondary bone lymphomas. Cancer Treat. Rev. 2015, 41, 235–246. [Google Scholar] [CrossRef] [PubMed]
- Lee, H.Y.; Kim, S.J.; Kim, K.; Ko, Y.H.; Kim, W.S. Bone involvement in patients with stage IV diffuse large B-cell lymphoma: Does it have a prognostic value? Leuk Lymphoma 2012, 53, 173–175. [Google Scholar] [CrossRef]
- Bruno Ventre, M.; Ferreri, A.J.; Gospodarowicz, M.; Govi, S.; Messina, C.; Porter, D.; Radford, J.; Heo, D.S.; Park, Y.; Martinelli, G.; et al. Clinical features, management, and prognosis of an international series of 161 patients with limited-stage diffuse large B-cell lymphoma of the bone (the IELSG-14 study). Oncologist 2014, 19, 291–298. [Google Scholar] [CrossRef] [PubMed]
- Messina, C.; Ferreri, A.J.; Govi, S.; Bruno-Ventre, M.; Gracia Medina, E.A.; Porter, D.; Radford, J.; Heo, D.S.; Park, H.Y.; Pro, B.; et al. Clinical features, management and prognosis of multifocal primary bone lymphoma: A retrospective study of the international extranodal lymphoma study group (the IELSG 14 study). Br. J. Haematol. 2014, 164, 834–840. [Google Scholar] [CrossRef]
- Coiffier, B.; Lepage, E.; Briere, J.; Herbrecht, R.; Tilly, H.; Bouabdallah, R.; Morel, P.; Van Den Neste, E.; Salles, G.; Gaulard, P.; et al. CHOP chemotherapy plus rituximab compared with CHOP alone in elderly patients with diffuse large-B-cell lymphoma. N. Engl. J. Med. 2002, 346, 235–242. [Google Scholar] [CrossRef] [PubMed]
- Held, G.; Zeynalova, S.; Murawski, N.; Ziepert, M.; Kempf, B.; Viardot, A.; Dreyling, M.; Hallek, M.; Witzens-Harig, M.; Fleckenstein, J.; et al. Impact of rituximab and radiotherapy on outcome of patients with aggressive B-cell lymphoma and skeletal involvement. J. Clin. Oncol. 2013, 31, 4115–4122. [Google Scholar] [CrossRef]
- Gavrilovic, I.T.; Hormigo, A.; Yahalom, J.; DeAngelis, L.M.; Abrey, L.E. Long-term follow-up of high-dose methotrexate-based therapy with and without whole brain irradiation for newly diagnosed primary CNS lymphoma. J. Clin. Oncol. 2006, 24, 4570–4574. [Google Scholar] [CrossRef]
- Abramson, J.S.; Hellmann, M.; Barnes, J.A.; Hammerman, P.; Toomey, C.; Takvorian, T.; Muzikansky, A.; Hochberg, E.P. Intravenous methotrexate as central nervous system (CNS) prophylaxis is associated with a low risk of CNS recurrence in high-risk patients with diffuse large B-cell lymphoma. Cancer 2010, 116, 4283–4290. [Google Scholar] [CrossRef]
- Landsburg, D.J.; Falkiewicz, M.K.; Maly, J.; Blum, K.A.; Howlett, C.; Feldman, T.; Mato, A.R.; Hill, B.T.; Li, S.; Medeiros, L.J.; et al. Outcomes of Patients With Double-Hit Lymphoma Who Achieve First Complete Remission. J. Clin. Oncol 2017, 35, 2260–2267. [Google Scholar] [CrossRef]
- Leppä, S.; Jørgensen, J.; Tierens, A.; Meriranta, L.; Østlie, I.; de Nully Brown, P.; Fagerli, U.M.; Larsen, T.S.; Mannisto, S.; Munksgaard, L.; et al. Patients with high-risk DLBCL benefit from dose-dense immunochemotherapy combined with early systemic CNS prophylaxis. Blood Adv. 2020, 4, 1906–1915. [Google Scholar] [CrossRef]
- Djerassi, I.; Kim, J.S. Methotrexate and citrovorum factor rescue in the management of childhood lymphosarcoma and reticulum cell sarcoma (non-Hodgkin’s lymphomas): Parolonged unmaintained remissions. Cancer 1976, 38, 1043–1051. [Google Scholar] [CrossRef]
- Bacci, G.; Ferrari, S.; Delepine, N.; Bertoni, F.; Picci, P.; Mercuri, M.; Bacchini, P.; Brach del Prever, A.; Tienghi, A.; Comandone, A.; et al. Predictive factors of histologic response to primary chemotherapy in osteosarcoma of the extremity: Study of 272 patients preoperatively treated with high-dose methotrexate, doxorubicin, and cisplatin. J. Clin. Oncol. 1998, 16, 658–663. [Google Scholar] [CrossRef] [PubMed]
- Isakoff, M.S.; Bielack, S.S.; Meltzer, P.; Gorlick, R. Osteosarcoma: Current Treatment and a Collaborative Pathway to Success. J. Clin. Oncol. 2015, 33, 3029–3035. [Google Scholar] [CrossRef] [PubMed]
- Whelan, J.S.; Bielack, S.S.; Marina, N.; Smeland, S.; Jovic, G.; Hook, J.M.; Krailo, M.; Anninga, J.; Butterfass-Bahloul, T.; Böhling, T.; et al. EURAMOS-1, an international randomised study for osteosarcoma: Results from pre-randomisation treatment. Ann. Oncol. 2015, 26, 407–414. [Google Scholar] [CrossRef] [PubMed]
- Fletcher, C.D.M.; Bridge, J.A.; Hogendoorn, P.; Mertens, F. WHO Classification of Tumours of Soft Tissue and Bone; IARC: Lyon, France, 2013. [Google Scholar]
- Jawad, M.U.; Schneiderbauer, M.M.; Min, E.S.; Cheung, M.C.; Koniaris, L.G.; Scully, S.P. Primary lymphoma of bone in adult patients. Cancer 2010, 116, 871–879. [Google Scholar] [CrossRef] [PubMed]
- Schmitz, N.; Zeynalova, S.; Nickelsen, M.; Kansara, R.; Villa, D.; Sehn, L.H.; Glass, B.; Scott, D.W.; Gascoyne, R.D.; Connors, J.M.; et al. CNS International Prognostic Index: A Risk Model for CNS Relapse in Patients With Diffuse Large B-Cell Lymphoma Treated With R-CHOP. J. Clin. Oncol. 2016, 34, 3150–3156. [Google Scholar] [CrossRef] [PubMed]
- Cheson, B.D.; Pfistner, B.; Juweid, M.E.; Gascoyne, R.D.; Specht, L.; Horning, S.J.; Coiffier, B.; Fisher, R.I.; Hagenbeek, A.; Zucca, E.; et al. Revised response criteria for malignant lymphoma. J. Clin. Oncol. 2007, 25, 579–586. [Google Scholar] [CrossRef] [PubMed]
- Cheson, B.D. New response criteria for lymphomas in clinical trials. Ann. Oncol. 2008, 19, iv35–iv38. [Google Scholar] [CrossRef]
- Delgado, J.; Pereira, A.; Villamor, N.; López-Guillermo, A.; Rozman, C. Survival analysis in hematologic malignancies: Recommendations for clinicians. Haematologica 2014, 99, 1410–1420. [Google Scholar] [CrossRef] [PubMed]
- Schaefer, N.G.; Strobel, K.; Taverna, C.; Hany, T.F. Bone involvement in patients with lymphoma: The role of FDG-PET/CT. Eur. J. Nucl Med. Mol. Imaging 2007, 34, 60–67. [Google Scholar] [CrossRef]
- Wu, H.; Zhang, L.; Shao, H.; Sokol, L.; Sotomayor, E.; Letson, D.; Bui, M.M. Prognostic significance of soft tissue extension, international prognostic index, and multifocality in primary bone lymphoma: A single institutional experience. Br. J. Haematol. 2014, 166, 60–68. [Google Scholar] [CrossRef] [PubMed]
- Lehners, N.; Krämer, I.; Saadati, M.; Benner, A.; Ho, A.D.; Witzens-Harig, M. Analysis of prognostic factors in patients with newly diagnosed diffuse large B-cell lymphoma and skeletal involvement. BMC Cancer 2017, 17, 128. [Google Scholar] [CrossRef] [PubMed]
- Xiao, Y.; Zhu, F.; Liu, T.; Li, Q.; Li, X.; Wu, G.; Li, J.; Zhang, L. Beneficial effect of consolidative radiotherapy for patients with lymphoma and skeletal involvement. Medicine 2019, 98, e16688. [Google Scholar] [CrossRef] [PubMed]
- Skarin, A.T.; Canellos, G.P.; Rosenthal, D.S.; Case, D.C.; MacIntyre, J.M.; Pinkus, G.S.; Moloney, W.C.; Frei, E. Improved prognosis of diffuse histiocytic and undifferentiated lymphoma by use of high dose methotrexate alternating with standard agents (M-BACOD). J. Clin. Oncol. 1983, 1, 91–98. [Google Scholar] [CrossRef]
- Blay, J.Y.; Conroy, T.; Chevreau, C.; Thyss, A.; Quesnel, N.; Eghbali, H.; Bouabdallah, R.; Coiffier, B.; Wagner, J.P.; Le Mevel, A.; et al. High-dose methotrexate for the treatment of primary cerebral lymphomas: Analysis of survival and late neurologic toxicity in a retrospective series. J. Clin. Oncol. 1998, 16, 864–871. [Google Scholar] [CrossRef] [PubMed]
- Farhi, J.; Laribi, K.; Orvain, C.; Hamel, J.F.; Mercier, M.; Sutra Del Galy, A.; Clavert, A.; Rousselet, M.C.; Tanguy-Schmidt, A.; Hunault-Berger, M.; et al. Impact of front line relative dose intensity for methotrexate and comorbidities in immunocompetent elderly patients with primary central nervous system lymphoma. Ann. Hematol. 2018, 97, 2391–2401. [Google Scholar] [CrossRef]
- Abrey, L.E.; Moskowitz, C.H.; Mason, W.P.; Crump, M.; Stewart, D.; Forsyth, P.; Paleologos, N.; Correa, D.D.; Anderson, N.D.; Caron, D.; et al. Intensive methotrexate and cytarabine followed by high-dose chemotherapy with autologous stem-cell rescue in patients with newly diagnosed primary CNS lymphoma: An intent-to-treat analysis. J. Clin. Oncol. 2003, 21, 4151–4156. [Google Scholar] [CrossRef]
- Schmitz, N.; Zeynalova, S.; Glass, B.; Kaiser, U.; Cavallin-Stahl, E.; Wolf, M.; Haenel, M.; Loeffler, M.; Truemper, L.; Pfreundschuh, M. CNS disease in younger patients with aggressive B-cell lymphoma: An analysis of patients treated on the Mabthera International Trial and trials of the German High-Grade Non-Hodgkin Lymphoma Study Group. Ann. Oncol. 2012, 23, 1267–1273. [Google Scholar] [CrossRef]
- Liang, R.; Chiu, E.; Loke, S.L. Secondary central nervous system involvement by non-Hodgkin’s lymphoma: The risk factors. Hematol. Oncol. 1990, 8, 141–145. [Google Scholar] [CrossRef] [PubMed]
- Siegal, T.; Goldschmidt, N. CNS prophylaxis in diffuse large B-cell lymphoma: If, when, how and for whom? Blood Rev. 2012, 26, 97–106. [Google Scholar] [CrossRef] [PubMed]
- Cheah, C.Y.; Herbert, K.E.; O’Rourke, K.; Kennedy, G.A.; George, A.; Fedele, P.L.; Gilbertson, M.; Tan, S.Y.; Ritchie, D.S.; Opat, S.S.; et al. A multicentre retrospective comparison of central nervous system prophylaxis strategies among patients with high-risk diffuse large B-cell lymphoma. Br. J. Cancer 2014, 111, 1072–1079. [Google Scholar] [CrossRef] [PubMed]
- Ferreri, A.J. Risk of CNS dissemination in extranodal lymphomas. Lancet Oncol. 2014, 15, e159–e169. [Google Scholar] [CrossRef]
- Kridel, R.; Telio, D.; Villa, D.; Sehn, L.H.; Gerrie, A.S.; Shenkier, T.; Klasa, R.; Slack, G.W.; Tan, K.; Gascoyne, R.D.; et al. Diffuse large B-cell lymphoma with testicular involvement: Outcome and risk of CNS relapse in the rituximab era. Br. J. Haematol 2017, 176, 210–221. [Google Scholar] [CrossRef]
- Ferreri, A.J.; Bruno-Ventre, M.; Donadoni, G.; Ponzoni, M.; Citterio, G.; Foppoli, M.; Vignati, A.; Scarfò, L.; Sassone, M.; Govi, S.; et al. Risk-tailored CNS prophylaxis in a mono-institutional series of 200 patients with diffuse large B-cell lymphoma treated in the rituximab era. Br. J. Haematol. 2015, 168, 654–662. [Google Scholar] [CrossRef]
- Goldschmidt, N.; Horowitz, N.A.; Heffes, V.; Darawshy, F.; Mashiach, T.; Shaulov, A.; Gatt, M.E.; Dann, E.J. Addition of high-dose methotrexate to standard treatment for patients with high-risk diffuse large B-cell lymphoma contributes to improved freedom from progression and survival but does not prevent central nervous system relapse. Leuk Lymphoma 2019, 60, 1890–1898. [Google Scholar] [CrossRef]
- Bobillo, S.; Joffe, E.; Lavery, J.A.; Sermer, D.; Ghione, P.; Noy, A.; Caron, P.C.; Hamilton, A.; Hamlin, P.A.; Horwitz, S.M.; et al. Clinical characteristics and outcomes of extranodal stage I diffuse large B-cell lymphoma in the rituximab era. Blood 2021, 137, 39–48. [Google Scholar] [CrossRef]
- Freeman, C.L.; Savage, K.J.; Villa, D.R.; Scott, D.W.; Srour, L.; Gerrie, A.S.; Brown, M.J.; Slack, G.W.; Farinha, P.; Skinnider, B.; et al. Long-term results of PET-guided radiation in patients with advanced-stage diffuse large B-cell lymphoma treated with R-CHOP. Blood 2021, 137, 929–938. [Google Scholar] [CrossRef]
- Gisselbrecht, C.; Lepage, E.; Molina, T.; Quesnel, B.; Fillet, G.; Lederlin, P.; Coiffier, B.; Tilly, H.; Gabarre, J.; Guilmin, F.; et al. Shortened first-line high-dose chemotherapy for patients with poor-prognosis aggressive lymphoma. J. Clin. Oncol. 2002, 20, 2472–2479. [Google Scholar] [CrossRef] [PubMed]
- Martelli, M.; Gherlinzoni, F.; De Renzo, A.; Zinzani, P.L.; De Vivo, A.; Cantonetti, M.; Falini, B.; Storti, S.; Meloni, G.; Rizzo, M.; et al. Early autologous stem-cell transplantation versus conventional chemotherapy as front-line therapy in high-risk, aggressive non-Hodgkin’s lymphoma: An Italian multicenter randomized trial. J. Clin. Oncol. 2003, 21, 1255–1262. [Google Scholar] [CrossRef]
- Schmitz, N.; Nickelsen, M.; Ziepert, M.; Haenel, M.; Borchmann, P.; Schmidt, C.; Viardot, A.; Bentz, M.; Peter, N.; Ehninger, G.; et al. Conventional chemotherapy (CHOEP-14) with rituximab or high-dose chemotherapy (MegaCHOEP) with rituximab for young, high-risk patients with aggressive B-cell lymphoma: An open-label, randomised, phase 3 trial (DSHNHL 2002-1). Lancet Oncol. 2012, 13, 1250–1259. [Google Scholar] [CrossRef]
- Stiff, P.J.; Unger, J.M.; Cook, J.R.; Constine, L.S.; Couban, S.; Stewart, D.A.; Shea, T.C.; Porcu, P.; Winter, J.N.; Kahl, B.S.; et al. Autologous transplantation as consolidation for aggressive non-Hodgkin’s lymphoma. N. Engl. J. Med. 2013, 369, 1681–1690. [Google Scholar] [CrossRef] [PubMed]




| Characteristic | Whole Cohort (n = 93) | Localized PBL (n = 13) | Multifocal PBL (n = 17) | Secondary Bone Lymphoma (n = 63) |
|---|---|---|---|---|
| Age | 57 (48–68) | 55 (25–63) | 51 (45–73) | 58 (50–67) |
| Age > 60 years | 42 (45%) | 4 (31%) | 7 (41%) | 31 (49%) |
| Gender (Male/Female) | 52/41 | 8/5 | 7/10 | 37/26 |
| ECOG > 1 | 46 (50%) | 1 (8%) | 6 (35%) | 39 (62%) |
| High LDH serum levels | 71 (76%) | 4 (31%) | 14 (82%) | 53 (84%) |
| Stage III/IV | 80 (86%) | 0 | 17 (100%) | 63 (100%) |
| aaIPI | ||||
| 0–1 | 19 (20%) | 12 (92%) | 2 (12%) | 5 (8%) |
| 2–3 | 74 (80%) | 1 (8%) | 15 (88%) | 58 (92%) |
| CNS-IPI | ||||
| 0–1 | 13 (14%) | 10 (77%) | 1 (6%) | 2 (3%) |
| 2–3 | 33 (35%) | 3 (23%) | 10 (59%) | 20 (32%) |
| ≥4 | 47 (51%) | 0 | 6 (35%) | 41 (65%) |
| Sites of Skeletal Involvement | ||||
| Axial | 84 (90%) | 9 (69%) | 15 (88%) | 60 (95%) |
| Skull | 7 (8%) | 1 (8%) | 1 (6%) | 5 (8%) |
| Vertebral | 58 (62%) | 5 (39%) | 10 (59%) | 43 (68%) |
| Rib Cage | 23 (25%) | 1 (8%) | 5 (29%) | 17 (27%) |
| Pelvis | 42 (45%) | 2 (15%) | 9 (53%) | 31 (49%) |
| Distal | 36 (39%) | 4 (31%) | 7 (41%) | 25 (40%) |
| Lower Limb | 23 (25%) | 3 (23%) | 2 (12%) | 18 (29%) |
| Upper Limb | 21 (23%) | 1 (8%) | 7 (41%) | 13 (21%) |
| Epidural Involvement | 33 (36%) | 2 (15%) | 10 (59%) | 21 (33%) |
| Bone Marrow Involvement | 36 (39%) | 1 (8%) | 3 (18%) | 32 (51%) |
| Prior Low-Grade Lymphoma | 14 (15%) | 0 | 1 (6%) | 13 (21%) |
| Treatment | ||||
| Initial Chemotherapy Regimen | ||||
| CHOP | 79 (85%) | 11 (85%) | 16 (94%) | 52 (83%) |
| MBACOD | 12 (13%) | 2 (15%) | 1 (6%) | 9 (14%) |
| Other | 2 (2%) | 0 | 0 | 2 (3%) |
| High-Dose Methotrexate | 50 (54%) | 2 (15%) | 11 (65%) | 37 (59%) |
| Platinum-based Consolidation | 21 (23%) | 3 (23%) | 2 (12%) | 16 (25%) |
| High-Dose Cytarabine Consolidation | 37 (40%) | 4 (31%) | 7 (41%) | 26 (41%) |
| Intra-Thecal Therapy | 39 (42%) | 4 (31%) | 12 (71%) | 23 (37%) |
| Radiotherapy | 40 (43%) | 8 (62%) | 8 (47%) | 24 (38%) |
| Autologous SCT | 39 (42%) | 1 (8%) | 9 (53%) | 29 (46%) |
| Whole Cohort (n = 93) | Localized PBL (n = 13) | Multifocal PBL (n = 17) | Secondary Bone Lymphoma (n = 63) | |
|---|---|---|---|---|
| Initial Response | ||||
| Complete Remission | 60 (65%) | 11 (85%) | 9 (53%) | 40 (64%) |
| Partial Response | 31 (33%) | 2 (15%) | 8 (47%) | 21 (33%) |
| Stable/Progressive Disease | 2 (2%) | 0 | 0 | 2 (3%) |
| Best Response | ||||
| Complete Remission | 66 (71%) | 13 (100%) | 13 (76%) | 40 (64%) |
| Partial Response | 22 (24%) | 0 | 1 (6%) | 21 (3%) |
| Relapse | 38 (41%) | 2 (15%) | 4 (24%) | 32 (51%) |
| Lymph Node | 16 (17%) | 0 | 2 (12%) | 14 (22%) |
| Skeletal | 17 (18%) | 1 (8%) | 3 (18%) | 13 (21%) |
| CNS | 11 (12%) | 1 (8%) | 0 | 10 (16%) |
| Other | 3 (3%) | 0 | 0 | 3 (5%) |
| PFS | OS | |||
|---|---|---|---|---|
| Characteristic | HR (95% CI) | p | HR (95% CI) | p |
| Age > 60 years | 2.8 (1.5–5.2) | 0.002 | 2.4 (1.1–5) | 0.02 |
| Gender (M/F) | 0.99 (0.5–1.8) | 0.97 | 0.8 (0.4–1.6) | 0.49 |
| ECOG > 1 | 3.1 (1.6–5.9) | 0.001 | 4.4 (1.9–9.9) | <0.001 |
| High LDH serum levels | 3.1 (1.2–7.8) | 0.02 | 2.4 (0.9–7) | 0.1 |
| Stage III/IV | 3.9 (0.9–16) | 0.06 | 5.3 (0.7–39) | 0.1 |
| aaIPI | ||||
| 0–1 | Ref. | Ref. | ||
| 2–3 | 4.4 (1.3–14) | 0.01 | 2.6 (0.8–8.7) | 0.11 |
| CNS-IPI | ||||
| 0–1 | Ref. | Ref. | ||
| 2–3 | 2.2 (0.5–10) | 0.31 | 0.99 (0.19–5.1) | 0.99 |
| ≥4 | 6.4 (1.5–27) | 0.01 | 4.3 (1–19) | 0.05 |
| Type of Lymphoma | ||||
| Localized PBL | Ref. | Ref. | ||
| Multifocal PBL | 1.8 (0.4–9.5) | 0.47 | 2.1 (0.2–20) | 0.52 |
| Secondary Bone Lymphoma | 4.6 (1.1–19) | 0.04 | 6.4 (0.9–47) | 0.07 |
| Sites of Skeletal Involvement | ||||
| Axial | 3 (0.7–12) | 0.14 | 3.8 (0.5–28) | 0.19 |
| Distal | 0.9 (0.5–1.7) | 0.78 | 1.1 (0.5–2.2) | 0.85 |
| Epidural Involvement | 0.6 (0.3–1.2) | 0.15 | 0.5 (0.2–1.2) | 0.13 |
| Bone Marrow Involvement | 1.4 (0.8–2.6) | 0.26 | 1.4 (0.7–2.9) | 0.34 |
| Prior Low-Grade Lymphoma | 0.99 (0.4–2.4) | 0.99 | 1.3 (0.5–3.5) | 0.56 |
| Treatment | ||||
| Initial Chemotherapy Regimen | ||||
| CHOP | Ref. | Ref. | ||
| MBACOD | 0.7 (0.3–1.7) | 0.38 | 0.8 (0.3–2.4) | 0.73 |
| Other | 0.9 (0.1–6.3) | 0.88 | 1.5 (0.2–11) | 0.7 |
| High-Dose Methotrexate | 0.3 (0.1–0.5) | <0.001 | 0.2 (0.1–0.5) | 0.001 |
| Platinum-based Consolidation | 1.1 (0.5–2.2) | 0.82 | 1.2 (0.5–2.6) | 0.7 |
| High-Dose Cytarabine Consolidation | 0.6 (0.3–1.2) | 0.14 | 0.7 (0.3–1.5) | 0.35 |
| Intra-Thecal Therapy | 0.8 (0.4–1.4) | 0.38 | 0.8 (0.4–1.6) | 0.48 |
| Radiotherapy | 0.5 (0.3–0.9) | 0.02 | 0.5 (0.2–1.1) | 0.01 |
| Characteristic | Whole Cohort (n = 93) | No HD-MTX (n = 43) | HD-MTX (n = 50) |
|---|---|---|---|
| Age | 57 (48–68) | 63 (54–72) | 52 (44–60) |
| Age > 60 years | 42 (45%) | 29 (67%) | 13 (26%) |
| Gender (M/F) | 52/41 | 23/20 | 29/21 |
| ECOG > 1 | 46 (50%) | 20 (47%) | 26 (52%) |
| High LDH serum levels | 71 (76%) | 33 (77%) | 38 (76%) |
| Stage III/IV | 80 (86%) | 32 (74%) | 48 (96%) |
| aaIPI | |||
| 0–1 | 19 (20%) | 13 (30%) | 6 (12%) |
| 2–3 | 74 (80%) | 30 (70%) | 44 (88%) |
| CNS-IPI | |||
| 0–1 | 13 (14%) | 9 (21%) | 4 (8%) |
| 2–3 | 33 (35%) | 9 (21%) | 24 (48%) |
| ≥4 | 47 (51%) | 25 (58%) | 22 (44%) |
| Type of Lymphoma | |||
| Localized PBL | 13 (14%) | 11 (26%) | 2 (4%) |
| Multifocal PBL | 17 (18%) | 6 (14%) | 11 (22%) |
| Secondary Bone Lymphoma | 63 (68%) | 26 (60%) | 37 (74%) |
| Sites of Skeletal Involvement | |||
| Axial | 84 (90%) | 37 (86%) | 47 (94%) |
| Skull | 7 (8%) | 3 (7%) | 4 (8%) |
| Vertebral | 58 (62%) | 24 (56%) | 34 (68%) |
| Rib Cage | 23 (25%) | 9 (21%) | 14 (28%) |
| Pelvis | 42 (45%) | 21 (49%) | 21 (42%) |
| Distal | 36 (39%) | 17 (40%) | 19 (38%) |
| Lower Limb | 23 (25%) | 11 (26%) | 12 (24%) |
| Upper Limb | 21 (23%) | 10 (23%) | 11 (22%) |
| Epidural Involvement | 33 (36%) | 6 (14%) | 27 (54%) |
| Bone Marrow Involvement | 36 (39%) | 15 (35%) | 21 (42%) |
| Prior Low-Grade Lymphoma | 14 (15%) | 2 (5%) | 12 (24%) |
| Treatment | |||
| Initial Chemotherapy Regimen | |||
| CHOP | 79 (85%) | 43 (100%) | 36 (72%) |
| MBACOD | 12 (13%) | 0 | 12 (24%) |
| Other | 2 (2%) | 0 | 2 (4%) |
| Platinum-based Consolidation | 21 (23%) | 5 (12%) | 16 (32%) |
| High-Dose Cytarabine Consolidation | 37 (40%) | 5 (12%) | 32 (64%) |
| Intra-Thecal Therapy | 39 (42%) | 14 (33%) | 25 (50%) |
| Radiotherapy | 40 (43%) | 14 (33%) | 26 (52%) |
| Autologous SCT | 39 (42%) | 6 (14%) | 33 (66%) |
Publisher’s Note: MDPI stays neutral with regard to jurisdictional claims in published maps and institutional affiliations. |
© 2021 by the authors. Licensee MDPI, Basel, Switzerland. This article is an open access article distributed under the terms and conditions of the Creative Commons Attribution (CC BY) license (https://creativecommons.org/licenses/by/4.0/).
Share and Cite
Mercier, M.; Orvain, C.; Drieu La Rochelle, L.; Marchand, T.; Nunes Gomes, C.; Giltat, A.; Paillassa, J.; Clavert, A.; Farhi, J.; Rousselet, M.-C.; et al. Impact of High-Dose Methotrexate on the Outcome of Patients with Diffuse Large B-Cell Lymphoma and Skeletal Involvement. Cancers 2021, 13, 2945. https://doi.org/10.3390/cancers13122945
Mercier M, Orvain C, Drieu La Rochelle L, Marchand T, Nunes Gomes C, Giltat A, Paillassa J, Clavert A, Farhi J, Rousselet M-C, et al. Impact of High-Dose Methotrexate on the Outcome of Patients with Diffuse Large B-Cell Lymphoma and Skeletal Involvement. Cancers. 2021; 13(12):2945. https://doi.org/10.3390/cancers13122945
Chicago/Turabian StyleMercier, Mélanie, Corentin Orvain, Laurianne Drieu La Rochelle, Tony Marchand, Christopher Nunes Gomes, Aurélien Giltat, Jérôme Paillassa, Aline Clavert, Jonathan Farhi, Marie-Christine Rousselet, and et al. 2021. "Impact of High-Dose Methotrexate on the Outcome of Patients with Diffuse Large B-Cell Lymphoma and Skeletal Involvement" Cancers 13, no. 12: 2945. https://doi.org/10.3390/cancers13122945
APA StyleMercier, M., Orvain, C., Drieu La Rochelle, L., Marchand, T., Nunes Gomes, C., Giltat, A., Paillassa, J., Clavert, A., Farhi, J., Rousselet, M.-C., Gyan, E., Houot, R., Moles-Moreau, M.-P., & Hunault-Berger, M. (2021). Impact of High-Dose Methotrexate on the Outcome of Patients with Diffuse Large B-Cell Lymphoma and Skeletal Involvement. Cancers, 13(12), 2945. https://doi.org/10.3390/cancers13122945

