Prognostic Genetic Biomarkers Based on Oncogenic Signaling Pathways for Outcome Prediction in Patients with Oral Cavity Squamous Cell Carcinoma
Abstract
Simple Summary
Abstract
1. Introduction
2. Materials and Methods
2.1. Dataset
2.2. DNA Extraction and Whole-Exome Sequencing
2.3. Somatic Mutation Calling
2.4. Copy-Number Alteration Analysis
2.5. Selection and Classification of Genes in Pathways
2.6. Mutational Signature Analysis
2.7. Significantly Mutated Genes
2.8. Statistical Analysis
3. Results
3.1. OCSCC Patient Samples
3.2. Somatic Mutations and Mutational Signatures
3.3. OCSCC Tumor Group (OTG) Subdivided with SBS Signatures
3.4. Recurrent Copy Number Events
3.5. Significantly Mutated Genes and Pathway Analysis
3.6. Co-Occurrence and Mutual Exclusivity
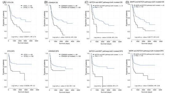
3.7. Survival Analysis for Mutations, Pathways, and Clinical Factors
4. Discussion
5. Conclusions
Supplementary Materials
Author Contributions
Funding
Institutional Review Board Statement
Informed Consent Statement
Data Availability Statement
Acknowledgments
Conflicts of Interest
References
- Chaturvedi, A.K.; Anderson, W.F.; Lortet-Tieulent, J.; Curado, M.P.; Ferlay, J.; Franceschi, S.; Rosenberg, P.S.; Bray, F.; Gillison, M.L. Worldwide trends in incidence rates for oral cavity and oropharyngeal cancers. J. Clin. Oncol. 2013, 31, 4550–4559. [Google Scholar] [CrossRef]
- Elwood, J.M.; Pearson, J.C.G.; Skippen, D.H.; Jackson, S.M. Alcohol, smoking, social and occupational factors in the aetiology of cancer of the oral cavity, pharynx and larynx. Int. J. Cancer 1984, 34, 603–612. [Google Scholar] [CrossRef]
- Chi, A.C.; Day, T.A.; Neville, B.W. Oral cavity and oropharyngeal squamous cell carcinoma—An update. CA Cancer J. Clin. 2015, 65, 401–421. [Google Scholar] [CrossRef]
- Cohen, E.E.; LaMonte, S.J.; Erb, N.L.; Beckman, K.L.; Sadeghi, N.; Hutcheson, K.A.; Stubblefield, M.D.; Abbott, D.M.; Fisher, P.S.; Stein, K.D.; et al. American Cancer Society head and neck cancer survivorship care guideline. CA Cancer J. Clin. 2016, 66, 203–239. [Google Scholar] [CrossRef]
- Agrawal, N.; Frederick, M.J.; Pickering, C.R.; Bettegowda, C.; Chang, K.; Li, R.J.; Fakhry, C.; Xie, T.-X.; Zhang, J.; Wang, J.; et al. Exome sequencing of head and neck squamous cell carcinoma reveals inactivating mutations in NOTCH1. Science 2011, 333, 1154–1157. [Google Scholar] [CrossRef] [PubMed]
- Stransky, N.; Egloff, A.M.; Tward, A.D.; Kostic, A.D.; Cibulskis, K.; Sivachenko, A.; Kryukov, G.V.; Lawrence, M.S.; Sougnez, C.; McKenna, A.; et al. The mutational landscape of head and neck squamous cell carcinoma. Science 2011, 333, 1157–1160. [Google Scholar] [CrossRef] [PubMed]
- Chen, S.-J.; Liu, H.; Liao, C.-T.; Huang, P.-J.; Huang, Y.; Hsu, A.; Tang, P.; Chang, Y.-S.; Chen, H.-C.; Yen, T.-C. Ultra-deep targeted sequencing of advanced oral squamous cell carcinoma identifies a mutation-based prognostic gene signature. Oncotarget 2015, 6, 18066. [Google Scholar] [CrossRef] [PubMed]
- Su, S.C.; Lin, C.-W.; Liu, Y.-F.; Fan, W.-L.; Chen, M.-K.; Yu, C.-P.; Yang, W.-E.; Su, C.-W.; Chuang, C.-Y.; Li, W.-H.; et al. Exome Sequencing of Oral Squamous Cell Carcinoma Reveals Molecular Subgroups and Novel Therapeutic Opportunities. Theranostics 2017, 7, 1088–1099. [Google Scholar] [CrossRef] [PubMed]
- Cancer Genome Atlas, N. Comprehensive genomic characterization of head and neck squamous cell carcinomas. Nature 2015, 517, 576–582. [Google Scholar] [CrossRef] [PubMed]
- Pickering, C.R.; Zhang, J.; Yoo, S.Y.; Bengtsson, L.; Moorthy, S.; Neskey, D.M.; Zhao, M.; Alves, M.V.O.; Chang, K.; Drummond, J.; et al. Integrative genomic characterization of oral squamous cell carcinoma identifies frequent somatic drivers. Cancer Discov 2013, 3, 770–781. [Google Scholar] [CrossRef]
- Sanchez-Vega, F.; Mina, M.; Armenia, J.; Chatila, W.K.; Luna, A.; La, K.C.; Dimitriadoy, S.; Liu, D.L.; Kantheti, H.S.; Saghafinia, S.; et al. Oncogenic Signaling Pathways in The Cancer Genome Atlas. Cell 2018, 173, 321–337. [Google Scholar] [CrossRef]
- Liao, C.T.; Hsieh, C.-H.; Fan, W.-L.; Ng, S.-H.; Cheng, N.-M.; Lee, L.-Y.; Hsueh, C.; Lin, C.Y.; Fan, K.H.; Wang, H.-M.; et al. A combined analysis of maximum standardized uptake value on FDG-PET, genetic markers, and clinicopathological risk factors in the prognostic stratification of patients with resected oral cavity squamous cell carcinoma. Eur. J. Nucl. Med. Mol. Imaging 2020, 47, 84–93. [Google Scholar] [CrossRef] [PubMed]
- Amin, M.B.; Edge, S.; Greene, F.; Byrd, D.R.; Brookland, R.K.; Washington, M.K.; Gershenwald, J.E.; Compton, C.C.; Hess, K.R.; Sullivan, D.C.; et al. (Eds.) AJCC Cancer Staging Manual, 8th ed.; Springer International Publishing: Los Angeles, CA, USA; Available online: http://www.springer.com/us/book/9783319406176#aboutBook (accessed on 28 December 2016).
- Chen, S.; Zhou, Y.; Chen, Y.; Gu, J. fastp: An ultra-fast all-in-one FASTQ preprocessor. Bioinformatics 2018, 34, i884–i890. [Google Scholar] [CrossRef] [PubMed]
- Li, H.; Durbin, R. Fast and accurate short read alignment with Burrows-Wheeler transform. Bioinformatics 2009, 25, 1754–1760. [Google Scholar] [CrossRef] [PubMed]
- Van der Auwera, G.A.; Carneiro, M.O.; Hartl, C.; Poplin, R.; Angel, G.D.; Levy-Moonshine, A.; Jordan, T.; Shakir, K.; Roazen, D.; Thibault, J.; et al. From FastQ data to high confidence variant calls: The Genome Analysis Toolkit best practices pipeline. Curr. Protoc. Bioinform. 2013, 43, 11.10.1–11.10.33. [Google Scholar] [CrossRef]
- Thorvaldsdottir, H.; Robinson, J.T.; Mesirov, J.P. Integrative Genomics Viewer (IGV): High-performance genomics data visualization and exploration. Brief. Bioinform. 2013, 14, 178–192. [Google Scholar] [CrossRef]
- McLaren, W.; Laurent Gil, L.; Hunt, S.E.; Riat, H.S.; Ritchie, G.R.; Thormann, A.; Flicek, P.; Cunningham, F. The Ensembl Variant Effect Predictor. Genome Biol. 2016, 17, 122. [Google Scholar] [CrossRef]
- Talevich, E.; Shain, A.H.; Botton, T.; Bastian, B.C. CNVkit: Genome-Wide Copy Number Detection and Visualization from Targeted DNA Sequencing. PLoS Comput. Biol. 2016, 12, e1004873. [Google Scholar] [CrossRef]
- Mermel, C.H.; Schumacher, S.E.; Hill, B.; Meyerson, M.L.; Beroukhim, R.; Gad Getz, G. GISTIC2. 0 facilitates sensitive and confident localization of the targets of focal somatic copy-number alteration in human cancers. Genome Biol. 2011, 12, R41. [Google Scholar] [CrossRef] [PubMed]
- Mayakonda, A.; Lin, D.C.; Assenov, Y.; Plass, C.; Koeffler, H.P. Maftools: Efficient and comprehensive analysis of somatic variants in cancer. Genome Res. 2018, 28, 1747–1756. [Google Scholar] [CrossRef]
- Alexandrov, L.B.; Nik-Zainal, S.; Wedge, D.C.; Aparicio, S.A.; Behjati, S.; Biankin, A.V.; Bignell, G.R.; Bolli, N.; Borg, A.; Børresen-Dale, A.; et al. Signatures of mutational processes in human cancer. Nature 2013, 500, 415–421. [Google Scholar] [CrossRef] [PubMed]
- Alexandrov, L.B.; Kim, J.; Haradhvala, N.J.; Huang, M.N.; Tian Ng, A.W.; Wu, Y.; Boot, A.; Covington, K.R.; Gordenin, D.A.; Bergstrom, E.N.; et al. The repertoire of mutational signatures in human cancer. Nature 2020, 578, 94–101. [Google Scholar] [CrossRef] [PubMed]
- Lawrence, M.S.; Stojanov, P.; Polak, P.; Kryukov, G.V.; Cibulskis, K.; Sivachenko, A.; Carter, S.L.; Stewart, C.; Mermel, C.H.; Roberts, S.A.; et al. Mutational heterogeneity in cancer and the search for new cancer-associated genes. Nature 2013, 499, 214–218. [Google Scholar] [CrossRef]
- Liu, H.S.; Lu, H.H.; Lui, M.T.; Yu, E.Y.; Shen, W.; Chen, Y.P.; Chang, K.W.; Tu, H.F. Detection of copy number amplification of cyclin D1 (CCND1) and cortactin (CTTN) in oral carcinoma and oral brushed samples from areca chewers. Oral Oncol. 2009, 45, 1032–1036. [Google Scholar] [CrossRef] [PubMed]
- Chien, H.T.; Cheng, S.D.; Liao, C.T.; Wang, H.M.; Huang, S.F. Amplification of the EGFR and CCND1 Are Coordinated and Play Important Roles in the Progression of Oral Squamous Cell Carcinomas. Cancers 2019, 11, 760. [Google Scholar] [CrossRef]
- Tummers, B.; Green, D.R. Caspase-8: Regulating life and death. Immunol. Rev. 2017, 277, 76–89. [Google Scholar] [CrossRef] [PubMed]
- Uzunparmak, B.; Gao, M.; Lindemann, A.; Erikson, K.; Wang, L.; Lin, E.; Frank, S.J.; Gleber-Netto, F.O.; Zhao, M.; Skinner, H.D.; et al. Caspase-8 loss radiosensitizes head and neck squamous cell carcinoma to SMAC mimetic-induced necroptosis. JCI Insight 2020, 5, e139837. [Google Scholar] [CrossRef]
- Glaser, S.; Lubitz, S.; Loveland, K.L.; Ohbo, K.; Robb, L.; Schwenk, F.; Seibler, J.; Daniela Roellig, D.; Kranz, A.; Anastassiadis, K.; et al. The histone 3 lysine 4 methyltransferase, Mll2, is only required briefly in development and spermatogenesis. Epigenetics Chromatin 2009, 2. [Google Scholar] [CrossRef]
- Jana, S.; Jana, J.; Patra, K.; Mondal, S.M.; Bhat, J.; Sarkar, A.; Sengupta, P.; Biswas, A.; Mukherjee, M.; Tripathi, S.P.; et al. LINCRNA00273 promotes cancer metastasis and its G-Quadruplex promoter can serve as a novel target to inhibit cancer invasiveness. Oncotarget 2017, 8, 110234–110256. [Google Scholar] [CrossRef] [PubMed]
- Sarkar, A.; Rahaman, A.; Biswas, I.; Mukherjee, G.; Chatterjee, S.; Bhattacharjee, S.; Mandal, D.P. TGFbeta mediated LINC00273 upregulation sponges mir200a-3p and promotes invasion and metastasis by activating ZEB1. J. Cell Physiol. 2020, 235, 7159–7172. [Google Scholar] [CrossRef]
- Griffith, M.; Spies, N.C.; Krysiak, K.; McMichael, J.F.; Coffman, A.C.; Danos, A.M.; Ainscough, B.J.; Ramirez, C.A.; Kujan, L.; Barnell, E.K.; et al. CIViC is a community knowledgebase for expert crowdsourcing the clinical interpretation of variants in cancer. Nat. Genet. 2017, 49, 170–174. [Google Scholar] [CrossRef] [PubMed]




| Gene | Mutation Number and Frequency in OTG1 (n = 50) | Mutation Number and Frequency in OTG2 (n = 100) | Odd Ratio | Fisher’s p-Value | Mutation Number and Frequency in 165 OCSCCs | MutSigCV p-Value | MutSigCV q-Value |
|---|---|---|---|---|---|---|---|
| TP53 | 38 (76%) | 60 (60%) | 2.11 | 0.038 | 108 (65%) | 0 | 0 |
| FAT1 | 21 (42%) | 23 (23%) | 2.42 | 0.014 | 48 (29%) | 0 | 0 |
| NOTCH1 | 19 (38%) | 15 (15%) | 3.47 | 0.002 | 39 (24%) | 1.44 × 10−15 | 1.70 × 10−12 |
| CASP8 | 6 (12%) | 15 (15%) | 0.77 | 0.409 | 23 (14%) | 0 | 0 |
| CDKN2A | 5 (10%) | 13 (13%) | 0.74 | 0.404 | 22 (13%) | 0 | 0 |
| PIK3CA | 6 (12%) | 5 (5%) | 2.59 | 0.113 | 12 (7%) | 7.72 × 10−5 | 6.33 × 10−2 |
| HRAS | 6 (12%) | 5 (5%) | 2.59 | 0.113 | 12 (7%) | 0 | 0 |
| MUC5B | 5 (10%) | 6 (6%) | 1.74 | 0.283 | 11 (7%) | 2.31 × 10−1 | 1 |
| LINC00273 | 6 (12%) | 4 (4%) | 3.27 | 0.070 | 11 (7%) | NA | NA |
| DNAH5 | 7 (14%) | 2 (2%) | 7.98 | 0.007 | 10 (6%) | 2.90 × 10−2 | 1 |
| MUC4 | 6 (12%) | 3 (3%) | 4.41 | 0.038 | 10 (6%) | 1.44 × 10−3 | 4.16 × 10−1 |
| FAT2 | 3 (6%) | 5 (5%) | 1.21 | 0.535 | 9 (5%) | 5.04 × 10−3 | 7.37 × 10−1 |
| KMT2B | 4 (8%) | 2 (2%) | 4.26 | 0.096 | 9 (5%) | NA | NA |
| PLEC | 3 (6%) | 5 (5%) | 1.21 | 0.535 | 9 (5%) | 1.58 × 10−1 | 1 |
| RASA1 | 4 (8%) | 5 (5%) | 1.65 | 0.347 | 9 (5%) | 0 | 0 |
| SPEN | 2 (4%) | 4 (4%) | 1.00 | 0.683 | 9 (5%) | 1.73 × 10−2 | 1 |
| SYNE1 | 4 (8%) | 2 (2%) | 4.26 | 0.096 | 9 (5%) | 5.17 × 10−1 | 1 |
| CCND1 Del | 19 (38%) | 21 (21%) | 2.31 | 0.023 | 44 (27%) | - | - |
| EGFR Del | 15 (30%) | 15 (15%) | 2.43 | 0.027 | 34 (21%) | - | - |
| FGFR1 Del | 3 (6%) | 8 (8%) | 0.73 | 0.469 | 13 (8%) | - | - |
| YAP1 Del | 6 (12%) | 3 3%) | 4.41 | 0.038 | 10 (6%) | - | - |
| CDKN2A Amp | 10 (29%) | 4 (4%) | 6.00 | 0.003 | 14 (8%) | - | - |
| CDK6 Amp | 8 (16%) | 2 (2%) | 9.33 | 0.002 | 11 (7%) | - | - |
| RICTOR Amp | 4 (8%) | 5 (5%) | 1.65 | 0.347 | 10 (6%) | - | - |
| CNTN6 Amp | 9 (18%) | 2 (2%) | 10.76 | 0.001 | 11 (7%) | - | - |
| Number of Mutated Pathways | Variable Pathways | n/N (DFS) | DFS HR | DFS p-Value | n/N (OS) | OS HR | OS p-Value |
|---|---|---|---|---|---|---|---|
| 1 | P53 signal | 109/165 | 1.15 | 0.58 | 109/165 | 0.89 | 0.61 |
| 1 | RTK/RAS/MAPK signal | 79/165 | 1.28 | 0.32 | 88/165 | 1.51 | 0.06 |
| 1 | Hippo signal | 86/165 | 1.50 | 0.10 | 76/165 | 0.91 | 0.64 |
| 1 | NOTCH signal | 72/165 | 0.46 | 1.25 × 10−3 | 72/165 | 0.02 | 0.61 |
| 1 | Cell cycle | 72/165 | 1.40 | 0.17 | 72/165 | 1.64 | 0.02 |
| 1 | PI3K | 33/165 | 0.59 | 0.05 | 33/165 | 0.69 | 0.14 |
| 1 | WNT | 28/165 | 0.82 | 0.52 | 28/165 | 0.87 | 0.63 |
| 2 | P53 and RTK/RAS/MAPK | 58/165 | 1.54 | 0.05 | 58/165 | 1.54 | 0.05 |
| 2 | P53 and Hippo | 56/165 | 1.25 | 0.37 | 56/165 | 1.12 | 0.61 |
| 2 | P53 and NOTCH | 51/165 | 1.79 | 0.02 | 51/165 | 1.77 | 8.05 × 10−3 |
| 2 | P53 and Cell cycle | 53/165 | 1.45 | 0.13 | 53/165 | 1.66 | 0.02 |
| 2 | P53 and PI3K | 24/165 | 1.79 | 0.05 | 24/165 | 1.75 | 0.04 |
| 2 | P53 and WNT | 23/165 | 1.05 | 0.87 | 23/165 | 1.05 | 0.87 |
| 2 | RTK/RAS/MAPK and Hippo | 48/165 | 1.36 | 0.25 | 48/165 | 1.10 | 0.68 |
| 2 | RTK/RAS/MAPK and NOTCH | 43/165 | 2.39 | 3.54 × 10−4 | 43/165 | 2.01 | 1.77 x 10−3 |
| 2 | RTK/RAS/MAPK and Cell cycle | 42/165 | 1.61 | 0.07 | 42/165 | 2.11 | 7.78 × 10−4 |
| 2 | RTK/RAS/MAPK and PI3K | 20/165 | 1.49 | 0.23 | 20/165 | 1.41 | 0.28 |
| 2 | RTK/RAS/MAPK and WNT | 21/165 | 1.31 | 0.43 | 21/165 | 1.35 | 0.32 |
| 2 | Hippo and NOTCH | 43/165 | 1.95 | 7.54 × 10−3 | 43/165 | 1.23 | 0.37 |
| 2 | Hippo and Cell cycle | 43/165 | 1.52 | 0.12 | 43/165 | 1.23 | 0.38 |
| 2 | Hippo and PI3K | 17/165 | 1.76 | 0.10 | 17/165 | 1.12 | 0.75 |
| 2 | Hippo and WNT | 17/165 | 1.24 | 0.56 | 17/165 | 1.03 | 0.95 |
| 2 | NOTCH and Cell cycle | 38/165 | 1.78 | 0.03 | 38/127 | 1.67 | 0.03 |
| 2 | NOTCH and PI3K | 18/165 | 2.29 | 7.63 × 10−3 | 18/165 | 1.89 | 0.03 |
| 2 | NOTCH and WNT | 14/165 | 2.71 | 2.49 × 10−3 | 14/165 | 2.24 | 0.01 |
| 2 | Cell cycle and PI3K | 18/165 | 2.38 | 5.13 × 10−3 | 18/165 | 1.99 | 0.02 |
| 2 | Cell cycle and WNT | 14/165 | 1.16 | 0.69 | 14/165 | 1.28 | 0.48 |
| 2 | PI3K and WNT | 6/165 | 0.80 | 0.75 | 6/165 | 0.64 | 0.52 |
| 3 | P53, RTK/RAS/MAPK, and NOTCH | 33/165 | 2.09 | 5.71 × 10−3 | 33/165 | 2.22 | 5.87 × 10−4 |
| 3 | P53, RTK/RAS/MAPK, and Cell cycle | 31/165 | 1.60 | 0.10 | 31/165 | 2.22 | 6.49 × 10−4 |
| 3 | P53, RTK/RAS/MAPK, and WNT | 17/165 | 1.26 | 0.52 | 17/165 | 1.39 | 0.31 |
| 3 | P53, NOTCH, and Cell cycle | 30/165 | 1.70 | 0.06 | 30/165 | 1.68 | 0.03 |
| 3 | P53, NOTCH, and WNT | 11/165 | 2.59 | 0.08 | 11/165 | 2.21 | 0.02 |
| 3 | P53, Cell cycle, and WNT | 12/165 | 1.12 | 0.77 | 12/165 | 1.27 | 0.52 |
| 3 | RTK/RAS/MAPK, NOTCH, and Cell cycle | 26/165 | 2.08 | 9.57 × 10−3 | 26/165 | 2.17 | 1.93 × 10−3 |
| 3 | RTK/RAS/MAPK, NOTCH, and WNT | 12/165 | 2.37 | 0.02 | 12/165 | 1.95 | 0.05 |
| 3 | RTK/RAS/MAPK, Cell cycle, and WNT | 11/165 | 1.37 | 0.45 | 11/165 | 1.69 | 0.16 |
| 3 | NOTCH, Cell cycle, and WNT | 12/165 | 1.12 | 0.77 | 12/165 | 1.27 | 0.52 |
Publisher’s Note: MDPI stays neutral with regard to jurisdictional claims in published maps and institutional affiliations. |
© 2021 by the authors. Licensee MDPI, Basel, Switzerland. This article is an open access article distributed under the terms and conditions of the Creative Commons Attribution (CC BY) license (https://creativecommons.org/licenses/by/4.0/).
Share and Cite
Fan, W.-L.; Yang, L.-Y.; Hsieh, J.C.-H.; Lin, T.-C.; Lu, M.-Y.J.; Liao, C.-T. Prognostic Genetic Biomarkers Based on Oncogenic Signaling Pathways for Outcome Prediction in Patients with Oral Cavity Squamous Cell Carcinoma. Cancers 2021, 13, 2709. https://doi.org/10.3390/cancers13112709
Fan W-L, Yang L-Y, Hsieh JC-H, Lin T-C, Lu M-YJ, Liao C-T. Prognostic Genetic Biomarkers Based on Oncogenic Signaling Pathways for Outcome Prediction in Patients with Oral Cavity Squamous Cell Carcinoma. Cancers. 2021; 13(11):2709. https://doi.org/10.3390/cancers13112709
Chicago/Turabian StyleFan, Wen-Lang, Lan-Yan Yang, Jason Chia-Hsun Hsieh, Tsung-Chieh Lin, Mei-Yeh Jade Lu, and Chun-Ta Liao. 2021. "Prognostic Genetic Biomarkers Based on Oncogenic Signaling Pathways for Outcome Prediction in Patients with Oral Cavity Squamous Cell Carcinoma" Cancers 13, no. 11: 2709. https://doi.org/10.3390/cancers13112709
APA StyleFan, W.-L., Yang, L.-Y., Hsieh, J. C.-H., Lin, T.-C., Lu, M.-Y. J., & Liao, C.-T. (2021). Prognostic Genetic Biomarkers Based on Oncogenic Signaling Pathways for Outcome Prediction in Patients with Oral Cavity Squamous Cell Carcinoma. Cancers, 13(11), 2709. https://doi.org/10.3390/cancers13112709

