Cell-Free HPV-DNA as a Biomarker for Oropharyngeal Squamous Cell Carcinoma—A Step Towards Personalized Medicine?
Simple Summary
Abstract
1. Introduction
2. Results
2.1. Characteristics of Studies Included in Systematic Review and Meta-Analysis
2.1.1. Tumor Characteristics and Treatment
2.1.2. Samples and Assays Used for Detection of cfHPV-DNA in Blood
2.1.3. Relationship between cfHPV-DNA Copy Number in Pre-/Post-Treatment Blood Samples and Tumor Stage
2.2. Quality Assessment of Studies Included in Meta-Analysis at First Diagnosis
2.3. Diagnostic Accuracy of cfHPV-DNA in OPSCC at First Diagnosis
2.4. Subgroup Analysis
2.5. Publication Bias
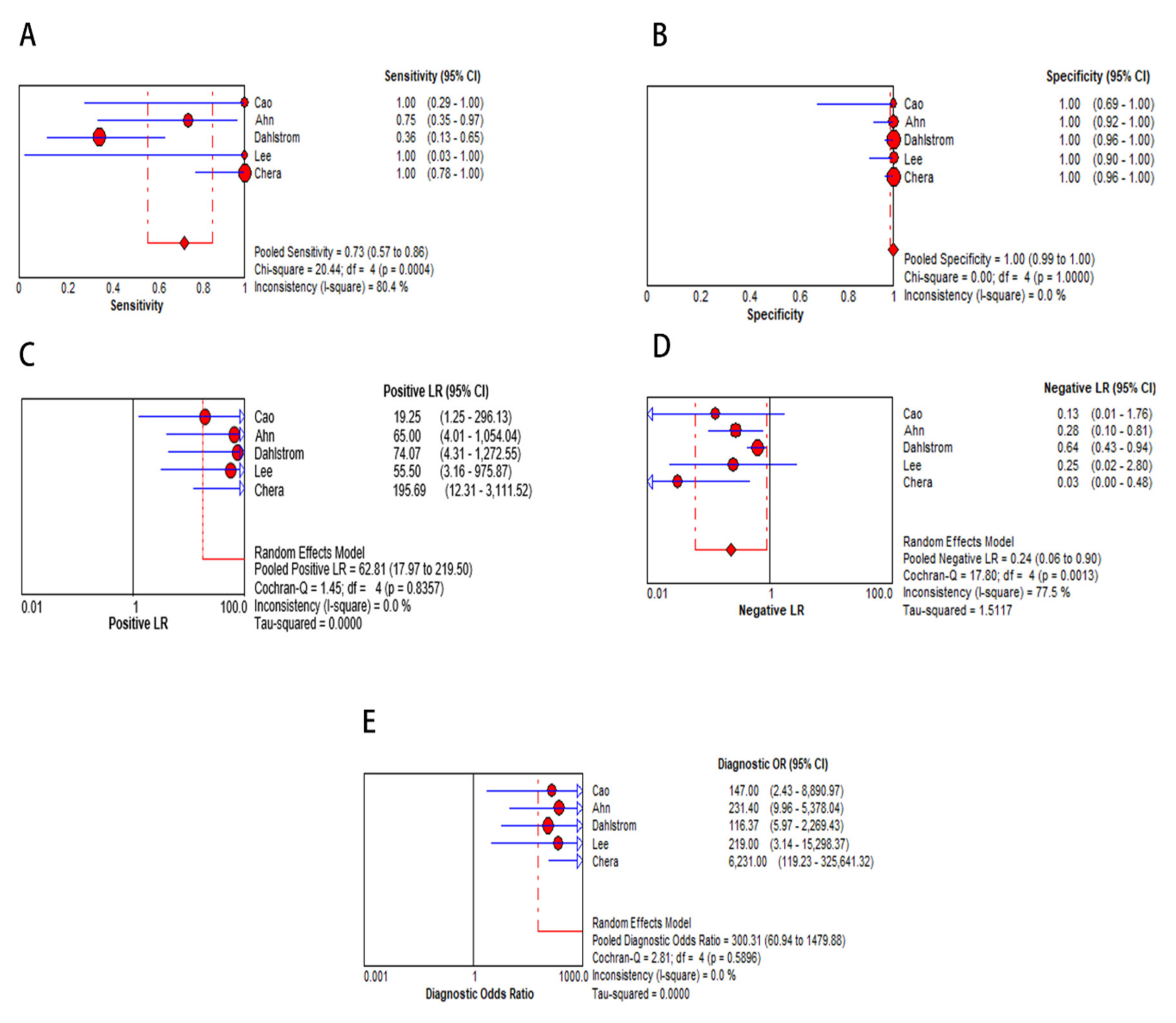
2.6. Diagnostic Accuracy of cfHPV-DNA in OPSCC during Follow-Up
3. Discussion
4. Material and Methods
4.1. Search Strategy
4.2. Inclusion and Exclusion Criteria
4.3. Data Extraction
4.4. Quality Assessment
4.5. Statistical Analysis
5. Conclusions
Supplementary Materials
Author Contributions
Funding
Conflicts of Interest
References
- Ferlay, J.; Colombet, M.; Soerjomataram, I.; Mathers, C.; Parkin, D.M.; Piñeros, M.; Znaor, A.; Bray, F. Estimating the Global Cancer Incidence and Mortality in 2018: GLOBOCAN Sources and Methods. Int. J. Cancer 2019, 144, 1941–1953. [Google Scholar] [CrossRef] [PubMed]
- CDC A-Z Index. Available online: https://www.cdc.gov/az/h.html (accessed on 17 August 2020).
- Wittekindt, C.; Wagner, S.; Bushnak, A.; Prigge, E.-S.; Von Doeberitz, M.K.; Würdemann, N.; Bernhardt, K.; Pons-Kühnemann, J.; Maulbecker-Armstrong, C.; Klussmann, J.P. Increasing Incidence Rates of Oropharyngeal Squamous Cell Carcinoma in Germany and Significance of Disease Burden Attributed to Human Papillomavirus. Cancer Prev. Res. 2019, 12, 375–382. [Google Scholar] [CrossRef] [PubMed]
- De Martel, C.; Plummer, M.; Vignat, J.; Franceschi, S. Worldwide Burden of Cancer Attributable to HPV by Site, Country and HPV Type. Int. J. Cancer 2017, 141, 664–670. [Google Scholar] [CrossRef] [PubMed]
- Chaturvedi, A.K.; Engels, E.A.; Pfeiffer, R.M.; Hernandez, B.Y.; Xiao, W.; Kim, E.; Jiang, B.; Goodman, M.T.; Sibug-Saber, M.; Cozen, W.; et al. Human Papillomavirus and Rising Oropharyngeal Cancer Incidence in the United States. J. Clin. Oncol. 2011, 29, 4294–4301. [Google Scholar] [CrossRef] [PubMed]
- Boscolo-Rizzo, P.; Del Mistro, A.; Bussu, F.; Lupato, V.; Baboci, L.; Almadori, G.; Da Mosto, M.C.; Paludetti, G. New Insights into Human Papillomavirus-Associated Head and Neck Squamous Cell Carcinoma. Acta Otorhinolaryngol. Ital. 2013, 33, 77–87. [Google Scholar]
- Klussmann, J.P.; Gültekin, E.; Weissenborn, S.J.; Wieland, U.; Dries, V.; Dienes, H.P.; Eckel, H.E.; Pfister, H.J.; Fuchs, P.G. Expression of P16 Protein Identifies a Distinct Entity of Tonsillar Carcinomas Associated with Human Papillomavirus. Am. J. Pathol. 2003, 162, 747–753. [Google Scholar] [CrossRef]
- Faraji, F.; Eisele, D.W.; Fakhry, C. Emerging Insights into Recurrent and Metastatic Human Papillomavirus-Related Oropharyngeal Squamous Cell Carcinoma. Laryngosc. Investig. Otolaryngol. 2017, 2, 10–18. [Google Scholar] [CrossRef]
- Mehanna, H.; Robinson, M.; Hartley, A.; Kong, A.; Foran, B.; Fulton-Lieuw, T.; Dalby, M.; Mistry, P.; Sen, M.; O’Toole, L.; et al. Radiotherapy plus Cisplatin or Cetuximab in Low-Risk Human Papillomavirus-Positive Oropharyngeal Cancer (De-ESCALaTE HPV): An Open-Label Randomised Controlled Phase 3 Trial. Lancet 2019, 393, 51–60. [Google Scholar] [CrossRef]
- Gillison, M.L.; Trotti, A.M.; Harris, J.; Eisbruch, A.; Harari, P.M.; Adelstein, D.J.; Jordan, R.C.K.; Zhao, W.; Sturgis, E.M.; Burtness, B.; et al. Radiotherapy plus Cetuximab or Cisplatin in Human Papillomavirus-Positive Oropharyngeal Cancer (NRG Oncology RTOG 1016): A Randomised, Multicentre, Non-Inferiority Trial. Lancet 2019, 393, 40–50. [Google Scholar] [CrossRef]
- Joosse, S.A.; Gorges, T.M.; Pantel, K. Biology, Detection, and Clinical Implications of Circulating Tumor Cells. EMBO Mol. Med. 2015, 7, 1–11. [Google Scholar] [CrossRef]
- Joosse, S.A.; Pantel, K. Tumor-Educated Platelets as Liquid Biopsy in Cancer Patients. Cancer Cell 2015, 28, 552–554. [Google Scholar] [CrossRef] [PubMed]
- Sidransky, D. Nucleic Acid-Based Methods for the Detection of Cancer. Science 1997, 278, 1054–1058. [Google Scholar] [CrossRef] [PubMed]
- Kunnath, A.P.; Priyashini, T. Potential Applications of Circulating Tumor DNA Technology as a Cancer Diagnostic Tool. Cureus 2019, 11. [Google Scholar] [CrossRef]
- Elazezy, M.; Joosse, S.A. Techniques of Using Circulating Tumor DNA as a Liquid Biopsy Component in Cancer Management. Comput. Struct. Biotechnol. J. 2018, 16, 370–378. [Google Scholar] [CrossRef] [PubMed]
- Bidard, F.-C.; Michiels, S.; Riethdorf, S.; Mueller, V.; Esserman, L.J.; Lucci, A.; Naume, B.; Horiguchi, J.; Gisbert-Criado, R.; Sleijfer, S.; et al. Circulating Tumor Cells in Breast Cancer Patients Treated by Neoadjuvant Chemotherapy: A Meta-Analysis. J. Natl. Cancer Inst. 2018, 110, 560–567. [Google Scholar] [CrossRef]
- Chung, C.; Ma, H. Driving Toward Precision Medicine for Acute Leukemias: Are We There Yet? Pharmacother. J. Hum. Pharmacol. Drug Ther. 2017, 37, 1052–1072. [Google Scholar] [CrossRef]
- Lorente, D.; Olmos, D.; Mateo, J.; Bianchini, D.; Seed, G.; Fleisher, M.; Danila, D.C.; Flohr, P.; Crespo, M.; Figueiredo, I.; et al. Decline in Circulating Tumor Cell Count and Treatment Outcome in Advanced Prostate Cancer. Eur. Urol. 2016, 70, 985–992. [Google Scholar] [CrossRef]
- Krebs, M.G.; Sloane, R.; Priest, L.; Lancashire, L.; Hou, J.-M.; Greystoke, A.; Ward, T.H.; Ferraldeschi, R.; Hughes, A.; Clack, G.; et al. Evaluation and Prognostic Significance of Circulating Tumor Cells in Patients With Non–Small-Cell Lung Cancer. J. Clin. Oncol. 2011, 29, 1556–1563. [Google Scholar] [CrossRef]
- Wang, W.-Y.; Twu, C.-W.; Chen, H.-H.; Jiang, R.-S.; Wu, C.-T.; Liang, K.-L.; Shih, Y.-T.; Chen, C.-C.; Lin, P.-J.; Liu, Y.-C.; et al. Long-Term Survival Analysis of Nasopharyngeal Carcinoma by Plasma Epstein-Barr Virus DNA Levels. Cancer 2013, 119, 963–970. [Google Scholar] [CrossRef]
- Wang, W.-Y.; Lin, T.-Y.; Twu, C.-W.; Tsou, H.-H.; Lin, P.-J.; Liu, Y.-C.; Huang, J.-W.; Hsieh, H.-Y.; Lin, J.-C. Long-Term Clinical Outcome in Nasopharyngeal Carcinoma Patients with Post-Radiation Persistently Detectable Plasma EBV DNA. Oncotarget 2016, 7, 42608–42616. [Google Scholar] [CrossRef]
- Cao, H.; Banh, A.; Kwok, S.; Shi, X.; Wu, S.; Krakow, T.; Khong, B.; Bavan, B.; Bala, R.; Pinsky, B.A.; et al. Quantitation of Human Papillomavirus DNA in Plasma of Oropharyngeal Carcinoma Patients. Int. J. Radiat. Oncol. Biol. Phys. 2012, 82, e351–e358. [Google Scholar] [CrossRef] [PubMed]
- Ahn, S.M.; Chan, J.Y.K.; Zhang, Z.; Wang, H.; Khan, Z.; Bishop, J.A.; Westra, W.; Koch, W.M.; Califano, J.A. Saliva and Plasma Quantitative Polymerase Chain Reaction-Based Detection and Surveillance of Human Papillomavirus-Related Head and Neck Cancer. JAMA Otolaryngol. Head Neck Surg. 2014, 140, 846–854. [Google Scholar] [CrossRef] [PubMed]
- Dahlstrom, K.R.; Li, G.; Hussey, C.S.; Vo, J.T.; Wei, Q.; Zhao, C.; Sturgis, E.M. Circulating Human Papillomavirus DNA as a Marker for Disease Extent and Recurrence among Patients with Oropharyngeal Cancer. Cancer 2015, 121, 3455–3464. [Google Scholar] [CrossRef] [PubMed]
- Wang, Y.; Springer, S.; Mulvey, C.L.; Silliman, N.; Schaefer, J.; Sausen, M.; James, N.; Rettig, E.M.; Guo, T.; Pickering, C.R.; et al. Detection of Somatic Mutations and HPV in the Saliva and Plasma of Patients with Head and Neck Squamous Cell Carcinomas. Sci. Transl. Med. 2015, 7, 293ra104. [Google Scholar] [CrossRef]
- Kuhs, K.A.L.; Kreimer, A.R.; Trivedi, S.; Holzinger, D.; Pawlita, M.; Pfeiffer, R.M.; Gibson, S.P.; Schmitt, N.C.; Hildesheim, A.; Waterboer, T.; et al. Human Papillomavirus 16 E6 Antibodies Are Sensitive for Human Papillomavirus–Driven Oropharyngeal Cancer and Are Associated with Recurrence. Cancer 2017, 123, 4382–4390. [Google Scholar] [CrossRef]
- Lee, J.Y.; Garcia-Murillas, I.; Cutts, R.J.; De Castro, D.G.; Grove, L.; Hurley, T.; Wang, F.; Nutting, C.; Newbold, K.; Harrington, K.; et al. Predicting Response to Radical (Chemo)Radiotherapy with Circulating HPV DNA in Locally Advanced Head and Neck Squamous Carcinoma. Br. J. Cancer 2017, 117, 876–883. [Google Scholar] [CrossRef]
- Chera, B.S.; Kumar, S.; Beaty, B.T.; Marron, D.; Jefferys, S.; Green, R.; Goldman, E.C.; Amdur, R.; Sheets, N.; Dagan, R.; et al. Rapid Clearance Profile of Plasma Circulating Tumor HPV Type 16 DNA during Chemoradiotherapy Correlates with Disease Control in HPV-Associated Oropharyngeal Cancer. Clin. Cancer Res. 2019, 25, 4682–4690. [Google Scholar] [CrossRef]
- Damerla, R.R.; Lee, N.Y.; You, D.; Soni, R.; Shah, R.; Reyngold, M.; Katabi, N.; Wu, V.; McBride, S.M.; Tsai, C.J.; et al. Detection of Early Human Papillomavirus–Associated Cancers by Liquid Biopsy. JCO Precis. Oncol. 2019, 3, 1–17. [Google Scholar] [CrossRef]
- Nguyen, B.; Meehan, K.; Pereira, M.R.; Mirzai, B.; Lim, S.H.; Leslie, C.; Clark, M.; Sader, C.; Friedland, P.; Lindsay, A.; et al. A Comparative Study of Extracellular Vesicle-Associated and Cell-Free DNA and RNA for HPV Detection in Oropharyngeal Squamous Cell Carcinoma. Sci. Rep. 2020, 10, 6083. [Google Scholar] [CrossRef]
- Reder, H.; Taferner, V.F.; Wittekindt, C.; Bräuninger, A.; Speel, E.-J.M.; Gattenlöhner, S.; Wolf, G.; Klussmann, J.P.; Wuerdemann, N.; Wagner, S. Plasma Cell-Free Human Papillomavirus Oncogene E6- and E7-DNA Predicts Outcome in Oropharyngeal Squamous Cell Carcinoma. J. Mol. Diagn. 2020. [Google Scholar] [CrossRef]
- Mazurek, A.M.; Rutkowski, T.; Fiszer-Kierzkowska, A.; Małusecka, E.; Składowski, K. Assessment of the Total CfDNA and HPV16/18 Detection in Plasma Samples of Head and Neck Squamous Cell Carcinoma Patients. Oral. Oncol. 2016, 54, 36–41. [Google Scholar] [CrossRef] [PubMed]
- Jeannot, E.; Becette, V.; Campitelli, M.; Calméjane, M.-A.; Lappartient, E.; Ruff, E.; Saada, S.; Holmes, A.; Bellet, D.; Sastre-Garau, X. Circulating Human Papillomavirus DNA Detected Using Droplet Digital PCR in the Serum of Patients Diagnosed with Early Stage Human Papillomavirus-Associated Invasive Carcinoma. J. Pathol. Clin. Res. 2016, 2, 201–209. [Google Scholar] [CrossRef] [PubMed]
- Rutkowski, T.; Mazurek, A.; Snietura, M. Post-Treatment Circulating Free HPV DNA As a Marker of Treatment Outcome in Patients with HPV-Related Propharyngeal Cancer After Radio(Chemo)Therapy. Cell. Mol. Med. Open Access 2017, 3, 12. [Google Scholar] [CrossRef]
- Hanna, G.J.; Supplee, J.G.; Kuang, Y.; Mahmood, U.; Lau, C.J.; Haddad, R.I.; Jänne, P.A.; Paweletz, C.P. Plasma HPV Cell-Free DNA Monitoring in Advanced HPV-Associated Oropharyngeal Cancer. Ann. Oncol. 2018, 29, 1980–1986. [Google Scholar] [CrossRef] [PubMed]
- Veyer, D.; Wack, M.; Mandavit, M.; Garrigou, S.; Hans, S.; Bonfils, P.; Tartour, E.; Bélec, L.; Wang-Renault, S.-F.; Laurent-Puig, P.; et al. HPV Circulating Tumoral DNA Quantification by Droplet-Based Digital PCR: A Promising Predictive and Prognostic Biomarker for HPV-Associated Oropharyngeal Cancers. Int. J. Cancer 2020, 147, 1222–1227. [Google Scholar] [CrossRef]
- Chera, B.S.; Kumar, S.; Shen, C.; Amdur, R.; Dagan, R.; Green, R.; Goldman, E.; Weiss, J.; Grilley-Olson, J.; Patel, S.; et al. Plasma Circulating Tumor HPV DNA for the Surveillance of Cancer Recurrence in HPV-Associated Oropharyngeal Cancer. J. Clin. Oncol. 2020, 38, 1050–1058. [Google Scholar] [CrossRef] [PubMed]
- Jensen, K.K.; Grønhøj, C.; Jensen, D.H.; von Buchwald, C. Circulating Human Papillomavirus DNA as a Surveillance Tool in Head and Neck Squamous Cell Carcinoma: A Systematic Review and Meta-Analysis. Clin. Otolaryngol. 2018, 43, 1242–1249. [Google Scholar] [CrossRef]
- Gu, Y.; Wan, C.; Qiu, J.; Cui, Y.; Jiang, T.; Zhuang, Z. Circulating HPV CDNA in the Blood as a Reliable Biomarker for Cervical Cancer: A Meta-Analysis. PLoS ONE 2020, 15, e0224001. [Google Scholar] [CrossRef]
- Peacock, B.; Rigby, A.; Bradford, J.; Pink, R.; Hunter, K.; Lambert, D.; Hunt, S. Extracellular Vesicle MicroRNA Cargo Is Correlated with HPV Status in Oropharyngeal Carcinoma. J. Oral Pathol. Med. 2018, 47, 954–963. [Google Scholar] [CrossRef]
- Hess, A.-K.; Müer, A.; Mairinger, F.D.; Weichert, W.; Stenzinger, A.; Hummel, M.; Budach, V.; Tinhofer, I. MiR-200b and MiR-155 as Predictive Biomarkers for the Efficacy of Chemoradiation in Locally Advanced Head and Neck Squamous Cell Carcinoma. Eur. J. Cancer 2017, 77, 3–12. [Google Scholar] [CrossRef]
- Hofmann, L.; Ludwig, S.; Vahl, J.M.; Brunner, C.; Hoffmann, T.K.; Theodoraki, M.-N. The Emerging Role of Exosomes in Diagnosis, Prognosis, and Therapy in Head and Neck Cancer. Int. J. Mol. Sci. 2020, 21, 72. [Google Scholar] [CrossRef] [PubMed]
- Spector, M.E.; Farlow, J.L.; Haring, C.T.; Brenner, J.C.; Birkeland, A.C. The Potential for Liquid Biopsies in Head and Neck Cancer. Discov. Med. 2018, 25, 251–257. [Google Scholar] [PubMed]
- Carrió, I.; Flotats, A. Liquid Biopsies and Molecular Imaging: Friends or Foes? Clin. Transl. Imaging 2020, 8, 47–50. [Google Scholar] [CrossRef]
- Ko, J.; Baldassano, S.N.; Loh, P.-L.; Kording, K.; Litt, B.; Issadore, D. Machine Learning to Detect Signatures of Disease in Liquid Biopsies—A User’s Guide. Lab Chip 2018, 18, 395–405. [Google Scholar] [CrossRef]
- Xu, J.; Yang, P.; Xue, S.; Sharma, B.; Sanchez-Martin, M.; Wang, F.; Beaty, K.A.; Dehan, E.; Parikh, B. Translating Cancer Genomics into Precision Medicine with Artificial Intelligence: Applications, Challenges and Future Perspectives. Hum. Genet. 2019, 138, 109–124. [Google Scholar] [CrossRef]
- Shamseer, L.; Moher, D.; Clarke, M.; Ghersi, D.; Liberati, A.; Petticrew, M.; Shekelle, P.; Stewart, L.A. Preferred Reporting Items for Systematic Review and Meta-Analysis Protocols (PRISMA-P) 2015: Elaboration and Explanation. BMJ 2015, 349. [Google Scholar] [CrossRef]
- Whiting, P.F.; Rutjes, A.W.S.; Westwood, M.E.; Mallett, S.; Deeks, J.J.; Reitsma, J.B.; Leeflang, M.M.G.; Sterne, J.A.C.; Bossuyt, P.M.M. QUADAS-2: A Revised Tool for the Quality Assessment of Diagnostic Accuracy Studies. Ann. Intern. Med. 2011, 155, 529–536. [Google Scholar] [CrossRef] [PubMed]
- Borenstein, M.; Higgins, J.P.T. Meta-Analysis and Subgroups. Prev. Sci. 2013, 14, 134–143. [Google Scholar] [CrossRef]
- Deeks, J.J.; Macaskill, P.; Irwig, L. The Performance of Tests of Publication Bias and Other Sample Size Effects in Systematic Reviews of Diagnostic Test Accuracy Was Assessed. J Clin. Epidemiol. 2005, 58, 882–893. [Google Scholar] [CrossRef]







| Study | Year | Country | Study Design | Patients (Total/ Control) (n) | Primary Site of Tumor (n) | Tissue HPV+ (n) | Method/Assay | Tumor Stage | Sample | TP | FP | FN | TN | Sensitivity (%) | Specificity (%) |
|---|---|---|---|---|---|---|---|---|---|---|---|---|---|---|---|
| 1. Cao et al. [22] #** | 2012 | USA | NR | 40/34 | OPSCC (40) | 40 | cPCR qPCR | I-IV | Plasma | 26 | 0 | 14 | 34 | 65% | 100% |
| 2. Ahn et al. [23] #** | 2014 | USA | Retrospective | 93/9 | OPSCC (87) US (6) | 52 | qPCR | 0-IV | Plasma | 35 | 0 | 17 | 9 | 67% | 100% |
| 3. Dahlstrom et al. [24] #** | 2015 | USA | Prospective | 262/27 | OPSCC (262) | 114 | qPCR | I-IV | Serum | 69 | 0 | 45 | 27 | 61% | 100% |
| 4. Wang et al. [25] # | 2015 | USA | Retrospective | 93/10 | OC (46) OPSCC (34) L(10) HP(3) | 21 | ddPCR | I-IV | Plasma | 18 | 0 | 3 | 10 | 86% | 100% |
| 5. Kuhs et al. [26] # | 2017 | Germany | NR | 161/25 | OPSCC (87) | 87 | Multiplex serologic testing | I-IV | Serum | 78 | 1 | 9 | 24 | 89.70% | 96% |
| 6. Lee et al. [27] #** | 2017 | England | Prospective | 88/14 Test: 55 Validation: 33 | Test cohort OPSCC (47) L (4) HP (4) | 27 (Test cohort) | HPV16-detect | I-IV | Plasma | 27 | 1 | 0 | 13 | 100% | 93% |
| 7. Chera et al. [28] # | 2019 | USA | Prospective | 103/115 | 103 (OPSCC) | 103 | ddPCR | 0-IV | Plasma | 92 | 3 | 11 | 112 | 89% | 97% |
| 8. Damerla et al. [29] # | 2019 | USA | Retrospective | 105/27 | 97 (OPSCC) 8 (ASCC) | 97 | ddPCR qPCR | 0-IV | Plasma | 93 | 0 | 4 | 27 | 96% | 100% |
| 9. Nguyen et al. [30] # | 2020 | Australia | Prospective | 23/5 | OPSCC (23) | 23 | ddPCR | III-IV | Plasma | 21 | 0 | 2 | 5 | 91% | 100% |
| 10. Reder et al. [31] # | 2020 | Germany | NR | 30/20 | OPSCC (30) | 30 | qPCR | I-IV | Plasma | 23 | 0 | 7 | 20 | 76.60% | 100% |
| Study | Year | Country | Study design | Patients (Total/ Control) (n) | Primary site of tumor (n) | Tissue HPV+ (n) | Method/ Assay | Tumor stage | Sample | TP | FP | FN | TN | Sensitivity (%) | Specificity (%) |
| 11. Mazurek et al. [32] | 2016 | Poland | NR | 200/15 | 72 (OPSCC) | NR | TaqMan-based TERT amplification | I-IV | Plasma | NR | NR | NR | NR | n.a. | n.a. |
| 12. Jeannot et al. [33] | 2016 | France | Retrospective | 70/18 | UC (47) ASCC (15) HNSCC (8) | NR | ddPCR qPCR | II, IV | Serum/Plasma | 8 | 0 | 0 | 18 | 100% | 100% |
| 13. Rutkowski et al. [34] | 2017 | Poland | NR | 179/NR | OPSCC (55) | 47 | TaqMan-based TERT amplification | I-IV | Plasma | NR | NR | NR | NR | n.a. | n.a. |
| 14. Hanna et al. [35] | 2018 | USA | NR | 22/NR | OPSCC (22) | 22 | ddPCR | I-IV | Plasma | NR | NR | NR | NR | n.a. | n.a. |
| 15. Veyer et al. [36] | 2019 | France | NR | 66/NR | OPSCC (66) | 66 | ddPCR | I-IV | Plasma | 47 | NR | 19 | NR | 71% | n.a. |
| 16. Chera et al. [37] ** | 2020 | USA | Prospective | 115/NR | OPSCC (115) | 115 | ddPCR | I-III | Plasma | NR | NR | NR | NR | n.a. | n.a. |
| Subgroup | No. of Studies | Sensitivity (95% CI) | Specificity (95% CI) | PLR (95% CI) | NLR (95% CI) | DOR (95% CI) | AUC |
|---|---|---|---|---|---|---|---|
| Overall | 10 | 0.81 (0.78–0.84) | 0.98 (0.96–0.99) | 23.24 (12.26–44.06) | 0.17 (0.10–0.30) | 200.60 (93.31–431.22) | 0.99 |
| Sample | |||||||
| Plasma | 8 | 0.85 (0.81–0.89) | 0.98 (0.96–1.00) | 22.79 (11.32–45.89) | 0.16 (0.09–0.29) | 216.11 (91.63–509.69) | 0.98 |
| Serum | 2 | 0.73 (0.66–0.79) | 0.98 (0.90–1.00) | 25.66 (5.31–123.99) | 0.21 (0.05–0.95) | 150.09 (27.61–815.77) | n.a. |
| Method | |||||||
| qPCR | 4 | 0.65 (0.58–0.71) | 1.00 (0.96–1.00) | 28.24 (7.17–111.20) | 0.37 (0.31–0.44) | 85.17 (20.21–358.89) | 0.89 |
| ddPCR | 4 | 0.92 (0.88–0.95) | 0.98 (0.95–1.00) | 29.29 (11.80–72.74) | 0.10 (0.06–0.16) | 285.88 (100.03–817.00) | 0.97 |
| HPV16-detect+/ MST | 2 | 0.92 (0.86–0.96) | 0.95 (0.83–0.99) | 13.49 (4.10–44.41) | 0.07 (0.01–0.38) | 268.77 (45.51–1587.28) | n.a. |
| Sample Size | |||||||
| Greater than 50 | 5 | 0.81 (0.77–0.85) | 0.98 (0.95–0.99) | 30.19 (13.23–68.85) | 0.16 (0.06–0.40) | 230.37 (91.35–580.98) | 0.99 |
| Less than 50 | 5 | 0.82 (0.74–0.88) | 0.99 (0.93–1.00) | 15.67 (5.69–43.14) | 0.21 (0.11–0.38) | 148.55 (38.03–580.31) | 0.97 |
| HPV Tissue Status | |||||||
| p16 staining | 2 | 0.90 (0.83–0.94) | 0.98 (0.93–0.99) | 28.76 (10.26–80.64) | 0.11 (0.07–0.18) | 262.75 (78.51–879.35) | n.a. |
| HPV-PCR | 2 | 0.64 (0.56–0.72) | 1.00 (0.91–1.00) | 24.92 (3.61–172.05) | 0.29 (0.11–0.74) | 95.49 (12.00–759.73) | n.a. |
| Combined approach | 6 | 0.85 (0.80–0.88) | 0.98 (0.95–1.00) | 19.47 (7.92–47.86) | 0.16 (0.08–0.33) | 197.47 (64.08–608.52) | 0.98 |
| Study | Median Follow-up | Year | Tissue + Blood + (TP) | Tissue − Blood + (FP) | Tissue + Blood − (FN) | Tissue − Blood − (TN) |
|---|---|---|---|---|---|---|
| Cao et al. [22] ** | 12-22 months | 2012 | 3 | 0 | 0 | 10 |
| Ahn et al. [23] | 49 months | 2014 | 6 | 0 | 2 | 44 |
| Dahlstrom et al. [24] | 67 months | 2015 | 5 | 0 | 9 | 100 |
| Lee et al. [27] | 12 weeks | 2017 | 1 | 0 | 0 | 36 |
| Chera et al. [37] | 23 months | 2019 | 15 | 0 | 0 | 100 |
Publisher’s Note: MDPI stays neutral with regard to jurisdictional claims in published maps and institutional affiliations. |
© 2020 by the authors. Licensee MDPI, Basel, Switzerland. This article is an open access article distributed under the terms and conditions of the Creative Commons Attribution (CC BY) license (http://creativecommons.org/licenses/by/4.0/).
Share and Cite
Wuerdemann, N.; Jain, R.; Adams, A.; Speel, E.-J.M.; Wagner, S.; Joosse, S.A.; Klussmann, J.P. Cell-Free HPV-DNA as a Biomarker for Oropharyngeal Squamous Cell Carcinoma—A Step Towards Personalized Medicine? Cancers 2020, 12, 2997. https://doi.org/10.3390/cancers12102997
Wuerdemann N, Jain R, Adams A, Speel E-JM, Wagner S, Joosse SA, Klussmann JP. Cell-Free HPV-DNA as a Biomarker for Oropharyngeal Squamous Cell Carcinoma—A Step Towards Personalized Medicine? Cancers. 2020; 12(10):2997. https://doi.org/10.3390/cancers12102997
Chicago/Turabian StyleWuerdemann, Nora, Rishabh Jain, Anne Adams, Ernst-Jan M. Speel, Steffen Wagner, Simon A. Joosse, and Jens P. Klussmann. 2020. "Cell-Free HPV-DNA as a Biomarker for Oropharyngeal Squamous Cell Carcinoma—A Step Towards Personalized Medicine?" Cancers 12, no. 10: 2997. https://doi.org/10.3390/cancers12102997
APA StyleWuerdemann, N., Jain, R., Adams, A., Speel, E.-J. M., Wagner, S., Joosse, S. A., & Klussmann, J. P. (2020). Cell-Free HPV-DNA as a Biomarker for Oropharyngeal Squamous Cell Carcinoma—A Step Towards Personalized Medicine? Cancers, 12(10), 2997. https://doi.org/10.3390/cancers12102997

