Ramucirumab and GSK1838705A Enhance the Inhibitory Effects of Low Concentration Sorafenib and Regorafenib Combination on HCC Cell Growth and Motility
Abstract
1. Introduction
2. Results
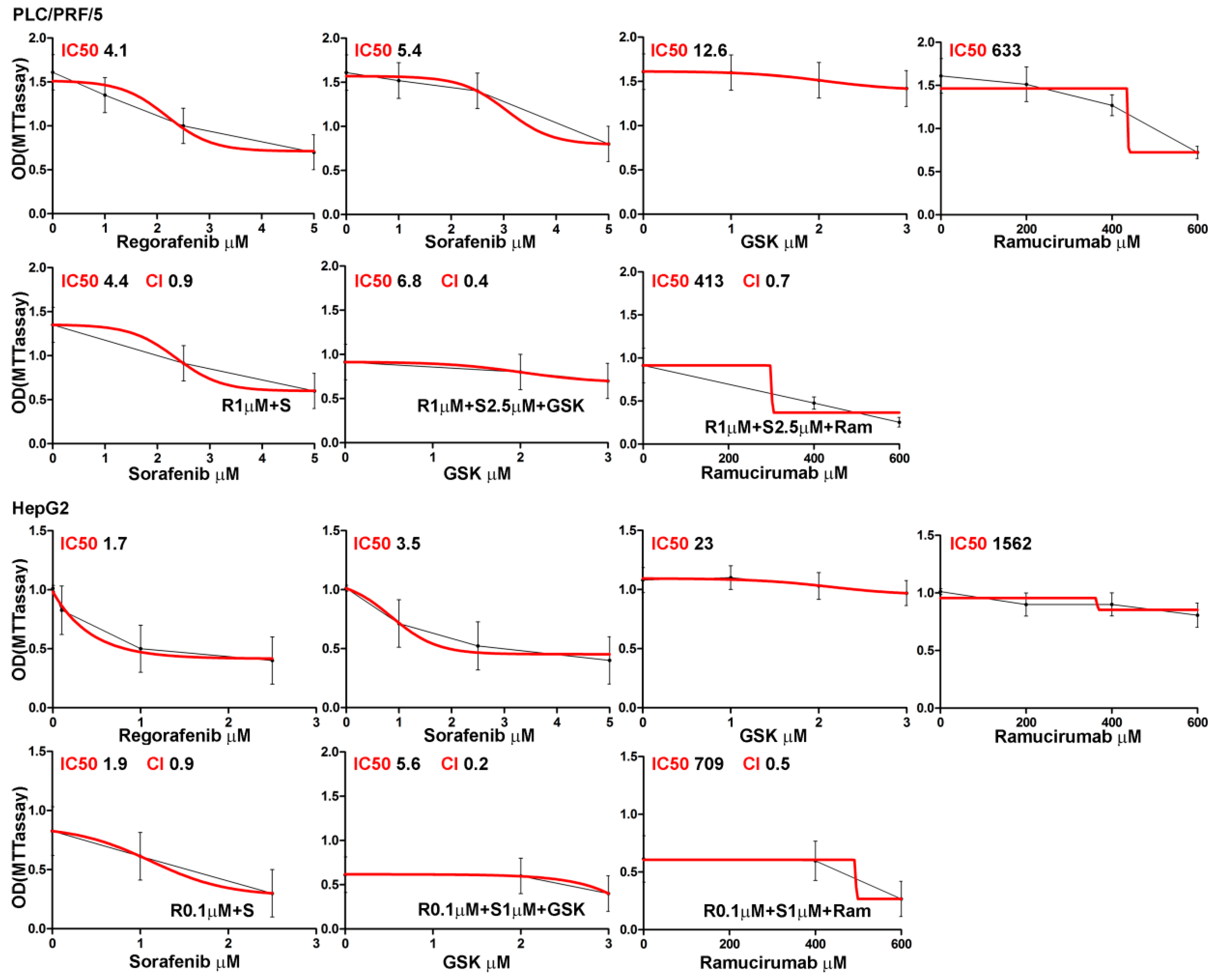
2.1. Inhibition of both VEGFR2 and IGF1R Potentiate the Effects on Cell Growth Deriving from the Combination of Regorafenib/Sorafenib in HCC Cell Lines
2.2. Inhibition of both VEGFR2 and IGF1R Potentiate the Effects on Cell Apoptosis Deriving from the Regorafenib/Sorafenib Combination
2.3. Inhibition of both VEGFR2 and IGF1R Potentiate the Effects on Cell Migration Deriving from the Regorafenib/Sorafenib Combination
2.4. Inhibition of both VEGFR2 and IGF1R Potentiate the Reduction of AFP and DCP Secretion Due to the Regorafenib/Sorafenib Combination
2.5. Inhibition of either VEGFR2 or IGF1R Potentiates the Effects on MAPK and PI3K/Akt Signaling Due to the Regorafenib/Sorafenib Combination
3. Discussion
4. Materials and Methods
4.1. Cells and Drugs
4.2. Cell Proliferation and Drug Synergy Evaluation
4.2.1. MTT Assay
4.2.2. Clonogenic Assay
4.2.3. Ki67 Staining
4.2.4. Cell Cycle Analysis
4.3. Apoptosis
4.4. Migration Assays
4.5. AFP and DCP Measurement
4.6. MAPK Activation
4.7. PI3K Activation
4.8. Statistical Analysis
5. Conclusions
Supplementary Materials
Author Contributions
Funding
Acknowledgments
Conflicts of Interest
References
- Llovet, J.M.; Ricci, S.; Mazzaferro, V.; Hilgard, P.; Gane, E.; Blanc, J.F.; de Oliveira, A.C.; Santoro, A.; Raoul, J.L.; Forner, A.; et al. Sorafenib in advanced hepatocellular carcinoma. N. Engl. J. Med. 2008, 359, 378–390. [Google Scholar] [CrossRef]
- Kudo, M.; Finn, R.S.; Qin, S.; Han, K.H.; Ikeda, K.; Piscaglia, F.; Baron, A.; Park, J.W.; Han, G.; Jassem, J.; et al. Lenvatinib versus sorafenib in first-line treatment of patients with unresectable hepatocellular carcinoma: A randomised phase 3 non-inferiority trial. Lancet 2018, 391, 1163–1173. [Google Scholar] [CrossRef]
- Bruix, J.; Qin, S.; Merle, P.; Granito, A.; Huang, Y.H.; Bodoky, G.; Pracht, M.; Yokosuka, O.; Rosmorduc, O.; Breder, V.; et al. Regorafenib for patients with hepatocellular carcinoma who progressed on sorafenib treatment (RESORCE): A randomised, double-blind, placebo-controlled, phase 3 trial. Lancet 2017, 389, 56–66. [Google Scholar] [CrossRef]
- Zhu, A.X.; Galle, P.R.; Masatoshi, K.; Finn, R.S.; Qin, S.; Xu, Y.; Abada, P.; Llovet, J. A study of ramucirumab (LY3009806) versus placebo in patients with hepatocellular carcinoma and elevated baseline alpha-fetoprotein (REACH-2). J. Clin. Oncol. 2018, 36. [Google Scholar] [CrossRef]
- Wilhelm, S.M.; Carter, C.; Tang, L.; Wilkie, D.; McNabola, A.; Rong, H.; Chen, C.; Zhang, X.; Vincent, P.; McHugh, M.; et al. BAY 43-9006 exhibits broad spectrum oral antitumor activity and targets the RAF/MEK/ERK pathway and receptor tyrosine kinases involved in tumor progression and angiogenesis. Cancer Res. 2004, 64, 7099–7109. [Google Scholar] [CrossRef]
- Wilhelm, S.M.; Dumas, J.; Adnane, L.; Lynch, M.; Carter, C.A.; Schütz, G.; Thierauch, K.H.; Zopf, D. Regorafenib (BAY 73-4506): A new oral multikinase inhibitor of angiogenic, stromal and oncogenic receptor tyrosine kinases with potent preclinical antitumor activity. Int. J. Cancer 2011, 129, 245–255. [Google Scholar] [CrossRef] [PubMed]
- Aishima, S.; Basaki, Y.; Oda, Y.; Kuroda, Y.; Nishihara, Y.; Taguchi, K.; Taketomi, A.; Maehara, Y.; Hosoi, F.; Maruyama, Y.; et al. High expression of insulin-like growth factor binding protein-3 is correlated with lower portal invasion and better prognosis in human hepatocellular carcinoma. Cancer Sci. 2006, 97, 1182–1190. [Google Scholar] [CrossRef]
- Ou, D.L.; Lee, B.S.; Lin, L.I.; Liou, J.Y.; Liao, S.C.; Hsu, C.1.; Cheng, A.L. Vertical blockade of the IGFR- PI3K/Akt/mTOR pathway for the treatment of hepatocellular carcinoma: The role of survivin. Mol. Cancer 2014, 13, 2. [Google Scholar] [CrossRef]
- Abou-Alfa, G.K.; Gansukh, B.; Chou, J.F.; Shia, J.; Capanu, M.; Kalin, M.; Chen, H.X.; Zojwalla, N.J.; Katz, S.; Reidy, D.L.; et al. Phase II study of cixutumumab (IMC-A12, NSC742460; C) in hepatocellular carcinoma (HCC). J. Clin. Oncol. 2011, 29. [Google Scholar] [CrossRef]
- Faivre, S.J.; Fartoux, L.; Bouattour, M.; Bumsel, F.; Dreyer, C.; Raymond, E.; Rosmorduc, O. A phase I study of AVE1642, a human monoclonal antibody-blocking insulin-like growth factor-1 receptor (IGF-1R), given as a single agent and in combination with sorafenib as first-line therapy in patients with advanced hepatocellular carcinoma (HCC). J. Clin. Oncol. 2011, 29. [Google Scholar] [CrossRef]
- Tahtouh, R.; Azzi, A.S.; Alaaeddine, N.; Chamat, S.; Bouharoun-Tayoun, H.; Wardi, L.; Raad, I.; Sarkis, R.; Antoun, N.A.; Hilal, G. Telomerase inhibition decreases alpha-fetoprotein expression and secretion by hepatocellular carcinoma cell lines: In vitro and in vivo study. PLoS ONE 2015, 10. [Google Scholar] [CrossRef] [PubMed]
- Wilhelm, S.; Carter, C.; Lynch, M.; Lowinger, T.; Dumas, J.; Smith, R.A.; Schwartz, B.; Simantov, R.; Kelley, S. Discovery and development of sorafenib: A multikinase inhibitor for treating cancer. Nat. Rev. Drug Discov. 2006, 5, 835–844. [Google Scholar] [CrossRef] [PubMed]
- Takigawa, H.; Kitadai, Y.; Shinagawa, K.; Yuge, R.; Higashi, Y.; Tanaka, S.; Yasui, W.; Chayama, K. Multikinase inhibitor regorafenib inhibits the growth and metastasis of colon cancer with abundant stroma. Cancer Sci. 2016, 107, 601–608. [Google Scholar] [CrossRef] [PubMed]
- Waddell, T.; Cunningham, D. Evaluation of regorafenib in colorectal cancer and GIST. Lancet 2013, 381, 273–275. [Google Scholar] [CrossRef]
- Llovet, J.M.; Peña, C.E.; Lathia, C.D.; Shan, M.; Meinhardt, G.; Bruix, J. SHARP Investigators Study Group Plasma biomarkers as predictors of outcome in patients with advanced hepatocellular carcinoma. Clin. Cancer Res. 2012, 18, 2290–2300. [Google Scholar] [CrossRef] [PubMed]
- Llovet, J.M.; Montal, R.; Sia, D.; Finn, R.S. Molecular therapies and precision medicine for hepatocellular carcinoma. Nat. Rev. Clin. Oncol. 2018, 15, 599–616. [Google Scholar] [CrossRef]
- Medavaram, S.; Zhang, Y. Emerging therapies in advanced hepatocellular carcinoma. Exp. Hematol. Oncol. 2018, 7, 17. [Google Scholar] [CrossRef]
- D’Alessandro, R.; Refolo, M.G.; Lippolis, C.; Carella, N.; Messa, C.; Cavallini, A.; Carr, B.I. Strong enhancement by IGF1-R antagonists of hepatocellular carcinoma cell migration inhibition by Sorafenib and/or vitamin K1. Cell Oncol. 2018, 41, 283–296. [Google Scholar] [CrossRef]
- Refolo, M.G.; D’Alessandro, R.; Lippolis, C.; Carella, N.; Messa, C.; Cavallini, A.; Carr, B.I. Modulation of doxorubicin actions in hepatocellular carcinoma cells by Insulin-like Growth factor-I. Biochem. Anal. Biochem. 2016, 5. [Google Scholar] [CrossRef]
- Refolo, M.G.; D’Alessandro, R.; Lippolis, C.; Carella, N.; Cavallini, A.; Messa, C.; Carr, B.I. IGF-1R tyrosine kinase inhibitors and Vitamin K1 enhance the antitumor effects of Regorafenib in HCC cell lines. Oncotarget 2017, 8, 103465–103476. [Google Scholar] [CrossRef]
- Tovar, V.; Cornella, H.; Moeini, A.; Vidal, S.; Hoshida, Y.; Sia, D.; Peix, J.; Cabellos, L.; Alsinet, C.; Torrecilla, S.; et al. Tumour initiating cells and IGF/FGF signalling contribute to sorafenib resistance in hepatocellular carcinoma. Gut 2017, 66, 530–540. [Google Scholar] [CrossRef] [PubMed]
- Durazo, F.A.; Blatt, L.M.; Corey, W.G.; Lin, J.H.; Han, S.; Saab, S.; Busuttil, R.W.; Tong, M.J. Des-gamma-carboxyprothrombin, alpha-fetoprotein and AFP-L3 in patients with chronic hepatitis, cirrhosis and hepatocellular carcinoma. J. Gastroenterol. Hepatol. 2008, 23, 1541–1548. [Google Scholar] [CrossRef] [PubMed]
- Bertino, G.; Ardir, A.M.; Calvagno, G.S.; Bertino, N.; Boemi, P.M. Prognostic and diagnostic value of des-γ-carboxy prothrombin in liver cancer. Drug News Perspect. 2010, 23, 498–508. [Google Scholar] [CrossRef] [PubMed]
- Carr, B.I.; Guerra, V. Low Alpha-Fetoprotein Levels Are Associated with Improved Survival in Hepatocellular Carcinoma Patients with Portal Vein Thrombosis. Dig. Dis. Sci. 2016, 61, 937–947. [Google Scholar] [CrossRef] [PubMed]
- Carr, B.I.; D’Alessandro, R.; Refolo, M.G.; Iacovazzi, P.A.; Lippolis, C.; Messa, C.; Cavallini, A.; Correale, M.; Di Carlo, A. Effects of low concentrations of regorafenib and sorafenib on human HCC cell AFP, migration, invasion, and growth in vitro. J. Cell Physiol. 2013, 228, 1344–1350. [Google Scholar] [CrossRef] [PubMed]
- Carr, B.I.; Cavallini, A.; D’Alessandro, R.; Refolo, M.G.; Lippolis, C.; Mazzocca, A.; Messa, C. Platelet extracts induce growth, migration and invasion in human hepatocellular carcinoma in vitro. BMC Cancer 2014, 14, 43. [Google Scholar] [CrossRef]
- Chen, H.X.; Sharon, E. IGF-1R as an anti-cancer target-trials and tribulations. Chin. J. Cancer 2013, 32, 242–252. [Google Scholar] [CrossRef]
- Kerbel, R.S. Tumor Angiogenesis. N. Engl. J. Med. 2008, 358, 2039–2049. [Google Scholar] [CrossRef]
- Peng, S.; Wang, Y.; Peng, H.; Chen, D.; Shen, S.; Peng, B.; Chen, M.; Lencioni, R.; Kuang, M. Autocrine vascular endothelial growth factor signaling promotes cell proliferation and modulates sorafenib treatment efficacy in hepatocellular carcinoma. Hepatology 2014, 60, 1264–1277. [Google Scholar] [CrossRef]
- Chou, T.C. The median-effect principle and the combination index for quantitation of synergism and antagonism. In Synergism and Antagonism in Chemotherapy; Chou, T.C., Rideout, D.C., Eds.; Academic Press: San Diego, CA, USA, 1991; pp. 61–102. [Google Scholar]
- Chou, T.C.; Talalay, P. Quantitative analysis of dose-effect relationships: The combined effects of multiple drugs or enzyme inhibitors. Adv. Enzyme Regul. 1984, 22, 27–55. [Google Scholar] [CrossRef]
- Refolo, M.G.; Lippolis, C.; Carella, N.; Cavallini, A.; Messa, C.; D’Alessandro, R. Chlorogenic Acid Improves the Regorafenib Effects in Human Hepatocellular Carcinoma Cells. Int. J. Mol. Sci. 2018, 19. [Google Scholar] [CrossRef]






| PLC/PRF/5 Samples (OD MTT Assay) | “Mann Whitney Test” p Value | Decrease (%) |
|---|---|---|
| Ctrl vs. R 1.63 vs. 1.34 | *** 0.0001 | 17.8 |
| Ctrl vs. S 1.63 vs. 1.41 | *** 0.0001 | 13.5 |
| Ctrl vs. GSK 1.63 vs. 1.46 | *** 0.0001 | 10.4 |
| Ctrl vs. Ram 1.63 vs. 1.3 | *** 0.0001 | 20.2 |
| R vs. R+S 1.35 vs. 0.95 | *** 0.0001 | 29.6 |
| R vs. R+S+GSK 1.35 vs. 0.72 | *** 0.0001 | 46.7 |
| R vs. R+S+Ram 1.35 vs. 0.46 | *** 0.0001 | 65.9 |
| S vs. R+S 1.41 vs. 0.95 | *** 0.0001 | 32.6 |
| S vs. R+S+GSK 1.41 vs. 0.72 | *** 0.0001 | 48.9 |
| S vs. R+S+Ram 1.41 vs. 0.46 | *** 0.0001 | 67.4 |
| GSK vs. R+S+GSK 1.46 vs. 0.72 | *** 0.0001 | 49.3 |
| Ram vs. R+S+Ram 1.3 vs. 0.46 | *** 0.0001 | 64.6 |
| R+S vs. R+S+GSK 0.95 vs. 0.72 | *** 0.0001 | 24.2 |
| R+S vs. R+S+Ram 0.95 vs. 0.46 | *** 0.0001 | 51.6 |
| HepG2 Samples (OD MTT Assay) | “Mann Whitney Test” pValue | Decrease (%) |
| Ctrl vs. R 1.01 vs. 0.88 | *** 0.0001 | 12.9 |
| Ctrl vs. S 1.01 vs. 0.73 | *** 0.0001 | 27.7 |
| Ctrl vs. GSK 1.01 vs. 1.09 | ns | +10 |
| Ctrl vs. Ram 1.01 vs. 0.91 | ns | 10 |
| R vs. R+S 0.88 vs. 0.65 | *** 0.0001 | 26 |
| R vs. R+S+GSK 0.88 vs. 0.41 | *** 0.0001 | 53.4 |
| R vs. R+S+Ram 0.88 vs. 0.54 | *** 0.0001 | 38.6 |
| S vs. R+S 0.74 vs. 0.65 | *** 0.0001 | 12.2 |
| S vs. R+S+GSK 0.74 vs. 0.41 | *** 0.0001 | 44.6 |
| S vs. R+S+Ram 0.74 vs. 0.54 | *** 0.0001 | 27 |
| GSK vs. R+S+GSK 1.09 vs. 0.41 | *** 0.0001 | 62.4 |
| Ram vs. R+S+Ram 0.91 vs. 0.54 | *** 0.0001 | 40.7 |
| R+S vs. R+S+GSK 0.65 vs. 0.41 | *** 0.0001 | 36.9 |
| R+S vs. R+S+Ram 0.65 vs. 0.54 | *** 0.0001 | 16.9 |
© 2019 by the authors. Licensee MDPI, Basel, Switzerland. This article is an open access article distributed under the terms and conditions of the Creative Commons Attribution (CC BY) license (http://creativecommons.org/licenses/by/4.0/).
Share and Cite
D’Alessandro, R.; Refolo, M.G.; Iacovazzi, P.A.; Pesole, P.L.; Messa, C.; Carr, B.I. Ramucirumab and GSK1838705A Enhance the Inhibitory Effects of Low Concentration Sorafenib and Regorafenib Combination on HCC Cell Growth and Motility. Cancers 2019, 11, 787. https://doi.org/10.3390/cancers11060787
D’Alessandro R, Refolo MG, Iacovazzi PA, Pesole PL, Messa C, Carr BI. Ramucirumab and GSK1838705A Enhance the Inhibitory Effects of Low Concentration Sorafenib and Regorafenib Combination on HCC Cell Growth and Motility. Cancers. 2019; 11(6):787. https://doi.org/10.3390/cancers11060787
Chicago/Turabian StyleD’Alessandro, Rosalba, Maria Grazia Refolo, Palma Aurelia Iacovazzi, Pasqua Letizia Pesole, Caterina Messa, and Brian Irving Carr. 2019. "Ramucirumab and GSK1838705A Enhance the Inhibitory Effects of Low Concentration Sorafenib and Regorafenib Combination on HCC Cell Growth and Motility" Cancers 11, no. 6: 787. https://doi.org/10.3390/cancers11060787
APA StyleD’Alessandro, R., Refolo, M. G., Iacovazzi, P. A., Pesole, P. L., Messa, C., & Carr, B. I. (2019). Ramucirumab and GSK1838705A Enhance the Inhibitory Effects of Low Concentration Sorafenib and Regorafenib Combination on HCC Cell Growth and Motility. Cancers, 11(6), 787. https://doi.org/10.3390/cancers11060787

