Validation of Neutrophil Count as An Algorithm-Based Predictive Factor of Progression-Free Survival in Patients with Metastatic Soft Tissue Sarcomas Treated with Trabectedin
Abstract
1. Introduction
2. Results
2.1. Characteristics of Study Population
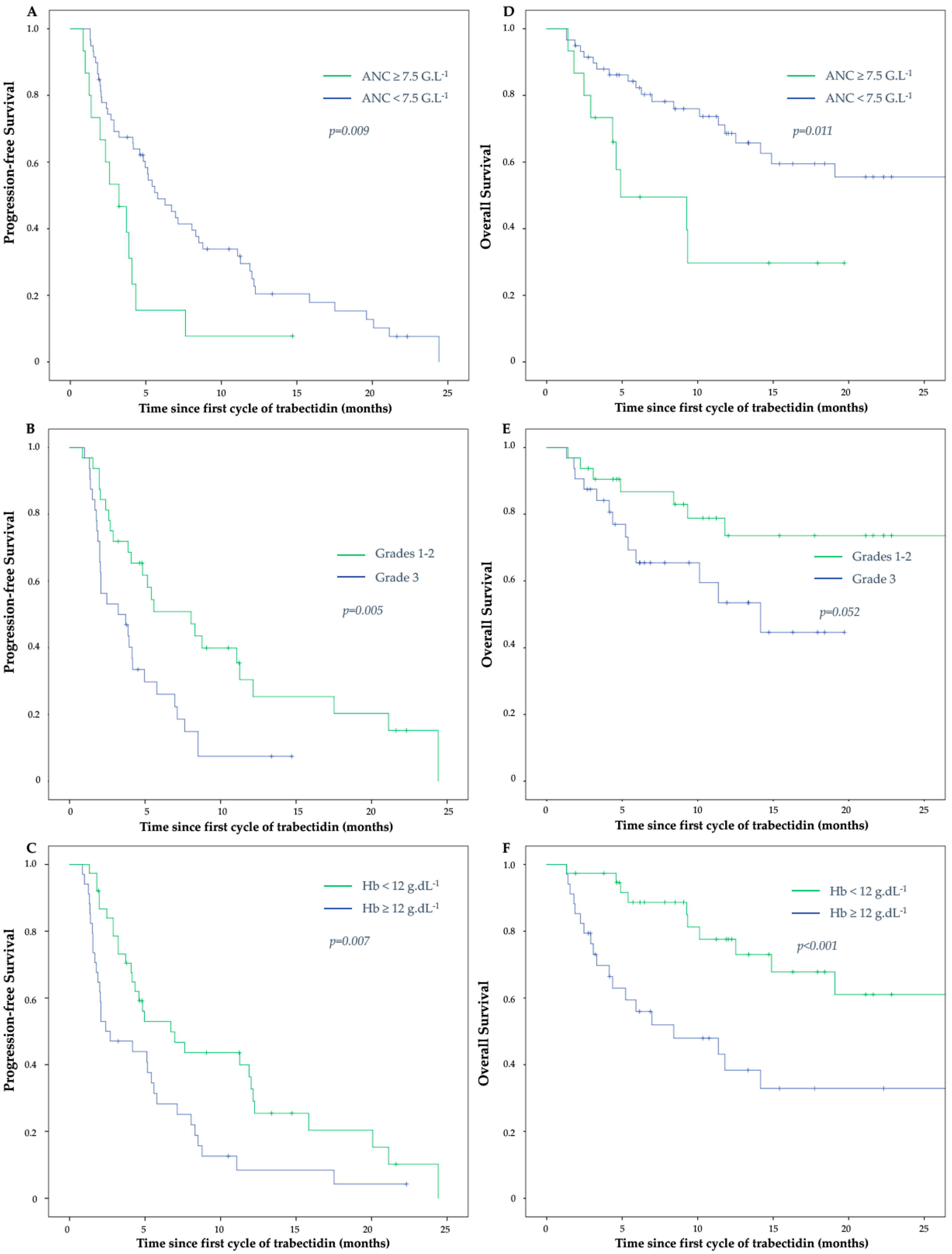
2.2. Impact of Pre-Therapeutic ANC on PFS
2.3. Impact of Pre-Therapeutic ANC on Overall Survival: An Exploratory Analysis
3. Discussion
4. Materials and Methods
4.1. Study Design and Data Source
4.2. Statistical Analysis
5. Conclusions
Author Contributions
Funding
Conflicts of Interest
References
- Siegel, R.L.; Miller, K.D.; Jemal, A. Cancer statistics, 2018. CA Cancer J. Clin. 2018, 68, 7–30. [Google Scholar] [CrossRef]
 - Le Cesne, A.; Blay, J.Y.; Judson, I.; Van Oosterom, A.; Verweij, J.; Radford, J.; Lorigan, P.; Rodenhuis, S.; Ray-Coquard, I.; Bonvalot, S.; et al. Phase II Study of ET-743 in Advanced Soft Tissue Sarcomas: A European Organisation for the Research and Treatment of Cancer (EORTC) Soft Tissue and Bone Sarcoma Group Trial. J. Clin. Oncol. 2005, 23, 576–584. [Google Scholar] [CrossRef]
 - Yovine, A.; Riofrio, M.; Blay, J.Y.; Brain, E.; Alexandre, J.; Kahatt, C.; Taamma, A.; Jimeno, J.; Martin, C.; Salhi, Y.; et al. Phase II study of ecteinascidin-743 in advanced pretreated soft tissue sarcoma patients. J. Clin. Oncol. 2004, 22, 890–899. [Google Scholar] [CrossRef] [PubMed]
 - Garcia-Carbonero, R.; Supko, J.G.; Manola, J.; Seiden, M.V.; Harmon, D.; Ryan, D.P.; Quigley, M.T.; Merriam, P.; Canniff, J.; Goss, G.; et al. Phase II and pharmacokinetic study of ecteinascidin 743 in patients with progressive sarcomas of soft tissues refractory to chemotherapy. J. Clin. Oncol. 2004, 22, 1480–1490. [Google Scholar] [CrossRef] [PubMed]
 - Garcia-Carbonero, R.; Supko, J.G.; Maki, R.G.; Manola, J.; Ryan, D.P.; Harmon, D.; Puchalski, T.A.; Goss, G.; Seiden, M.V.; Waxman, A.; et al. Ecteinascidin-743 (ET-743) for chemotherapy-naive patients with advanced soft tissue sarcomas: Multicenter phase II and pharmacokinetic study. J. Clin. Oncol. 2005, 23, 5484–5492. [Google Scholar] [CrossRef]
 - Blay, J.-Y.; Italiano, A.; Ray-Coquard, I.; Le Cesne, A.; Duffaud, F.; Rios, M.; Collard, O.; Bertucci, F.; Bompas, E.; Isambert, N.; et al. Long-term outcome and effect of maintenance therapy in patients with advanced sarcoma treated with trabectedin: An analysis of 181 patients of the French ATU compassionate use program. BMC Cancer 2013, 13, 64. [Google Scholar] [CrossRef]
 - Samuels, B.L.; Chawla, S.; Patel, S.; von Mehren, M.; Hamm, J.; Kaiser, P.E.; Schuetze, S.; Li, J.; Aymes, A.; Demetri, G.D. Clinical outcomes and safety with trabectedin therapy in patients with advanced soft tissue sarcomas following failure of prior chemotherapy: Results of a worldwide expanded access program study. Ann. Oncol. 2013, 24, 1703–1709. [Google Scholar] [CrossRef]
 - Fayette, J.; Boyle, H.; Chabaud, S.; Favier, B.; Engel, C.; Cassier, P.; Thiesse, P.; Méeus, P.; Sunyach, M.-P.; Vaz, G.; et al. Efficacy of trabectedin for advanced sarcomas in clinical trials versus compassionate use programs: Analysis of 92 patients treated in a single institution. Anticancer. Drugs 2010, 21, 113–119. [Google Scholar] [CrossRef]
 - Le Cesne, A.; Blay, J.-Y.; Cupissol, D.; Italiano, A.; Delcambre, C.; Penel, N.; Isambert, N.; Chevreau, C.; Bompas, E.; Bertucci, F.; et al. Results of a prospective randomized phase III T-SAR trial comparing trabectedin vs best supportive care (BSC) in patients with pretreated advanced soft tissue sarcoma (ASTS). Ann. Oncol. 2016, 27. [Google Scholar] [CrossRef]
 - Andriantsoa, M.; El Cheikh, R.; Imbs, D.C.; Serre, R.; Duffaud, F.; Ciccolini, J.; Barbolosi, D.; Salas, S. Optimization of trabectedin temporal protocol using mathematical PK/PD modeling. J. Clin. Oncol. 2018, 36, e23553. [Google Scholar] [CrossRef]
 - Barbolosi, D.; Ciccolini, J.; Lacarelle, B.; Barlési, F.; André, N. Computational oncology—Mathematical modelling of drug regimens for precision medicine. Nat. Rev. Clin. Oncol. 2016, 13, 242–254. [Google Scholar] [CrossRef] [PubMed]
 - Demetri, G.D.; von Mehren, M.; Jones, R.L.; Hensley, M.L.; Schuetze, S.M.; Staddon, A.; Milhem, M.; Elias, A.; Ganjoo, K.; Tawbi, H.; et al. Efficacy and Safety of Trabectedin or Dacarbazine for Metastatic Liposarcoma or Leiomyosarcoma After Failure of Conventional Chemotherapy: Results of a Phase III Randomized Multicenter Clinical Trial. J. Clin. Oncol. 2016, 34, 786–793. [Google Scholar] [CrossRef]
 - Trojani, M.; Contesso, G.; Coindre, J.M.; Rouesse, J.; Bui, N.B.; de Mascarel, A.; Goussot, J.F.; David, M.; Bonichon, F.; Lagarde, C. Soft-tissue sarcomas of adults; study of pathological prognostic variables and definition of a histopathological grading system. Int. J. Cancer 1984, 33, 37–42. [Google Scholar] [CrossRef] [PubMed]
 - Costa, J.; Wesley, R.A.; Glatstein, E.; Rosenberg, S.A. The grading of soft tissue sarcomas. Results of a clinicohistopathologic correlation in a series of 163 cases. Cancer 1984, 53, 530–541. [Google Scholar] [CrossRef]
 - van Unnik, J.A.; Coindre, J.M.; Contesso, C.; Albus-Lutter, C.E.; Schiodt, T.; Sylvester, R.; Thomas, D.; Bramwell, V.; Mouridsen, H.T. Grading of soft tissue sarcomas: Experience of the EORTC Soft Tissue and Bone Sarcoma Group. Eur. J. Cancer Oxf. Engl. 1993, 29A, 2089–2093. [Google Scholar] [CrossRef]
 - Myhre-Jensen, O.; Kaae, S.; Madsen, E.H.; Sneppen, O. Histopathological grading in soft-tissue tumours. Relation to survival in 261 surgically treated patients. Acta Pathol. Microbiol. Immunol. Scand. 1983, 91, 145–150. [Google Scholar]
 - Russell, W.O.; Cohen, J.; Enzinger, F.; Hajdu, S.I.; Heise, H.; Martin, R.G.; Meissner, W.; Miller, W.T.; Schmitz, R.L.; Suit, H.D. A clinical and pathological staging system for soft tissue sarcomas. Cancer 1977, 40, 1562–1570. [Google Scholar] [CrossRef]
 - Teramukai, S.; Kitano, T.; Kishida, Y.; Kawahara, M.; Kubota, K.; Komuta, K.; Minato, K.; Mio, T.; Fujita, Y.; Yonei, T.; et al. Pretreatment neutrophil count as an independent prognostic factor in advanced non-small-cell lung cancer: An analysis of Japan Multinational Trial Organisation LC00-03. Eur. J. Cancer 2009, 45, 1950–1958. [Google Scholar] [CrossRef]
 - Huang, S.H.; Waldron, J.N.; Milosevic, M.; Shen, X.; Ringash, J.; Su, J.; Tong, L.; Perez-Ordonez, B.; Weinreb, I.; Bayley, A.J.; et al. Prognostic value of pretreatment circulating neutrophils, monocytes, and lymphocytes in oropharyngeal cancer stratified by human papillomavirus status. Cancer 2015, 121, 545–555. [Google Scholar] [CrossRef]
 - Schmidt, H.; Suciu, S.; Punt, C.J.; Gore, M.; Kruit, W.; Patel, P.; Lienard, D.; von der Maase, H.; Eggermont, A.M.; Keilholz, U. Pretreatment levels of peripheral neutrophils and leukocytes as independent predictors of overall survival in patients with American Joint Committee on Cancer Stage IV Melanoma: Results of the EORTC 18951 Biochemotherapy Trial. J. Clin. Oncol. 2007, 25, 1562–1569. [Google Scholar] [CrossRef] [PubMed]
 - D’Incalci, M.; Galmarini, C.M. A review of trabectedin (ET-743): A unique mechanism of action. Mol. Cancer Ther. 2010, 9, 2157–2163. [Google Scholar] [CrossRef]
 - Allavena, P.; Signorelli, M.; Chieppa, M.; Erba, E.; Bianchi, G.; Marchesi, F.; Olimpio, C.O.; Bonardi, C.; Garbi, A.; Lissoni, A.; et al. Anti-inflammatory properties of the novel antitumor agent yondelis (trabectedin): Inhibition of macrophage differentiation and cytokine production. Cancer Res. 2005, 65, 2964–2971. [Google Scholar] [CrossRef]
 - Germano, G.; Frapolli, R.; Simone, M.; Tavecchio, M.; Erba, E.; Pesce, S.; Pasqualini, F.; Grosso, F.; Sanfilippo, R.; Casali, P.G.; et al. Antitumor and Anti-inflammatory Effects of Trabectedin on Human Myxoid Liposarcoma Cells. Cancer Res. 2010, 70, 2235–2244. [Google Scholar] [CrossRef]
 - Germano, G.; Frapolli, R.; Belgiovine, C.; Anselmo, A.; Pesce, S.; Liguori, M.; Erba, E.; Uboldi, S.; Zucchetti, M.; Pasqualini, F.; et al. Role of macrophage targeting in the antitumor activity of trabectedin. Cancer Cell 2013, 23, 249–262. [Google Scholar] [CrossRef]
 - Nagata, S.; Tsuchiya, M.; Asano, S.; Kaziro, Y.; Yamazaki, T.; Yamamoto, O.; Hirata, Y.; Kubota, N.; Oheda, M.; Nomura, H. Molecular cloning and expression of cDNA for human granulocyte colony-stimulating factor. Nature 1986, 319, 415–418. [Google Scholar] [CrossRef]
 - Asahi, Y.; Kubonishi, I.; Imamura, J.; Kamioka, M.; Matsushita, H.; Furihata, M.; Ohtsuki, Y.; Miyoshi, I. Establishment of a clonal cell line producing granulocyte colony-stimulating factor and parathyroid hormone-related protein from a lung cancer patient with leukocytosis and hypercalcemia. Jpn. J. Cancer Res. Gann 1996, 87, 451–458. [Google Scholar] [CrossRef]
 - Lilly, M.B.; Devlin, P.E.; Devlin, J.J.; Rado, T.A. Production of granulocyte colony-stimulating factor by a human melanoma cell line. Exp. Hematol. 1987, 15, 966–971. [Google Scholar]
 - Tachibana, M.; Miyakawa, A.; Tazaki, H.; Nakamura, K.; Kubo, A.; Hata, J.; Nishi, T.; Amano, Y. Autocrine growth of transitional cell carcinoma of the bladder induced by granulocyte-colony stimulating factor. Cancer Res. 1995, 55, 3438–3443. [Google Scholar]
 - Oshika, Y.; Nakamura, M.; Abe, Y.; Fukuchi, Y.; Yoshimura, M.; Itoh, M.; Ohnishi, Y.; Tokunaga, T.; Fukushima, Y.; Hatanaka, H.; et al. Growth stimulation of non-small cell lung cancer xenografts by granulocyte-macrophage colony-stimulating factor (GM-CSF). Eur. J. Cancer Oxf. Engl. 1998, 34, 1958–1961. [Google Scholar] [CrossRef]
 - Ulich, T.R.; del Castillo, J.; Keys, M.; Granger, G.A.; Ni, R.X. Kinetics and mechanisms of recombinant human interleukin 1 and tumor necrosis factor-alpha-induced changes in circulating numbers of neutrophils and lymphocytes. J. Immunol. 1987, 139, 3406–3415. [Google Scholar]
 - Ulich, T.R.; del Castillo, J.; Guo, K.; Souza, L. The hematologic effects of chronic administration of the monokines tumor necrosis factor, interleukin-1, and granulocyte-colony stimulating factor on bone marrow and circulation. Am. J. Pathol. 1989, 134, 149–159. [Google Scholar] [PubMed]
 - Ulich, T.R.; del Castillo, J.; Guo, K.Z. In vivo hematologic effects of recombinant interleukin-6 on hematopoiesis and circulating numbers of RBCs and WBCs. Blood 1989, 73, 108–110. [Google Scholar] [PubMed]
 - Domingues, D.; Turner, A.; Silva, M.D.; Marques, D.S.; Mellidez, J.C.; Wannesson, L.; Mountzios, G.; de Mello, R.A. Immunotherapy and lung cancer: Current developments and novel targeted therapies. Immunotherapy 2014, 6, 1221–1235. [Google Scholar] [CrossRef] [PubMed]
 - Schreiber, R.D.; Old, L.J.; Smyth, M.J. Cancer Immunoediting: Integrating Immunity’s Roles in Cancer Suppression and Promotion. Science 2011, 331, 1565–1570. [Google Scholar] [CrossRef]
 - Petrie, H.T.; Klassen, L.W.; Kay, H.D. Inhibition of human cytotoxic T lymphocyte activity in vitro by autologous peripheral blood granulocytes. J. Immunol. 1985, 134, 230–234. [Google Scholar] [PubMed]
 - el-Hag, A.; Clark, R.A. Immunosuppression by activated human neutrophils. Dependence on the myeloperoxidase system. J. Immunol. 1987, 139, 2406–2413. [Google Scholar]
 - Shau, H.Y.; Kim, A. Suppression of lymphokine-activated killer induction by neutrophils. J. Immunol. 1988, 141, 4395–4402. [Google Scholar]
 - Coindre, J.M.; Terrier, P.; Bui, N.B.; Bonichon, F.; Collin, F.; Le Doussal, V.; Mandard, A.M.; Vilain, M.O.; Jacquemier, J.; Duplay, H.; et al. Prognostic factors in adult patients with locally controlled soft tissue sarcoma. A study of 546 patients from the French Federation of Cancer Centers Sarcoma Group. J. Clin. Oncol. 1996, 14, 869–877. [Google Scholar] [CrossRef]
 - Pisters, P.W.; Leung, D.H.; Woodruff, J.; Shi, W.; Brennan, M.F. Analysis of prognostic factors in 1,041 patients with localized soft tissue sarcomas of the extremities. J. Clin. Oncol. 1996, 14, 1679–1689. [Google Scholar] [CrossRef] [PubMed]
 - Bentz, B.G.; Singh, B.; Woodruff, J.; Brennan, M.; Shah, J.P.; Kraus, D. Head and Neck Soft Tissue Sarcomas: A Multivariate Analysis of Outcomes. Ann. Surg. Oncol. 2004, 11, 619–628. [Google Scholar] [CrossRef] [PubMed]
 - Mattavelli, D.; Miceli, R.; Radaelli, S.; Mattavelli, F.; Cantù, G.; Barisella, M.; Quattrone, P.; Stacchiotti, S.; Sangalli, C.; Casali, P.G.; et al. Head and neck soft tissue sarcomas: Prognostic factors and outcome in a series of patients treated at a single institution. Ann. Oncol. 2013, 24, 2181–2189. [Google Scholar] [CrossRef] [PubMed]
 - de Nonneville, A.; Toullec, C.; Blay, J.Y.; Ranchere, D.; Stoeckle, P.E.; Italiano, A.; Bonvalot, S.; Terrier, A.P.; Duffaud, F.; Bertucci, F. Patients with primary localized high-grade sarcomas of the digestive tract excluding GIST: A retrospective study from the French sarcoma group. Acta Gastro-Enterol. Belg. 2017, 80, 481–486. [Google Scholar]
 - Le, Q.-T.X.; Fu, K.K.; Kroll, S.; Fitts, L.; Massullo, V.; Ferrell, L.; Kaplan, M.J.; Phillips, T.L. Prognostic factors in adult soft-tissue sarcomas of the head and neck. Int. J. Radiat. Oncol. 1997, 37, 975–984. [Google Scholar] [CrossRef]
 - Kowalski, L.P.; San, C.I. Prognostic factors in head and neck soft tissue sarcomas: Analysis of 128 cases. J. Surg. Oncol. 1994, 56, 83–88. [Google Scholar] [CrossRef] [PubMed]
 - Levine, E.A. Prognostic factors in soft tissue sarcoma. Semin. Surg. Oncol. 1999, 17, 23–32. [Google Scholar] [CrossRef]
 - Levay, J.; O’sullivan, B.; Catton, C.; Bell, R.; Fornasier, V.; Cummings, B.; Hao, D.; Warr, D.; Quirt, I. Outcome and prognostic factors in soft tissue sarcoma in the adult. Int. J. Radiat. Oncol. 1993, 27, 1091–1099. [Google Scholar] [CrossRef]
 - Ueda, T.; Aozasa, K.; Tsujimoto, M.; Hamada, H.; Hayashi, H.; Ono, K.; Matsumoto, K. Multivariate analysis for clinical prognostic factors in 163 patients with soft tissue sarcoma. Cancer 1988, 62, 1444–1450. [Google Scholar] [CrossRef]
 - Van Glabbeke, M.; van Oosterom, A.T.; Oosterhuis, J.W.; Mouridsen, H.; Crowther, D.; Somers, R.; Verweij, J.; Santoro, A.; Buesa, J.; Tursz, T. Prognostic Factors for the Outcome of Chemotherapy in Advanced Soft Tissue Sarcoma: An Analysis of 2,185 Patients Treated with Anthracycline-Containing First-Line Regimens—A European Organization for Research and Treatment of Cancer Soft Tissue and Bone Sarcoma Group Study. J. Clin. Oncol. 1999, 17, 150–157. [Google Scholar]
 - Ko, J.J.; Xie, W.; Kroeger, N.; Lee, J.-L.; Rini, B.I.; Knox, J.J.; Bjarnason, G.A.; Srinivas, S.; Pal, S.K.; Yuasa, T.; et al. The International Metastatic Renal Cell Carcinoma Database Consortium model as a prognostic tool in patients with metastatic renal cell carcinoma previously treated with first-line targeted therapy: A population-based study. Lancet Oncol. 2015, 16, 293–300. [Google Scholar] [CrossRef]
 - Gauthier, I.; Ding, K.; Winton, T.; Shepherd, F.A.; Livingston, R.; Johnson, D.H.; Rigas, J.R.; Whitehead, M.; Graham, B.; Seymour, L. Impact of hemoglobin levels on outcomes of adjuvant chemotherapy in resected non-small cell lung cancer: The JBR.10 trial experience. Lung Cancer Amst. Neth. 2007, 55, 357–363. [Google Scholar] [CrossRef]
 - Chibon, F.; Lagarde, P.; Salas, S.; Pérot, G.; Brouste, V.; Tirode, F.; Lucchesi, C.; de Reynies, A.; Kauffmann, A.; Bui, B.; et al. Validated prediction of clinical outcome in sarcomas and multiple types of cancer on the basis of a gene expression signature related to genome complexity. Nat. Med. 2010, 16, 781–787. [Google Scholar] [CrossRef] [PubMed]
 - Bertucci, F.; De Nonneville, A.; Finetti, P.; Perrot, D.; Nilbert, M.; Italiano, A.; Le Cesne, A.; Skubitz, K.M.; Blay, J.Y.; Birnbaum, D. The Genomic Grade Index predicts postoperative clinical outcome in patients with soft-tissue sarcoma. Ann. Oncol. 2018, 29, 459–465. [Google Scholar] [CrossRef]
 - Soares, D.G.; Escargueil, A.E.; Poindessous, V.; Sarasin, A.; de Gramont, A.; Bonatto, D.; Henriques, J.A.P.; Larsen, A.K. Replication and homologous recombination repair regulate DNA double-strand break formation by the antitumor alkylator ecteinascidin 743. Proc. Natl. Acad. Sci. USA 2007, 104, 13062–13067. [Google Scholar] [CrossRef] [PubMed]
 - Schöffski, P.; Taron, M.; Jimeno, J.; Grosso, F.; Sanfilipio, R.; Casali, P.G.; Cesne, A.L.; Jones, R.L.; Blay, J.-Y.; Poveda, A.; et al. Predictive impact of DNA repair functionality on clinical outcome of advanced sarcoma patients treated with trabectedin: A retrospective multicentric study. Eur. J. Cancer 2011, 47, 1006–1012. [Google Scholar] [CrossRef]
 - Italiano, A.; Laurand, A.; Laroche, A.; Casali, P.; Sanfilippo, R.; Le Cesne, A.; Judson, I.; Blay, J.-Y.; Ray-Coquard, I.; Bui, B.; et al. ERCC5/XPG, ERCC1, and BRCA1 gene status and clinical benefit of trabectedin in patients with soft tissue sarcoma. Cancer 2011, 117, 3445–3456. [Google Scholar] [CrossRef]
 - Laroche-Clary, A.; Chaire, V.; Le Morvan, V.; Neuville, A.; Bertucci, F.; Salas, S.; Sanfilippo, R.; Pourquier, P.; Italiano, A. BRCA1 haplotype and clinical benefit of trabectedin in soft-tissue sarcoma patients. Br. J. Cancer 2015, 112, 688–692. [Google Scholar] [CrossRef]
 - Italiano, A.; Touati, N.; Litière, S.; Collin, F.; Pourquier, P.; Gronchi, A. Prospective assessment of the predictive value of the BRCA1 gene status in sarcoma patients treated with trabectedin: An updated analysis of the EORTC 62091 trial. Cancer Med. 2018, 7, 1575–1577. [Google Scholar] [CrossRef]
 - Blay, J.-Y. Getting up-to-date in the management of soft tissue sarcoma. Future Oncol. Lond. Engl. 2018, 14, 3–13. [Google Scholar] [CrossRef]
 - McShane, L.M.; Altman, D.G.; Sauerbrei, W.; Taube, S.E.; Gion, M.; Clark, G.M. REporting recommendations for tumour MARKer prognostic studies (REMARK). Br. J. Cancer 2005, 93, 387–391. [Google Scholar] [CrossRef]
 


| Variables | Total Population | Patients According to Pre-Therapeutic ANC | |||||
|---|---|---|---|---|---|---|---|
| ANC < 7.5 G/L | ANC ≥ 7.5 G/L | p-Value | |||||
| n | % | n | % | n | % | (Khi2 or Wilcoxon) | |
| Gender | |||||||
| Female | 49 | 56% | 37 | 63% | 6 | 40% | 0.111 | 
| Male | 38 | 44% | 22 | 37% | 9 | 60% | |
| Age (years) | |||||||
| Median (Min–Max) | 59.75 | (19.96–83.58) | 59.75 | (22.03–83.58) | 55.32 | (19.96–70.13) | 0.480 | 
| <65 y | 62 | 71% | 42 | 71% | 10 | 67% | 0.732 | 
| ≥65 y | 25 | 29% | 17 | 29% | 5 | 33% | |
| ECOG status | |||||||
| <2 | 68 | 81% | 11 | 19% | 4 | 29% | 0.446 | 
| ≥2 | 16 | 19% | 46 | 81% | 10 | 71% | |
| MD | 3 | ||||||
| Histological type | |||||||
| LMS | 38 | 44% | 26 | 44% | 4 | 27% | 0.672 | 
| LPS | 16 | 18% | 11 | 19% | 4 | 27% | |
| UPS | 4 | 5% | 3 | 5% | 1 | 7% | |
| OTHER | 29 | 33% | 19 | 32% | 6 | 40% | |
| Translocation-related sarcoma | |||||||
| No | 72 | 83% | 49 | 83% | 11 | 73% | 0.391 | 
| Yes | 15 | 17% | 10 | 17% | 4 | 27% | |
| Grade (FNCLCC) | |||||||
| G1 | 4 | 6% | 2 | 4% | 2 | 18% | 0.164 | 
| G2 | 28 | 44% | 23 | 51% | 3 | 27% | |
| G3 | 32 | 50% | 20 | 44% | 6 | 55% | |
| MD | 23 | ||||||
| Location of the primary site | |||||||
| Limb | 29 | 33% | 20 | 34% | 5 | 33% | 0.967 | 
| Other | 58 | 67% | 39 | 66% | 10 | 67% | |
| Lung metastases | |||||||
| No | 23 | 27% | 16 | 28% | 3 | 20% | 0.551 | 
| Yes | 63 | 73% | 42 | 72% | 12 | 80% | |
| MD | 1 | ||||||
| Liver metastases | |||||||
| No | 54 | 63% | 36 | 62% | 12 | 80% | 0.192 | 
| Yes | 32 | 37% | 22 | 38% | 3 | 20% | |
| MD | 1 | ||||||
| Bone metastases | |||||||
| No | 63 | 75% | 41 | 73% | 11 | 73% | 0.993 | 
| Yes | 21 | 25% | 15 | 27% | 4 | 27% | |
| MD | 3 | ||||||
| BMI | |||||||
| <19 | 14 | 16% | 9 | 16% | 3 | 20% | 0.914 | 
| 19–25 | 41 | 48% | 28 | 48% | 7 | 47% | |
| >25 | 31 | 36% | 21 | 36% | 5 | 33% | |
| MD | 1 | ||||||
| Number of prior lines of chemotherapy | |||||||
| Median (Min–Max) | 2 | (0–7) | 2 | (0–5) | 3 | (0–7) | 0.269 | 
| ≤2 | 54 | 64% | 39 | 67% | 6 | 43% | 0.091 | 
| >2 | 31 | 36% | 19 | 33% | 8 | 57% | |
| MD | 2 | ||||||
| PFS under previous chemotherapy regimen | |||||||
| Median (Min–Max) (months) | 5.09 | (0.29–20.53) | 5.06 | (1.61–19.81) | 3.43 | (0.76–20.53) | 0.103 | 
| ≤4 months | 33 | 48% | 23 | 49% | 7 | 58% | 0.561 | 
| >4 months | 36 | 52% | 24 | 51% | 5 | 42% | |
| MD | 18 | ||||||
| Trabectedin dose reduction | |||||||
| No | 23 | 27% | 16 | 27% | 4 | 29% | 0.913 | 
| Yes | 63 | 73% | 43 | 73% | 10 | 71% | |
| MD | 1 | ||||||
| Absolute neutrophil count at the 1st cycle of Trabectedin | |||||||
| <7.5 | 59 | 80% | |||||
| ≥7.5 | 15 | 20% | |||||
| MD | 13 | ||||||
| Hemoglobin at the 1st cycle of Trabectedin | |||||||
| <12 | 34 | 47% | 26 | 46% | 5 | 42% | 0.803 | 
| ≥12 | 38 | 53% | 31 | 54% | 7 | 58% | |
| MD | 15 | ||||||
| Albumin at the 1st cycle of Trabectedin | |||||||
| <35 | 17 | 41% | 9 | 32% | 6 | 60% | 0.122 | 
| ≥35 | 24 | 59% | 19 | 68% | 4 | 40% | |
| MD | 46 | ||||||
| Variables | Classes | Median PFS (CI 95%) | p-Value Log-Rank | Median OS (CI 95%) | p-Value Log-Rank | 
|---|---|---|---|---|---|
| Sex | Male | 4.07 (2.51–5.65) | 0.355 | 17.18 (5.08–29.28) | 0.787 | 
| Female | 4.83 (3.44–6.22) | 26.78 (12.70–40.85) | |||
| Age | ≥65 | 5.78 (0.15–11.41) | 0.038 | 27.50 (27.10–27.90) | 0.135 | 
| <65 | 4.07 (2.56–5.58) | 14.88 (8.21–21.55) | |||
| Performance Status | ≤1 | 4.17 (2.27–6.07) | 0.99 | 27.30 (13.63–40.97) | 0.015 | 
| >1 | 3.94 (2.41–5.48) | 6.96 (0.88–13.05) | |||
| Histological type | LMS | 5.42 (2.89–7.95) | 0.15 | 27.49 (25.39–29.60) | 0.126 | 
| LPS | 4.07 (0.49–7.66) | 6.97 (3.65–10.28) | |||
| UPS | 1.54 (0.84–2.25) | 5.91 (0.405–11.42) | |||
| OTHER | 3.88 (2.32–5.43) | 17.18 (10.06–24.31) | |||
| Translocation-related sarcoma | Yes | 3.71 (1.46–5.97) | 0.855 | 14.88 (9.76–29.73) | 0.959 | 
| No | 4.60 (3.31–5.89) | 26.78 (14.93–38.63) | |||
| Grade (FNCLCC) | G1 | 4.07 (0–8.29) | 0.008 | 4.89 (0–21.94) | 0.052 | 
| G2 | 8.31 (2.15–14.47) | 28.78 (26.28–31.28) | |||
| G3 | 3.22 (0.76–5.68) | 14.160 (7.77–20.55) | |||
| Location of the primary site | Limb | 5.78 (2.11–9.45) | 0.028 | 33.12 (9.05–57.18) | 0.184 | 
| Other | 3.94 (2.45–5.43) | 17.18 (9.8–24.56) | |||
| Lung metastases | Yes | 3.88 (2.55–5.19) | 0.029 | 26.78 (5.78–47.77) | 0.090 | 
| No | 11.89 (2.43–21.35) | 45.68 (8.54–59.42) | |||
| Liver metastases | Yes | 4.60 (2.60–6.60) | 0.667 | 28.78 (19.92–37.64) | 0.145 | 
| No | 3.88 (2.25–5.51) | 14.88 (6.38–23.39) | |||
| Bone metastases | Yes | 3.22 (1.16–5.28) | 0.292 | 14.88 (3.60–26.16) | 0.297 | 
| No | 4.34 (3.07–5.60) | 26.78 (15.44–38.10) | |||
| BMI | <19 | 2.04 (1.43–2.64) | 0.589 | 11.37 (3.08–19.66) | 0.388 | 
| 19–25 | 4.17 (2.85–5.49) | 27.30 (11.05–43.56) | |||
| >25 | 5.16 (3.44–6.87) | 26.78 (4.69–48.86) | |||
| Number of prior lines of chemotherapy | >2 | 3.71 (2.00–5.42) | 0.254 | 17.18 (3.38–30.99) | 0.814 | 
| ≤2 | 4.83 (3.07–6.59) | 27.30 (13.95–40.65) | |||
| Trabectedin dose reduction | Yes | 5.42 (3.48–7.36) | 0.018 | 27.30 (16.25–38.35) | 0.484 | 
| No | 2.89 (1.91–3.87) | 14.88 (8.59–21.18) | |||
| Absolute neutrophil count at the 1st cycle of Trabectedin | >7.5 | 3.22 (1.60–4.87) | 0.009 | 4.89 (0–11.82) | 0.011 | 
| ≤7.5 | 5.78 (3.95–7.61) | 26.78 (13.47–40.08) | |||
| Hemoglobin at the 1st cycle of Trabectedin | ≥12 | 6.70 (2.99–10.42) | 0.007 | 43.14 (17.87–68.40) | <0.001 | 
| <12 | 1.40 (0–4.81) | 8.41 (0.66–16.16) | |||
| Albumin at the 1st cycle of Trabectedin | ≥35 | 4.83 (3.89–5.77) | 0.043 | 26.78 (10.06–43.49) | 0.036 | 
| <35 | 2.07 (1.37–2.77) | 4.89 (1.39–8.40) | 
| Variables | PFS | OS | ||||||
|---|---|---|---|---|---|---|---|---|
| HR | (95% CI) | p-Value | HR | (95% CI) | p-Value | |||
| min | max | min | max | |||||
| Performance Status | ||||||||
| 1–2 | Reference category | |||||||
| 3–4 | 1.52 | 0.70 | 3.30 | 0.289 | 1.00 | 0.37 | 2.74 | 0.998 | 
| Grade (FNCLCC) | ||||||||
| 1–2 | Reference category | |||||||
| 3 | 2.75 | 1.40 | 5.40 | 0.003 | 2.49 | 0.92 | 6.73 | 0.071 | 
| Absolute neutrophil count | ||||||||
| <7.5 G/L | Reference category | |||||||
| ≥7.5 G/L | 3.39 | 1.35 | 8.53 | 0.010 | 4.90 | 1.57 | 15.34 | 0.006 | 
| Haemoglobin | ||||||||
| <12 g/dL | Reference category | |||||||
| ≥12 g/dL | 0.35 | 0.17 | 0.72 | 0.005 | 0.17 | 0.06 | 0.50 | 0.001 | 
© 2019 by the authors. Licensee MDPI, Basel, Switzerland. This article is an open access article distributed under the terms and conditions of the Creative Commons Attribution (CC BY) license (http://creativecommons.org/licenses/by/4.0/).
Share and Cite
de Nonneville, A.; Barbolosi, D.; Andriantsoa, M.; El-Cheikh, R.; Duffaud, F.; Bertucci, F.; Salas, S. Validation of Neutrophil Count as An Algorithm-Based Predictive Factor of Progression-Free Survival in Patients with Metastatic Soft Tissue Sarcomas Treated with Trabectedin. Cancers 2019, 11, 432. https://doi.org/10.3390/cancers11030432
de Nonneville A, Barbolosi D, Andriantsoa M, El-Cheikh R, Duffaud F, Bertucci F, Salas S. Validation of Neutrophil Count as An Algorithm-Based Predictive Factor of Progression-Free Survival in Patients with Metastatic Soft Tissue Sarcomas Treated with Trabectedin. Cancers. 2019; 11(3):432. https://doi.org/10.3390/cancers11030432
Chicago/Turabian Stylede Nonneville, Alexandre, Dominique Barbolosi, Maeva Andriantsoa, Raouf El-Cheikh, Florence Duffaud, François Bertucci, and Sebastien Salas. 2019. "Validation of Neutrophil Count as An Algorithm-Based Predictive Factor of Progression-Free Survival in Patients with Metastatic Soft Tissue Sarcomas Treated with Trabectedin" Cancers 11, no. 3: 432. https://doi.org/10.3390/cancers11030432
APA Stylede Nonneville, A., Barbolosi, D., Andriantsoa, M., El-Cheikh, R., Duffaud, F., Bertucci, F., & Salas, S. (2019). Validation of Neutrophil Count as An Algorithm-Based Predictive Factor of Progression-Free Survival in Patients with Metastatic Soft Tissue Sarcomas Treated with Trabectedin. Cancers, 11(3), 432. https://doi.org/10.3390/cancers11030432
        
