Impact of Program–Erase Operation Intervals at Different Temperatures on 3D Charge-Trapping Triple-Level-Cell NAND Flash Memory Reliability
Abstract
1. Introduction
2. Methods
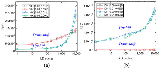
3. Results and Discussion
4. Conclusions
Author Contributions
Funding
Data Availability Statement
Conflicts of Interest
References
- Ishimaru, K. Future of Non-Volatile Memory from Storage to Computing. In Proceedings of the 2019 IEEE International Electron Devices Meeting (IEDM), San Francisco, CA, USA, 7–11 December 2019; pp. 1.3.1–1.3.6. [Google Scholar]
- Tokutomi, T.; Doi, M.; Hachiya, S.; Kobayashi, A.; Tanakamaru, S.; Takeuchi, K. Enterprise-Grade 6x Fast Read and 5x Highly Reliable SSD with TLC NAND Flash Memory for Big-Data Storage. In Proceedings of the 2015 IEEE International Solid-State Circuits Conference—(ISSCC) Digest of Technical Papers, San Francisco, CA, USA, 22–26 February 2015; pp. 140–141. [Google Scholar]
- Kim, H.; Ahn, S.-J.; Shin, Y.G.; Lee, K.; Jung, E. Evolution of NAND flash memory: From 2D to 3D as a storage market leader. In Proceedings of the 2017 IEEE International Memory Workshop (IMW), Monterey, CA, USA, 14–17 May 2017; pp. 1–4. [Google Scholar]
- Feng, Y.; Tang, M.; Sun, C.; Qi, Y.; Zhan, X.; Liu, J.; Zhang, J.; Wu, J.; Chen, J. Fully Flash-Based Reservoir Computing Network with Low Power and Rich States. IEEE Trans. Electron Devices 2023, 70, 4972–4975. [Google Scholar] [CrossRef]
- Nam, K.; Park, C.; Kim, D.; Lee, S.; Lee, N.; Beak, R.H. Bidirectional Precharge and Negative Bias Scheme for Program Disturbance Suppression in 3-D NAND Flash Memory. IEEE Trans. Electron Devices 2023, 70, 6313–6317. [Google Scholar] [CrossRef]
- Kim, S.S.; Yong, S.K.; Kim, W.; Kang, S.; Park, H.W.; Yoon, K.J.; Sheen, D.S.; Lee, S.; Hwang, C.S. Review of semiconductor flash memory devices for material and process issues. Adv. Mater. 2022, 35, 2200659. [Google Scholar] [CrossRef]
- Goda, A. 3-D NAND technology achievements and future scaling perspectives. IEEE Trans. Electron Devices 2020, 67, 1373–1381. [Google Scholar] [CrossRef]
- Fang, X.; Kong, Y.; Guo, Y.; Jia, M.; Zhan, X.; Li, Y.; Chen, J. Impacts of operation intervals on program disturb in 3D charge-trapping triple-level-cell (TLC) NAND flash memory. In Proceedings of the 2021 5th IEEE Electron Devices Technology & Manufacturing Conference (EDTM), Chengdu, China, 8–11 April 2021; pp. 1–3. [Google Scholar]
- Chang, Y.M.; Li, Y.C.; Chang, Y.H.; Kuo, T.W.; Hsieh, C.C.; Li, H.P. On relaxing page program disturbance over 3D MLC flash memory. In Proceedings of the 2015 IEEE/ACM International Conference on Computer-Aided Design (ICCAD), Austin, TX, USA, 2–6 November 2015; pp. 479–486. [Google Scholar]
- Zhang, M.; Wu, F.; Yu, Q.; Liu, W.; Wang, Y.; Xie, C. Exploiting Error Characteristic to Optimize Read Voltage for 3-D NAND Flash Memory. IEEE Trans. Electron Devices 2020, 67, 5490–5496. [Google Scholar] [CrossRef]
- Park, J.K.; Kim, S.E. A review of cell operation algorithm for 3D NAND flash memory. Appl. Sci. 2022, 12, 10697. [Google Scholar] [CrossRef]
- Peng, X.; Wang, F.; Kong, Y.; Jia, M.; Zhan, X.; Li, Y.; Chen, J. Impacts of lateral charge migration on data retention and read disturb in 3D charge-trap NAND flash memory. In Proceedings of the 2020 IEEE 15th International Conference on Solid-State & Integrated Circuit Technology (ICSICT), Kunming, China, 3–6 November 2020; pp. 1–3. [Google Scholar]
- Choi, E.-S.; Park, S.-K. Device considerations for high density and highly reliable 3D NAND flash cell in near future. In Proceedings of the 2012 International Electron Devices Meeting, San Francisco, CA, USA, 10–13 December 2012; pp. 9.4.1–9.4.4. [Google Scholar]
- Shim, K.-S.; Choi, E.-S.; Jung, S.-W.; Kim, S.-H.; Yoo, H.-S.; Jeon, K.-S.; Joo, H.-S.; Oh, J.-S.; Jang, Y.-S.; Park, K.-J.; et al. Inherent issues and challenges of program disturbance of 3D NAND flash cell. In Proceedings of the 2012 4th IEEE International Memory Workshop, Milan, Italy, 20–23 May 2012; pp. 1–4. [Google Scholar]
- Yoo, H.; Choi, E.-S.; Oh, J.-S.; Park, K.-J.; Jung, S.-W.; Kim, S.-H.; Shim, K.-S.; Joo, H.-S.; Jeon, K.-S.; Seo, M.-S.; et al. Modeling and optimization of the chip level program disturbance of 3D NAND flash memory. In Proceedings of the 2013 5th IEEE International Memory Workshop, Monterey, CA, USA, 26–29 May 2013; pp. 147–150. [Google Scholar]
- Luo, Y.; Ghose, S.; Cai, Y.; Haratsch, E.F.; Mutlu, O. HeatWatch: Improving 3D NAND Flash Memory Device Reliability by Exploiting SelfRecovery and Temperature Awareness. In Proceedings of the 2018 IEEE International Symposium on High Performance Computer Architecture (HPCA), Vienna, Austria, 24–28 February 2018; pp. 504–517. [Google Scholar]
- Wang, F.; Cao, R.; Kong, Y.; Ma, X.; Zhan, X.; Li, Y.; Chen, J. Lateral Charge Migration Induced Abnormal Read Disturb in 3D Charge-Trapping NAND Flash Memory. Appl. Phys. Express 2020, 13, 054002. [Google Scholar] [CrossRef]
- Zhang, Y.; Jin, L.; Zou, X.; Liu, H.; Zhang, A.; Huo, Z. A novel program scheme for program disturbance optimization in 3-D NAND flash memory. IEEE Electron Device Lett. 2018, 39, 959–962. [Google Scholar] [CrossRef]
- Caillat, C.; Beaman, K.; Bicksler, A.; Camozzi, E.; Ghilardi, T.; Huang, G.; Liu, H.; Liu, Y.; Mao, D.; Mujumdar, S.; et al. 3DNAND GIDL-assisted body biasing for erase enabling CMOS under array (CUA) architecture. In Proceedings of the 2017 IEEE International Memory Workshop (IMW), Monterey, CA, USA, 14–17 May 2017; pp. 1–4. [Google Scholar]
- Yan, L.; Jin, L.; Zou, X.; Ai, D.; Li, D.; Zhang, A.; Wei, H.; Chen, Y.; Huo, Z. Investigation of Erase Cycling Induced TSG Vt Shift in 3D NAND Flash Memory. IEEE Electron Device Lett. 2018, 40, 21–23. [Google Scholar] [CrossRef]
- Verreck, D.; Arreghini, A.; Bosch, G.V.D.; Furnemont, A.; Rosmeulen, M. Program charge interference and mitigation in vertically scaled single and multiple-channel 3D NAND flash memory. In Proceedings of the 2021 International Conference on Simulation of Semiconductor Processes and Devices (SISPAD), Dallas, TX, USA, 27–29 September 2021; pp. 268–271. [Google Scholar]
- Wu, D.; You, H.; Wang, X.; Zhong, S.; Sun, Q. Experimental investigation of threshold voltage temperature effect during cross-temperature write–read operations in 3-D NAND flash. IEEE J. Electron Devices Soc. 2020, 9, 22–26. [Google Scholar] [CrossRef]
- Guo, Y.; Xie, K.; Fang, X.; Zhan, X.; Wu, J.; Chen, J. Cross-temperature Reliabilities in TLC 3D NAND Flash Memory: Characterization and Solution. In Proceedings of the 2023 7th IEEE Electron Devices Technology & Manufacturing Conference (EDTM), Seoul, Republic of Korea, 7–10 March 2023; pp. 1–3. [Google Scholar]
- Morgul, M.C.; Sakib, M.N.; Stan, M. Reliable Processing in Flash with High Temperature. In Proceedings of the 2021 IEEE International Integrated Reliability Workshop (IIRW), South Lake Tahoe, CA, USA, 4–28 October 2021; pp. 1–6. [Google Scholar]
- Zambelli, C.; Crippa, L.; Micheloni, R.; Olivo, P. Cross-Temperature Effects of Program and Read Operations in 2D and 3D NAND Flash Memories. In Proceedings of the 2018 International Integrated Reliability Workshop (IIRW), South Lake Tahoe, CA, USA, 7–11 October 2018; pp. 1–4. [Google Scholar]
- Chen, F.; Chen, B.; Lin, H.; Kong, Y.; Liu, X.; Zhan, X.; Chen, J. Temperature Impacts on Endurance and Read Disturbs in Charge-Trap 3D NAND Flash Memories. Micromachines 2021, 12, 1152. [Google Scholar] [CrossRef] [PubMed]
- Wu, J.; Chen, J.; Jiang, X. Atomistic study of lateral charge diffusion degradation during program/erase cycling in 3-D NAND flash memory. IEEE J. Electron Devices Soc. 2019, 7, 626–631. [Google Scholar] [CrossRef]
- Cao, R.; Wu, J.; Yang, W.; Chen, J.; Jiang, X. Program/erase cycling enhanced lateral charge diffusion in triple-level cell charge-trapping 3D NAND flash memory. In Proceedings of the 2019 IEEE International Reliability Physics Symposium (IRPS), Monterey, CA, USA, 31 March–4 April 2019; pp. 1–4. [Google Scholar]









| States | RT1 FBC | HT1 FBC | RT2 FBC | HT2 FBC |
|---|---|---|---|---|
| H To A | 4771 | 4753 | 4477 | 3709 |
| A To B | 3097 | 7069 | 2984 | 7145 |
| B To C | 1659 | 5359 | 1563 | 5352 |
| C To D | 746 | 2111 | 829 | 2246 |
| D To E | 1149 | 2344 | 1137 | 2480 |
| E To F | 449 | 2148 | 420 | 2364 |
| F To G | 96 | 289 | 112 | 363 |
Disclaimer/Publisher’s Note: The statements, opinions and data contained in all publications are solely those of the individual author(s) and contributor(s) and not of MDPI and/or the editor(s). MDPI and/or the editor(s) disclaim responsibility for any injury to people or property resulting from any ideas, methods, instructions or products referred to in the content. |
© 2024 by the authors. Licensee MDPI, Basel, Switzerland. This article is an open access article distributed under the terms and conditions of the Creative Commons Attribution (CC BY) license (https://creativecommons.org/licenses/by/4.0/).
Share and Cite
Zheng, X.; Wu, Y.; Dong, H.; Liu, Y.; Sang, P.; Xiao, L.; Zhan, X. Impact of Program–Erase Operation Intervals at Different Temperatures on 3D Charge-Trapping Triple-Level-Cell NAND Flash Memory Reliability. Micromachines 2024, 15, 1060. https://doi.org/10.3390/mi15091060
Zheng X, Wu Y, Dong H, Liu Y, Sang P, Xiao L, Zhan X. Impact of Program–Erase Operation Intervals at Different Temperatures on 3D Charge-Trapping Triple-Level-Cell NAND Flash Memory Reliability. Micromachines. 2024; 15(9):1060. https://doi.org/10.3390/mi15091060
Chicago/Turabian StyleZheng, Xuesong, Yifan Wu, Haitao Dong, Yizhi Liu, Pengpeng Sang, Liyi Xiao, and Xuepeng Zhan. 2024. "Impact of Program–Erase Operation Intervals at Different Temperatures on 3D Charge-Trapping Triple-Level-Cell NAND Flash Memory Reliability" Micromachines 15, no. 9: 1060. https://doi.org/10.3390/mi15091060
APA StyleZheng, X., Wu, Y., Dong, H., Liu, Y., Sang, P., Xiao, L., & Zhan, X. (2024). Impact of Program–Erase Operation Intervals at Different Temperatures on 3D Charge-Trapping Triple-Level-Cell NAND Flash Memory Reliability. Micromachines, 15(9), 1060. https://doi.org/10.3390/mi15091060

