Role of Solid Wall Properties in the Interface Slip of Liquid in Nanochannels
Abstract
1. Introduction
2. Mathematical Model
3. Results and Discussion
4. Conclusions
- As compared to the smooth atomic surface, the rough surface induces a smaller magnitude of the density oscillations, and liquid flow on the rough solid wall induces extra energy losses, which reduce both the interface velocity of liquid at the rough boundary and the whole velocity level in rough channel.
- Regardless of whether the nanochannel is smooth or rough, the slip length increases with increasing confined scales and shows no dependence on the confined scale once the confined scale reaches a critical value. The critical confined scale for the rough channel is larger than that of the smooth scale.
- The decreases in the wall density lead to a strong corrugation at the atomic level in the surface potential, and hence contributes to a reduction of the boundary slip. The slip length also decreases with the wall-fluid coupling strength, since a stronger wall-liquid coupling allows the liquid particles closer to the solid wall. For a smaller roughness spacing, the near-surface liquid flow is more irregular, which induces large viscous dissipation in rough nanochannels, causing the effect of both the corrugation of wall potential and the wall-fluid coupling strength to be less obvious.
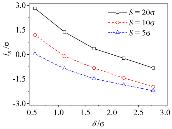
- The slip length for liquid at the liquid-solid interface is influenced by both roughness height and roughness spacing. As the roughness height increases or the roughness spacing decreases, there is a monotonous decrease trend for the slip length, and the slip length can be negative at some points.
Author Contributions
Funding
Acknowledgments
Conflicts of Interest
References
- Li, D. Encyclopedia of Microfluidics and Nanofluidics; Springer Science & Business Media: Berlin, Germany, 2008. [Google Scholar]
- Fu, F.; Chen, Z.; Zhao, Z.; Wang, H.; Shang, L.; Gu, Z.; Zhao, Y. Bio-inspired self-healing structural color hydrogel. Proc. Natl. Acad. Sci. 2017, 114, 5900–5905. [Google Scholar] [CrossRef] [PubMed]
- Chen, Y.P.; Deng, Z.L. Hydrodynamics of a droplet passing through a microfluidic t-junction. J. Fluid Mech. 2017, 819, 401–434. [Google Scholar] [CrossRef]
- Chen, Y.; Liu, X.; Zhao, Y. Deformation dynamics of double emulsion droplet under shear. Appl. Phys. Lett. 2015, 106, 141601. [Google Scholar] [CrossRef]
- Chen, Y.; Liu, X.; Zhang, C.; Zhao, Y. Enhancing and suppressing effects of an inner droplet on deformation of a double emulsion droplet under shear. Lab Chip 2015, 15, 1255–1261. [Google Scholar] [CrossRef] [PubMed]
- Wang, H.; Zhao, Z.; Liu, Y.; Shao, C.; Bian, F.; Zhao, Y. Biomimetic enzyme cascade reaction system in microfluidic electrospray microcapsules. Sci. Adv. 2018, 4, eaat2816. [Google Scholar] [CrossRef] [PubMed]
- Liang, G.T.; Mudawar, I. Review of pool boiling enhancement by surface modification. Int. J. Heat Mass Transf. 2019, 128, 892–933. [Google Scholar] [CrossRef]
- Zhang, C.; Chen, Y.; Wu, R.; Shi, M. Flow boiling in constructal tree-shaped minichannel network. Int. J. Heat Mass Transf. 2011, 54, 202–209. [Google Scholar] [CrossRef]
- Liu, X.; Chen, Y.; Shi, M. Dynamic performance analysis on start-up of closed-loop pulsating heat pipes (clphps). Int. J. Therm. Sci. 2013, 65, 224–233. [Google Scholar] [CrossRef]
- Chen, Y.; Liu, X.; Shi, M. Hydrodynamics of double emulsion droplet in shear flow. Appl. Phys. Lett. 2013, 102, 051609. [Google Scholar] [CrossRef]
- Yao, C.Q.; Zhao, Y.C.; Chen, G.W. Multiphase processes with ionic liquids in microreactors: Hydrodynamics, mass transfer and applications. Chem. Eng. Sci. 2018, 189, 340–359. [Google Scholar] [CrossRef]
- Wu, J.; Shi, M.; Chen, Y.; Li, X. Visualization study of steam condensation in wide rectangular silicon microchannels. Int. J. Therm. Sci. 2010, 49, 922–930. [Google Scholar] [CrossRef]
- Campbell, E.M.; Goncharov, V.N.; Sangster, T.C.; Regan, S.P.; Radha, P.B.; Betti, R.; Myatt, J.F.; Froula, D.H.; Rosenberg, M.J.; Igumenshchev, I.V.; et al. Laser-direct-drive program: Promise, challenge, and path forward. Matter Radiat. Extremes 2017, 2, 37–54. [Google Scholar] [CrossRef]
- Liu, M.; Su, L.; Li, J.; Chen, S.; Liu, Y.; Li, J.; Li, B.; Chen, Y.; Zhang, Z. Investigation of spherical and concentric mechanism of compound droplets. Matter Radiat. Extremes 2016, 1, 213–223. [Google Scholar] [CrossRef]
- Chen, Y.; Zhang, C.; Shi, M.; Yang, Y. Thermal and hydrodynamic characteristics of constructal tree-shaped minichannel heat sink. AIChE J. 2010, 56, 2018–2029. [Google Scholar] [CrossRef]
- Deng, Z.; Liu, X.; Zhang, C.; Huang, Y.; Chen, Y. Melting behaviors of pcm in porous metal foam characterized by fractal geometry. Int. J. Heat Mass Transf. 2017, 113, 1031–1042. [Google Scholar] [CrossRef]
- Granick, S.; Zhu, Y.X.; Lee, H. Slippery questions about complex fluids flowing past solids. Nat. Mater. 2003, 2, 221–227. [Google Scholar] [CrossRef] [PubMed]
- Rothstein, J.P. Slip on superhydrophobic surfaces. Annu. Rev. Fluid Mech. 2010, 42, 89–109. [Google Scholar] [CrossRef]
- Niavarani, A.; Priezjev, N.V. Rheological study of polymer flow past rough surfaces with slip boundary conditions. J. Chem. Phys. 2008, 129, 144902. [Google Scholar] [CrossRef]
- Cao, B.Y.; Sun, J.; Chen, M.; Guo, Z.Y. Molecular momentum transport at fluid-solid interfaces in mems/nems: A review. Int. J. Mol. Sci. 2009, 10, 4638–4706. [Google Scholar] [CrossRef]
- Sun, C.; Boutilier, M.S.H.; Au, H.; Poesio, P.; Bai, B.; Karnik, R.; Hadjiconstantinou, N.G. Mechanisms of molecular permeation through nanoporous graphene membranes. Langmuir 2014, 30, 675–682. [Google Scholar] [CrossRef]
- Powell, M.R.; Cleary, L.; Davenport, M.; Shea, K.J.; Siwy, Z.S. Electric-field-induced wetting and dewetting in single hydrophobic nanopores. Nat. Nanotechnol. 2011, 6, 798. [Google Scholar] [CrossRef] [PubMed]
- Watanabe, K.; Udagawa, Y.; Udagawa, H. Drag reduction of newtonian fluid in a circular pipe with a highly water-repellent wall. J. Fluid Mech. 1999, 381, 225–238. [Google Scholar] [CrossRef]
- Churaev, N.; Sobolev, V.; Somov, A. Slippage of liquids over lyophobic solid surfaces. J. Colloid Interface Sci. 1984, 97, 574–581. [Google Scholar] [CrossRef]
- Cottin-Bizonne, C.; Cross, B.; Steinberger, A.; Charlaix, E. Boundary slip on smooth hydrophobic surfaces: Intrinsic effects and possible artifacts. Phys. Rev. Lett. 2005, 94, 056102. [Google Scholar] [CrossRef] [PubMed]
- Bhushan, B.; Wang, Y.; Maali, A. Boundary slip study on hydrophilic, hydrophobic, and superhydrophobic surfaces with dynamic atomic force microscopy. Langmuir 2009, 25, 8117–8121. [Google Scholar] [CrossRef] [PubMed]
- Tretheway, D.C.; Meinhart, C.D. Apparent fluid slip at hydrophobic microchannel walls. Phys. Fluids 2002, 14, L9–L12. [Google Scholar] [CrossRef]
- Pit, R.; Hervet, H.; Leger, L. Direct experimental evidence of slip in hexadecane: Solid interfaces. Phys. Rev. Lett. 2000, 85, 980–983. [Google Scholar] [CrossRef]
- Shu, J.J.; Teo, J.B.M.; Chan, W.K. A new model for fluid velocity slip on a solid surface. Soft Matter 2016, 12, 8388–8397. [Google Scholar] [CrossRef]
- Shu, J.J.; Teo, J.B.; Chan, W.K. Fluid velocity slip and temperature jump at a solid surface. Appl. Mech. Rev. 2017, 69, 020801. [Google Scholar] [CrossRef]
- Shu, J.J.; Teo, B.M.; Chan, W.K. Slip of fluid molecules on solid surfaces by surface diffusion. PLoS ONE 2018, 13, e0205443. [Google Scholar] [CrossRef]
- Zhang, C.; Deng, Z.; Chen, Y. Temperature jump at rough gas–solid interface in couette flow with a rough surface described by cantor fractal. Int. J. Heat Mass Transf. 2014, 70, 322–329. [Google Scholar] [CrossRef]
- Zhang, C.; Chen, Y.; Deng, Z.; Shi, M. Role of rough surface topography on gas slip flow in microchannels. Phys. Rev. E 2012, 86, 016319. [Google Scholar] [CrossRef] [PubMed]
- Niavarani, A.; Priezjev, N.V. Modeling the combined effect of surface roughness and shear rate on slip flow of simple fluids. Phys. Rev. E 2010, 81, 011606. [Google Scholar] [CrossRef] [PubMed]
- Ziarani, A.S.; Mohamad, A.A. Effect of wall roughness on the slip of fluid in a microchannel. Nanoscale Microscale Thermophys. Eng. 2008, 12, 154–169. [Google Scholar] [CrossRef]
- Nagayama, G.; Cheng, P. Effects of interface wettability on microscale flow by molecular dynamics simulation. Int. J. Heat Mass Transf. 2004, 47, 501–513. [Google Scholar] [CrossRef]
- Priezjev, N.V.; Troian, S.M. Influence of periodic wall roughness on the slip behaviour at liquid/solid interfaces: Molecular-scale simulations versus continuum predictions. J. Fluid Mech. 2006, 554, 25–46. [Google Scholar] [CrossRef]
- Thompson, P.A.; Robbins, M.O. Shear flow near solids: Epitaxial order and flow boundary conditions. Phys. Rev. A 1990, 41, 6830–6837. [Google Scholar] [CrossRef]
- Thompson, P.A.; Troian, S.M. A general boundary condition for liquid flow at solid surfaces. Nature 1997, 389, 360–362. [Google Scholar] [CrossRef]
- Zhang, C.; Chen, Y.; Shi, M. Effects of roughness elements on laminar flow and heat transfer in microchannels. Chem. Eng. Process. 2010, 49, 1188–1192. [Google Scholar] [CrossRef]
- Wan, L.; Huang, Y.M. Slip length of confined liquid with small roughness of solid-liquid interfaces. Phys. Rev. E 2017, 95, 043107. [Google Scholar] [CrossRef]
- Sofos, F.D.; Karakasidis, T.E.; Liakopoulos, A. Effects of wall roughness on flow in nanochannels. Phys. Rev. E 2009, 79, 026305. [Google Scholar] [CrossRef] [PubMed]
- Sofas, F.; Karakasidis, T.E.; Liakopoulos, A. Parameters affecting slip length at the nanoscale. J. Comput. Theor. Nanosci. 2013, 10, 648–650. [Google Scholar] [CrossRef]
- Rahmatipour, H.; Azimian, A.R.; Atlaschian, O. Study of fluid flow behavior in smooth and rough nanochannels through oscillatory wall by molecular dynamics simulation. Phys. A Stat. Mech. Appl. 2017, 465, 159–174. [Google Scholar] [CrossRef]
- Jing, D.; Bhushan, B. The coupling of surface charge and boundary slip at the solid–liquid interface and their combined effect on fluid drag: A review. J Colloid Interface Sci. 2015, 454, 152–179. [Google Scholar] [CrossRef] [PubMed]
- Prakash, S.; Zambrano, H.A.; Fuest, M.; Boone, C.; Rosenthal-Kim, E.; Vasquez, N.; Conlisk, A.T. Electrokinetic transport in silica nanochannels with asymmetric surface charge. Microfluid. Nanofluid. 2015, 19, 1455–1464. [Google Scholar] [CrossRef]
- Wu, Y.; Misra, S.; Karacor, M.B.; Prakash, S.; Shannon, M.A. Dynamic response of afm cantilevers to dissimilar functionalized silica surfaces in aqueous electrolyte solutions. Langmuir 2010, 26, 16963–16972. [Google Scholar] [CrossRef] [PubMed]
- Chen, Y.; Fu, P.; Zhang, C.; Shi, M. Numerical simulation of laminar heat transfer in microchannels with rough surfaces characterized by fractal cantor structures. Int. J. Heat Fluid 2010, 31, 622–629. [Google Scholar] [CrossRef]
- Chen, Y.P.; Zhang, C.B.; Shi, M.H.; Peterson, G.P. Slip boundary for fluid flow at rough solid surfaces. Appl. Phys. Lett. 2012, 100, 074102. [Google Scholar] [CrossRef]
- Chen, Y.P.; Zhang, C.B.; Shi, M.H.; Peterson, G.P. Role of surface roughness characterized by fractal geometry on laminar flow in microchannels. Phys. Rev. E 2009, 80, 026301. [Google Scholar] [CrossRef]
- Cao, B.Y. Non-maxwell slippage induced by surface roughness for microscale gas flow: A molecular dynamics simulation. Mol. Phys. 2007, 105, 1403–1410. [Google Scholar] [CrossRef]
- Xu, Y.; Mi, X.B.; Aluru, N.R. Detection of defective DNA in carbon nanotubes by combined molecular dynamics/tight-binding technique. Appl. Phys. Lett. 2009, 95, 113116. [Google Scholar] [CrossRef]
- Park, J.H.; Aluru, N.R. Temperature-dependent wettability on a titanium dioxide surface. Mol. Simulat. 2009, 35, 31–37. [Google Scholar] [CrossRef]
- Conlisk, T.; Zambrano, H.; Li, H.; Kazoe, Y.; Yoda, M. Particle-wall interactions in micro/nanofluidics. In 50th AIAA Aerospace Sciences Meeting Including the New Horizons Forum and Aerospace Exposition; American Institute of Aeronautics and Astronautics: Reston, VA, USA, 2012. [Google Scholar]
- Zambrano, H.A.; Walther, J.H.; Jaffe, R.L. Molecular dynamics simulations of water on a hydrophilic silica surface at high air pressures. J. Mol. Liquids 2014, 198, 107–113. [Google Scholar] [CrossRef]
- Galea, T.M.; Attard, P. Molecular dynamics study of the effect of atomic roughness on the slip length at the fluid−solid boundary during shear flow. Langmuir 2004, 20, 3477–3482. [Google Scholar] [CrossRef] [PubMed]








| Parameter | H (σ) | S (σ) | δ (σ) | εwl (ε) | ρw (ρ) |
|---|---|---|---|---|---|
| Value | 10 ~ 100 | 5 ~ 20 | 0.5 ~ 2.75 | 1 ~ 4 | 1 ~ 4 |
© 2018 by the authors. Licensee MDPI, Basel, Switzerland. This article is an open access article distributed under the terms and conditions of the Creative Commons Attribution (CC BY) license (http://creativecommons.org/licenses/by/4.0/).
Share and Cite
Gao, W.; Zhang, X.; Han, X.; Shen, C. Role of Solid Wall Properties in the Interface Slip of Liquid in Nanochannels. Micromachines 2018, 9, 663. https://doi.org/10.3390/mi9120663
Gao W, Zhang X, Han X, Shen C. Role of Solid Wall Properties in the Interface Slip of Liquid in Nanochannels. Micromachines. 2018; 9(12):663. https://doi.org/10.3390/mi9120663
Chicago/Turabian StyleGao, Wei, Xuan Zhang, Xiaotian Han, and Chaoqun Shen. 2018. "Role of Solid Wall Properties in the Interface Slip of Liquid in Nanochannels" Micromachines 9, no. 12: 663. https://doi.org/10.3390/mi9120663
APA StyleGao, W., Zhang, X., Han, X., & Shen, C. (2018). Role of Solid Wall Properties in the Interface Slip of Liquid in Nanochannels. Micromachines, 9(12), 663. https://doi.org/10.3390/mi9120663
