Analysis and Optimization of Thermodiffusion of an FBG Sensor in the Gas Nitriding Process
Abstract
:1. Introduction
2. Principle of Fiber Bragg Grating (FBG) Sensors
3. Experimental
3.1. Measurement of FBG Sensor Performance
3.2. Simulation of FBG Sensor
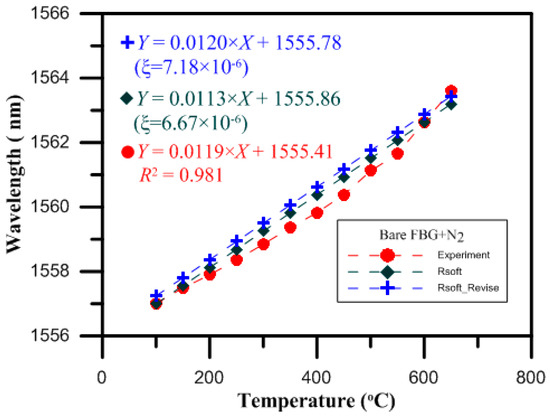
4. Results and Discussion
4.1. Comparison of the Bare FBG Sensors with and without Nitriding
4.2. Analysis Using the Finite Element Method (FEM)
5. Conclusions
Acknowledgments
Author Contributions
Conflicts of Interest
References
- Girard, S.; Kuhnhenn, J.; Gusarov, A.; Brichard, B.; van Uffelen, M.; Ouerdane, Y.; Boukenter, A.; Marcandella, C. Radiation Effects on Silica-Based Optical Fibers: Recent Advances and Future Challenges. IEEE Trans. Nucl. Sci. 2013, 60, 2015–2036. [Google Scholar] [CrossRef]
- Urrutia, A.; Goicoechea, J.; Ricchiuti, A.L.; Barrera, D.; Salesb, S.; Arregui, F.J. Simultaneous measurement of humidity and temperature based on apartially coated optical fiber long period grating. Sens. Actuators B 2016, 227, 135–141. [Google Scholar] [CrossRef]
- Chiang, C.C.; Hsu, C.H.; Ou, C.H. A pH senser based on corrugated long- period fiber grating. Sens. Mater. 2013, 25, 359–364. [Google Scholar]
- Wu, C.W.; Chiang, C.C. Sandwiched Long-Period Fiber Grating Fabricated by MEMS Process for CO2 Gas Detection. Micromachines 2016, 7, 35. [Google Scholar] [CrossRef]
- Hsieh, T.S.; Chiang, C.C.; Lin, C.H. A Composite Material Leaf Spring with Fiber Bragg Grating as a Sensor System for Dynamic Vehicle Loading. Sens. Mater. 2014, 26, 333–338. [Google Scholar]
- Zhan, Y.G.; Xiang, S.Q.; He, H.; Zhu, R.D.; Wang, X.Z. Study on high temperatureoptic fiber grating sensor. Chin. J. Lasers 2005, 32, 1235–1238. [Google Scholar]
- Gu, Y.J.; Yun, B.F.; Wang, Y.P.; Cui, Y.P. Studies on thermal decay of fiber Bragg gratings. Chin. J. Electron Devices 2009, 30, 2262–2264. [Google Scholar]
- Brambilla, G.; Rutt, H. Fiber Bragg gratings with enhanced thermal stability. Appl. Phys. Lett. 2002, 80, 3259. [Google Scholar] [CrossRef]
- Guo, M.J.; Jiang, D.S.; Yuan, H.C. Low temperature properties of fiber Bragg grating temperature sensors with two package methods. Opt. Precis. Eng. 2007, 15, 326–330. [Google Scholar]
- Butov, O.V.; Golant, K.M.; Nikolin, I.V. Ultra-thermo-resistant Bragg gratings written in nitrogen-doped silica fibres. Electron. Lett. 2002, 38, 523–525. [Google Scholar] [CrossRef]
- Sharma, R.; Rohillad, R.; Sharma, M.; Manjunath, T.C. Design & simulation of optical fiber Bragg grating pressure sensor for minimum attenuation criteria. J. Theor. Appl. Inf. Technol. 2009, 5, 515–530. [Google Scholar]
- Agarwal, S.; Mishra, V. Characterization of fiber Bragg grating for maximum reflectivity based on modulation depth of refractive index. Optik 2014, 125, 5192–5195. [Google Scholar] [CrossRef]
- Mishra, V.; Lohar, M.; Amphawan, A. Improvement in temperature sensitivity of FBG by coating of different material. Optik 2016, 127, 825–828. [Google Scholar] [CrossRef]
- Wu, W.; Liu, X. Investigation on high temperature characteristics of FBG sensors. Optik 2015, 126, 2411–2413. [Google Scholar] [CrossRef]
- Brambilla, G.; Pruneri, V. Enhanced photosensitivity in silicate optical fibers by thermal treatment. Appl. Phys. Lett. 2007, 90, 111905. [Google Scholar] [CrossRef]
- Hsiao, T.C.; Hsieh, T.S.; Chen, Y.C.; Huang, S.C.; Chiang, C.C. Metal-coated fiber Bragg grating for dynamic temperature sensor. Optik 2016, 127, 10740–10745. [Google Scholar] [CrossRef]
- Zhang, B.; Kahrizi, M. High-Temperature Resistance Fiber Bragg Grating Temperature Sensor Fabrication. IEEE Sens. J. 2007, 7, 586–591. [Google Scholar] [CrossRef]
- Butov, V.; Golaut, K.M.; Chamorovskii, Y.K.; Kolosovskii, A.A.; Isaev, V.A.; Voloshin, V.V.; Vorob’ev, L.; Gonsev, Y.V.; Sokolov, I.V. In-fiber Bragg gratings for sensor applications at high temperatures. In Optical Fiber Communication Conference; Optical Society of America: Los Angeles, CA, USA, 2004; p. FC5. [Google Scholar]









| Simulation Tool | GratingMOD | Simulation Tool | GratingMOD |
|---|---|---|---|
| Grating type | Volume index | Width | 9.6 µm |
| Structure type | Fiber | ModDelta | 0.0003 |
| Index profile | Step index | Delta | 0.008 |
| Length | 5000 µm | Dn/dt () | 7.18 × 10−6 |
| Height | 9.6 µm | DΛ/dt (α) | 0.55 × 10−6 |
© 2016 by the authors. Licensee MDPI, Basel, Switzerland. This article is an open access article distributed under the terms and conditions of the Creative Commons Attribution (CC-BY) license ( http://creativecommons.org/licenses/by/4.0/).
Share and Cite
Hsieh, T.-S.; Chen, Y.-C.; Chiang, C.-C. Analysis and Optimization of Thermodiffusion of an FBG Sensor in the Gas Nitriding Process. Micromachines 2016, 7, 227. https://doi.org/10.3390/mi7120227
Hsieh T-S, Chen Y-C, Chiang C-C. Analysis and Optimization of Thermodiffusion of an FBG Sensor in the Gas Nitriding Process. Micromachines. 2016; 7(12):227. https://doi.org/10.3390/mi7120227
Chicago/Turabian StyleHsieh, Tso-Sheng, Yi-Chian Chen, and Chia-Chin Chiang. 2016. "Analysis and Optimization of Thermodiffusion of an FBG Sensor in the Gas Nitriding Process" Micromachines 7, no. 12: 227. https://doi.org/10.3390/mi7120227
APA StyleHsieh, T.-S., Chen, Y.-C., & Chiang, C.-C. (2016). Analysis and Optimization of Thermodiffusion of an FBG Sensor in the Gas Nitriding Process. Micromachines, 7(12), 227. https://doi.org/10.3390/mi7120227

