Theoretical Analysis and Numerical Simulation Research on the Response of Inertial Switches
Abstract
1. Introduction
2. Theoretical Modeling
3. Numerical Model
- (i)
- The fixed constraint was applied between the metal shell and the ground, between the insulating sleeve and the metal shell, and between the conductive sleeve and the insulating sleeve.
- (ii)
- An overload curve that impacts along the radial direction was applied at the centroid of the impact rod.
- (iii)
- A contact pair was applied between the impact rod and the conductive sleeve.
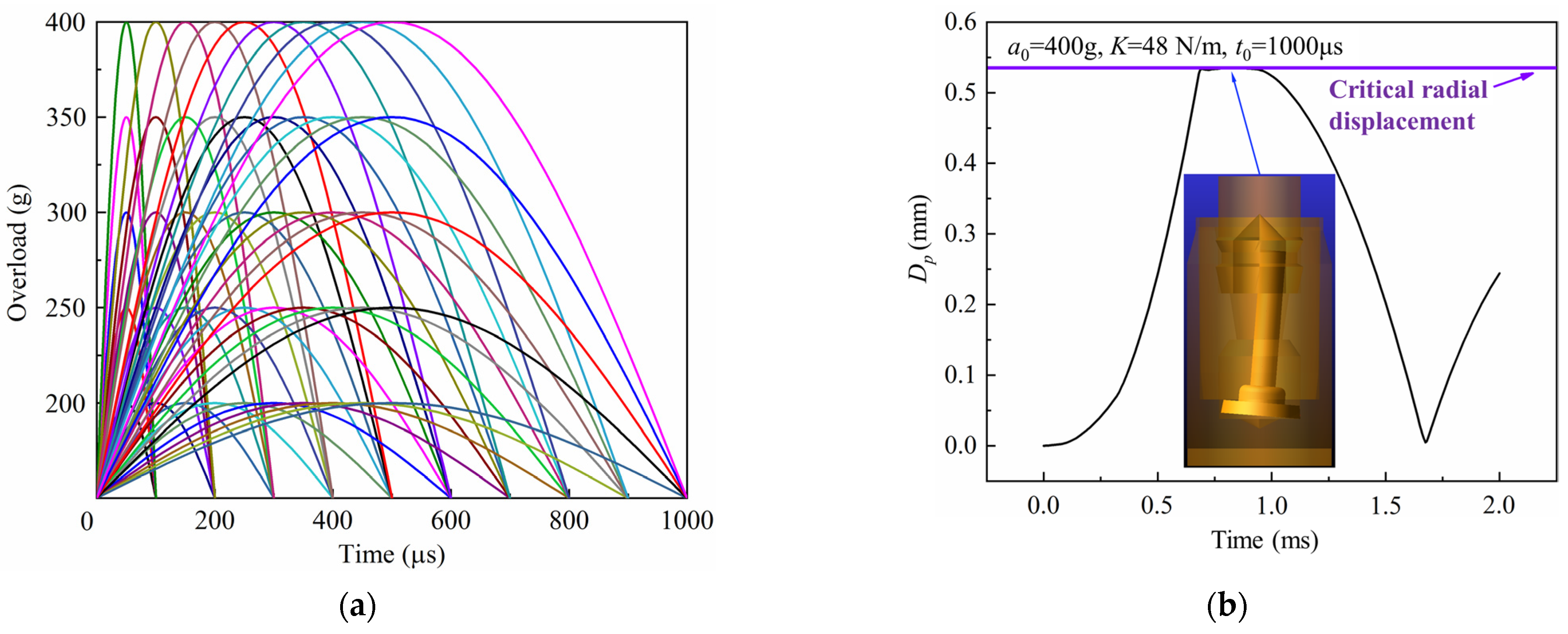
4. Results and Discussion
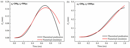
4.1. Comparison Between Theoretical and Numerical Results
4.2. Influence of Peak Value and Pulse Width of the Overload
5. Conclusions
Author Contributions
Funding
Data Availability Statement
Acknowledgments
Conflicts of Interest
References
- Xu, Q.; Rocha, R.T.; Algoos, Y.; Feron, E.; Younis, M.I. Design, simulation, and testing of a tunable MEMS multi-threshold inertial switch. Microsyst. Nanoeng. 2024, 10, 31. [Google Scholar] [CrossRef] [PubMed]
- Zhang, X.; Li, Y.; Wang, H. The Design, Simulation and Fabrication of an Omnidirectional Inertial Switch with Rectangular Suspension Spring. Micromachines 2021, 12, 440. [Google Scholar] [CrossRef] [PubMed]
- Zhang, F.; Chen, C. Design and Simulation of a MEMS Inertial Switch with High Sensitivity and Low Threshold. In Proceedings of the 2020 2nd International Conference on Mechanical Engineering and Intelligent Systems (ICMEIS), Hyderabad, India, 21–22 August 2020; pp. 185–189. [Google Scholar]
- Fang, C.H.; Jia, J.; Chen, Z.F.; Zhou, S.F. Axially Mounted Inertial Trigger Switches with Weighted Columns. J. Detect. Control 2010, 32, 15–19. [Google Scholar]
- Ning, X.B.; Si, X.L.; Shi, C.L.; Wang, Z.P. Cantilever-type Unidirectional High-Overload Closing Inertial Switches for Fuzes. J. Detect. Control 2016, 38, 24–26. [Google Scholar]
- Frobenius, W.D.; Zeitman, S.A.; White, M.H.; O’Sullivan, D.D.; Hamel, R.G. Microminiature Ganged Threshold Accelerometers Compatible with Integrated Circuit Technology. IEEE Trans. Electron Devices 1972, 19, 38–40. [Google Scholar] [CrossRef]
- Noetzel, J.; Tønnesen, T.; Benecke, W.; Binder, J.; Mader, G. Quasianalog accelerometer using microswitch array. Sens. Actuators A Phys. 1996, 54, 574–578. [Google Scholar] [CrossRef]
- Tønnesen, T.; Lüdtke, O.; Noetzel, J.; Binder, J.; Mader, G. Simulation, design and fabrication of electroplated acceleration switches. J. Micromech. Microeng. 1997, 7, 237. [Google Scholar] [CrossRef]
- Zhang, Y.; Wang, X. Study on Inertial Response Performance of A Micro Electrical Switch for Fuze. In Proceedings of the 2014 9th IEEE Conference on Industrial Electronics and Applications, Hangzhou, China, 9–11 June 2014; pp. 2112–2116. [Google Scholar]
- Xu, H.; Hu, X. Analysis and Simulation of an Inertial Switch with a Novel Structure. In Proceedings of the 2019 IEEE 2nd International Conference on Electronic Information and Communication Technology (ICEICT), Harbin, China, 20–22 January 2019; pp. 1–4. [Google Scholar]
- Xu, H.; Jin, Y. Theoretical and Simulation Analysis of an Omnidirectional Inertial Switch. SPIE Int. Soc. Opt. Eng. 2019, 11384, 113840U. [Google Scholar]
- Zhang, X.; Li, Y. Inertial Switch with Enhanced Sensitivity and Stability: Design, Modeling, and Simulation. IEEE Access 2021, 9, 122437–122447. [Google Scholar]
- Muthu, S.; Anand, S. Simulation Study of Inertial Micro-Switch as Influenced by Squeeze-Film Damping and Applied Acceleration Load. Microsyst. Nanoeng. 2018, 4, 18041. [Google Scholar]
- Zhang, X.; Li, Y. Modeling and Simulation of Inertial Switches for Different Applications. IEEE Access 2020, 8, 164663–164673. [Google Scholar]
- Xu, H.; Chen, Y. Inertial Switch Response: Theory, Simulation, and Experimental Validation. In Proceedings of the 2019 IEEE 2nd International Conference on Electronic Information and Communication Technology (ICEICT), Harbin, China, 20–22 January 2019; pp. 1–4. [Google Scholar]
- Liu, C.; Chen, L.; Lee, H.P.; Yang, Y.; Zhang, X. A review of the inerter and inerter-based vibration isolation: Theory, devices, and applications. J. Frankl. Inst. 2022, 359, 7677–7707. [Google Scholar] [CrossRef]
- Peng, Y.; Sun, Y.; Luo, G.; Wu, G.; Zhang, T. Recent advancements in inertial micro-switches. Electronics 2019, 8, 648. [Google Scholar] [CrossRef]
- Liu, M.; Wu, X.; Niu, Y.; Yang, H.; Zhu, Y.; Wang, W. Research progress of MEMS inertial switches. Micromachines 2022, 13, 359. [Google Scholar] [CrossRef]
- Yang, Y.; Lai, L.; Ding, G.; Chen, T. SiC nanowire-based SU-8 with enhanced mechanical properties for MEMS structural layer design. Nanotechnol. Precis. Eng. 2019, 2, 169–176. [Google Scholar] [CrossRef]
- Flavin, M.T.; Ha, K.H.; Guo, Z.; Li, S.; Kim, J.T.; Saxena, T.; Simatos, D.; Al-Najjar, F.; Mao, Y.; Bandapalli, S.; et al. Bioelastic state recovery for haptic sensory substitution. Nature 2024, 635, 345–352. [Google Scholar] [CrossRef]
- Wang, K.; Ren, C.; Zhang, R.; Luo, Y.; Zhang, D. A Self-Powered Inertial Switch with Asymmetry Double-Well Potential Mechanism for Anti-False Triggering. In Proceedings of the 2025 IEEE 38th International Conference on Micro Electro Mechanical Systems (MEMS), Kaohsiung, Taiwan, 19–23 January 2025; pp. 36–39. [Google Scholar]
- Kurmendra; Agarwal, S. MEMS switch realities: Addressing challenges and pioneering solutions. Micromachines 2024, 15, 556. [Google Scholar] [CrossRef]
- Cao, T.; Hu, T.; Zhao, Y. Research status and development trend of MEMS switches: A review. Micromachines 2020, 11, 694. [Google Scholar] [CrossRef]
- Xu, Q.; Younis, M.I. Micromachined threshold inertial switches: A review. J. Micromech. Microeng. 2022, 32, 063001. [Google Scholar] [CrossRef]
- Cao, Y.; Xi, Z. A review of MEMS inertial switches. Microsyst. Technol. 2019, 25, 4405–4425. [Google Scholar] [CrossRef]
- Guo, Z.; Ju, H.; Wang, K. A Novel Explicit Canonical Dynamic Modeling Method for Multi-Rigid-Body Mechanisms Considering Joint Friction. Aerospace 2024, 11, 368. [Google Scholar] [CrossRef]
- Müller, M.; Macklin, M.; Chentanez, N.; Jeschke, S.; Kim, T. Detailed rigid body simulation with extended position-based dynamics. Comput. Graph. Forum 2020, 39, 101–112. [Google Scholar] [CrossRef]
- Liu, X.; Du, C. Modeling and Simulation of Multi-rigid Body Dynamics. In Biomechanical Modelling and Simulation on Musculoskeletal System; Springer Nature: Singapore, 2022; pp. 353–389. [Google Scholar]










| a0 = 200 g | a0 = 300 g | a0 = 400 g | ||||
|---|---|---|---|---|---|---|
| dm/mm | tr/μs | dm/mm | tr/μs | dm/mm | tr/μs | |
| Theoretical prediction | 0.18 | 670 | 0.35 | 840 | 0.53 | 780 |
| Numerical simulation | 0.17 | 680 | 0.36 | 860 | 0.53 | 740 |
| Error | 5.56% | 1.49% | 2.86% | 2.38% | / | 5.13% |
| a0 = 200 g | a0 = 300 g | a0 = 400 g | ||||
|---|---|---|---|---|---|---|
| dm/mm | tr/μs | dm/mm | tr/μs | dm/mm | tr/μs | |
| Theoretical prediction | 0.33 | 1000 | 0.53 | 910 | 0.53 | 720 |
| Numerical simulation | 0.36 | 1000 | 0.53 | 840 | 0.53 | 705 |
| Error | 9.09% | / | / | 7.69% | / | 2.08% |
Disclaimer/Publisher’s Note: The statements, opinions and data contained in all publications are solely those of the individual author(s) and contributor(s) and not of MDPI and/or the editor(s). MDPI and/or the editor(s) disclaim responsibility for any injury to people or property resulting from any ideas, methods, instructions or products referred to in the content. |
© 2025 by the authors. Licensee MDPI, Basel, Switzerland. This article is an open access article distributed under the terms and conditions of the Creative Commons Attribution (CC BY) license (https://creativecommons.org/licenses/by/4.0/).
Share and Cite
Cui, S.; Hao, J.; Wang, S.; Wu, F.; Xu, P. Theoretical Analysis and Numerical Simulation Research on the Response of Inertial Switches. Micromachines 2025, 16, 459. https://doi.org/10.3390/mi16040459
Cui S, Hao J, Wang S, Wu F, Xu P. Theoretical Analysis and Numerical Simulation Research on the Response of Inertial Switches. Micromachines. 2025; 16(4):459. https://doi.org/10.3390/mi16040459
Chicago/Turabian StyleCui, Shaokang, Jiachen Hao, Sen Wang, Fukai Wu, and Pengzhao Xu. 2025. "Theoretical Analysis and Numerical Simulation Research on the Response of Inertial Switches" Micromachines 16, no. 4: 459. https://doi.org/10.3390/mi16040459
APA StyleCui, S., Hao, J., Wang, S., Wu, F., & Xu, P. (2025). Theoretical Analysis and Numerical Simulation Research on the Response of Inertial Switches. Micromachines, 16(4), 459. https://doi.org/10.3390/mi16040459

