Response Analysis of PLC Optical Splitters Under Force Cyclic Loading
Abstract
1. Introduction
2. Experimental Work
2.1. Structure of the PLC Optical Splitter
2.2. Test Method
3. Results and Discussion
3.1. The Results of Cyclic Loading Until the Specimen Breaks
3.1.1. Mechanical Test Results
3.1.2. Optical Performance Response
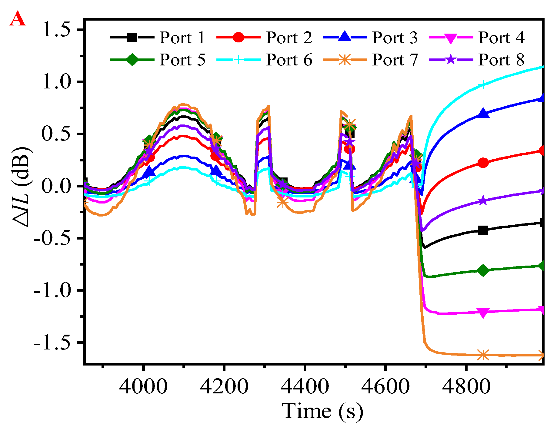
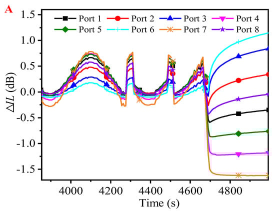
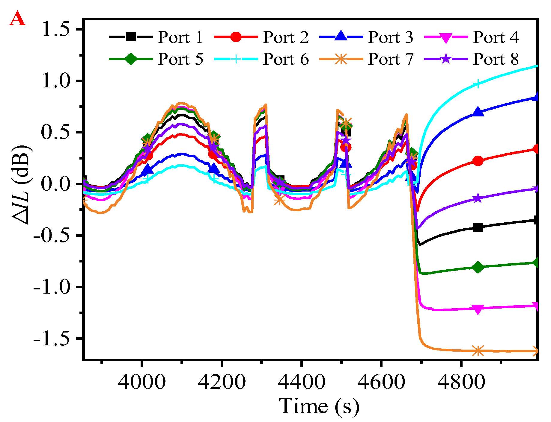
3.2. Results from Force Cycle Loading Until Active Unloading
4. Conclusions
- The weakest area of the PLC optical splitter under force cyclic load is the eight-channels output fiber array–PLC chip adhesively bonded joint.
- When the PLC optical splitter is subjected to a force cyclic loading with a sinusoidal waveform of constant amplitude, the ΔIL–time curve of each output port of the PLC optical splitter also presents a quasi-sinusoidal waveform during the stable loading stage. This further illustrates that the local deformation and damage behavior of the weak area under force cyclic loading can be reflected in its optical performance parameter indicators that are monitored in real time.
- At the moment of loading and unloading of the force cyclic loading, the ΔIL of each output port of the PLC optical splitter shows large fluctuations, especially at the moment of unloading.
Author Contributions
Funding
Institutional Review Board Statement
Informed Consent Statement
Data Availability Statement
Conflicts of Interest
Abbreviations
| PLC | Planar lightwave circuit |
| IL | Insertion loss |
| FTTH | Fiber-to-the-home |
| FBT | Fused biconical taper |
| PDL | Polarization-dependent loss |
| RL | Return loss |
References
- Wang, J.R.; Zheng, Y.; Zou, X.J.; Zhao, Y.B.; Liu, J.Z.; Jiang, X.; Duan, J.A. Design and optimization of non-uniform 1 × 5 PLC splitter using orthogonal experimental method. Opt. Laser Technol. 2024, 168, 109955. [Google Scholar] [CrossRef]
- Abdellaoui, Z.; Dieudonne, Y.; Aleya, A. Design, implementation and evaluation of a Fiber To The Home (FTTH) access network based on a Giga Passive Optical Network GPON. Array 2021, 10, 100058. [Google Scholar] [CrossRef]
- Wang, L.; An, J.; Wu, Y.; Zhang, J.; Wang, Y.; Li, J.; Wang, H.; Zhang, X.; Pan, P.; Zhong, F.; et al. Design and Fabrication of Novel Symmetric Low-Loss 1 × 24 Optical Power Splitter. J. Light. Technol. 2014, 32, 3112–3118. [Google Scholar] [CrossRef]
- Zheng, Y.; Jiang, L.Q.; Xia, B.X.; Wu, X.H.; Duan, J.A. Online Research on Reliability of Thermal-Vibration Coupling for PLC Optical Splitters. IEEE Trans. Device Mater. Reliab. 2020, 20, 351–357. [Google Scholar] [CrossRef]
- Aratake, A. High Reliability of Silica-Based 1 × 8 Optical Splitter Modules for Outside Plant. J. Light. Technol. 2016, 34, 227–232. [Google Scholar] [CrossRef]
- Ivaniga, T.; Ruzbarský, J.; Ovseník, L.; Turán, J. Optical Networks FTTx and Reduced Attenuation Balance with Passive Optical Splitter. Carpathian J. Electron. Comput. Eng. 2014, 7, 30–35. [Google Scholar]
- Zheng, Y.; Jiang, L.; Tang, X.; Liu, J.; Duan, J. Experimental-numerical studies of failure behavior of PLC optical splitters under uniaxial tensile loading. Int. J. Adhes. Adhes. 2023, 122, 103337. [Google Scholar] [CrossRef]
- Wai, L.K. Failure analysis and reliability studies of PLC optical splitter. Master’s Thesis, City University of Hong Kong, Kowloon, Hong Kong, 2004. [Google Scholar]
- GR-1209-CORE, Issue 3; Generic Requirements for Passive Optical Components. Telcordia Technologies: Piscataway, NJ, USA, 2010.
- GR-1221-CORE, Issue 2; Generic Reliability Assurance Requirements for Passive Optical Components. Telcordia Technologies: Piscataway, NJ, USA, 2010.
- Hibino, Y.; Hanawa, F.; Nakagome, H.; Ishii, M.; Takato, N. High reliability optical splitters composed of silica-based planar lightwave circuits. J. Light. Technol. 1995, 13, 1728–1735. [Google Scholar] [CrossRef]
- Zheng, Y.; Xia, B.; Gao, P.; Wu, X.; Xiao, Z. Novel research on reliability of silica-based PLC optical splitters. Optik 2019, 178, 1294–1301. [Google Scholar] [CrossRef]
- Zheng, Y.; Xia, B.; Jiang, L.; Wu, X.; Duan, J.A. Research on drop reliability of PLC optical splitters by online test. Optik 2020, 217, 164890. [Google Scholar] [CrossRef]
- Wang, L.; An, J.; Wu, Y.; Zhang, J.; Wang, Y.; Li, J.; Wang, H.; Zhang, X.; Pan, P.; Zhang, L.; et al. A compact and low-loss 1×8 optical power splitter using silica-based PLC on quartz substrate. Opt. Commun. 2014, 312, 203–209. [Google Scholar] [CrossRef]
- Wang, L.; An, J.; Wu, Y.; Wang, Y.; Zhang, J.; Li, J.; Wang, H.; Zhang, X.; Pan, P.; Dai, H.; et al. A compact 1×64 optical power splitter using silica-based PLC on quartz substrate. Opt. Laser Technol. 2014, 61, 45–49. [Google Scholar] [CrossRef]
- Wang, L.; Sun, B.; Zhang, J.; An, J.; Li, J.; Yin, X.; Chen, J.; Chang, X.; Wu, Y. Low-loss 1 × 256 optical power splitter. Opt. Eng. 2021, 60, 127102. [Google Scholar] [CrossRef]
- Zheng, Y.; Liu, Z.; Jiang, L.; Li, J.; Duan, J.A. Sensitivity analysis and optimization of optical Y-branch structure parameters. Appl. Opt. 2020, 59, 5803–5811. [Google Scholar] [CrossRef] [PubMed]
- Wan, Q.; Zheng, Y.; Ouyang, X.; Li, Z.; Duan, J.A. Design and optimization of 1 × 8 PLC splitter with backpropagation neural networks and genetic algorithm. J. Opt. 2024, 26, 95802. [Google Scholar] [CrossRef]
- Hanafusa, H.; Sumida, S.; Takato, N. Long-Term Reliability of Silica-Based Planar Lightwave Circuit Devices. MRS Online Proc. Libr. 1998, 531, 349–358. [Google Scholar] [CrossRef]
- Uddin, M.A.; Chan, H.P.; Lam, K.W.; Chan, Y.C.; Chu, P.L.; Hung, K.C.; Tsun, T.O. Delamination Problems of UV-Cured Adhesive Bonded Optical Fiber in V-Groove for Photonic Packaging. IEEE Photonics Technol. Lett. 2004, 16, 1113–1115. [Google Scholar] [CrossRef]
- Oh, J.K.; Cho, J.H.; Ryu, S.W.; Lee, H.J. A 1 × 8 Splitter Chip with Integrated Fiber Grooves for Reliable Passive Alignment of Fiber Arrays. IEEE Photonics Technol. Lett. 2015, 27, 249–252. [Google Scholar] [CrossRef]
- Kato, K.; Ishii, M.; Inoue, Y. Packaging of large-scale planar lightwave circuits. IEEE Trans. Compon. Packag. Manuf. Technol. Part B 1998, 21, 121–129. [Google Scholar] [CrossRef]
- Zheng, Y.; Jiang, L.; Cheng, J.; Liu, J.; Duan, J.A. Experimental Research on In Situ Uniaxial Tensile Response of Silica-Based PLC Optical Splitters. Appl. Sci. 2022, 12, 5778. [Google Scholar] [CrossRef]
- Crocombe, A.D.; Richardson, G. Assessing stress state and mean load effects on the fatigue response of adhesively bonded joints. Int. J. Adhes. Adhes. 1999, 19, 19–27. [Google Scholar]
- Underhill, P.R.; Duquesnay, D.L. The dependence of the fatigue life of adhesive joints on surface preparation. Int. J. Adhes. Adhes. 2006, 26, 62–66. [Google Scholar] [CrossRef]
- Liu, L.; Wang, X.; Wu, Z.; Keller, T. Tension-tension fatigue behavior of ductile adhesively-bonded FRP joints. Compos. Struct. 2021, 268, 113925. [Google Scholar] [CrossRef]
- Liang, D.; Wu, Q.; Ghaderi, D.; Guerrero, J.M. Analysis of Multilayered Power Module Packaging Behavior Under Random Vibrations. IEEE Trans. Compon. Pack. Manuf. Technol. 2020, 10, 1700–1707. [Google Scholar] [CrossRef]
- Hossain, M.F.; Chan, H.P.; Kouzani, A.Z. Efficient design of polarization insensitive polymer optical waveguide devices considering stress-induced effects. Opt. Express 2014, 22, 9334–9343. [Google Scholar] [CrossRef] [PubMed]
- Li, C.S.; Chen, J. How to eliminate unwanted elasto-optical birefringence from optical devices. Acta Phys. Sin. 2016, 65, 37801. [Google Scholar] [CrossRef]
- Zhou, F.F.; Su, H.Z.; Li, X.J.; Wen, Z.P. Reflection and transmission spectra of dynamic optical fiber gratings. Opt. Quantum Electron. 2018, 50, 1–22. [Google Scholar] [CrossRef]
- Hildenstein, P.; Feise, D.; Ostermay, I.; Paschke, K.; Tränkle, G. Precise prediction of optical behaviour of mechanically stressed edge emitting GaAs devices. Opt. Quantum Electron. 2022, 54, 728. [Google Scholar] [CrossRef]
- Huang, M. Stress effects on the performance of optical waveguides. Int. J. Solids Struct. 2003, 40, 1615–1632. [Google Scholar] [CrossRef]
- Lin, Z. Investigating Composite Adhesive Single Lap Joint by Using Pre-Embedded Fiber Bragg Grating Sensors. Master’s Thesis, National Taiwan University, Taibei, Taiwan, 2019. [Google Scholar] [CrossRef]







| Experimental Equipment | Micro-Force Universal Testing Machine, Optical Measuring Instruments, etc. |
|---|---|
| Specimen | 1 × 8 PLC optical splitter |
| Load type | Constant amplitude sinusoid load level |
| Load frequency | 10 Hz |
| Stress ratio | R = 0 |
| Maximum | Fmax = 10 N or Fmax = 8 N |
Disclaimer/Publisher’s Note: The statements, opinions and data contained in all publications are solely those of the individual author(s) and contributor(s) and not of MDPI and/or the editor(s). MDPI and/or the editor(s) disclaim responsibility for any injury to people or property resulting from any ideas, methods, instructions or products referred to in the content. |
© 2025 by the authors. Licensee MDPI, Basel, Switzerland. This article is an open access article distributed under the terms and conditions of the Creative Commons Attribution (CC BY) license (https://creativecommons.org/licenses/by/4.0/).
Share and Cite
Jiang, L.; Zheng, Y.; Zeng, K.; Tang, X. Response Analysis of PLC Optical Splitters Under Force Cyclic Loading. Micromachines 2025, 16, 449. https://doi.org/10.3390/mi16040449
Jiang L, Zheng Y, Zeng K, Tang X. Response Analysis of PLC Optical Splitters Under Force Cyclic Loading. Micromachines. 2025; 16(4):449. https://doi.org/10.3390/mi16040449
Chicago/Turabian StyleJiang, Lianqiong, Yu Zheng, Ke Zeng, and Xin Tang. 2025. "Response Analysis of PLC Optical Splitters Under Force Cyclic Loading" Micromachines 16, no. 4: 449. https://doi.org/10.3390/mi16040449
APA StyleJiang, L., Zheng, Y., Zeng, K., & Tang, X. (2025). Response Analysis of PLC Optical Splitters Under Force Cyclic Loading. Micromachines, 16(4), 449. https://doi.org/10.3390/mi16040449

