Design and Simulation of Magnetic Shielding Structure Based on Closed-Loop TMR Current Sensor
Abstract
1. Introduction
1.1. Research Background
1.2. Related Research Work
1.3. Major Contributions
- The system adopts a double-layer shielding structure, and selects the material with high permeability, and the shielding efficiency is very good.
- The shielding structure can be loaded with an external circuit board to protect the internal circuit.
- The magnetic loop structure can effectively increase the sensitivity of current measurement and play a certain role in magnetic shielding.
1.4. Article Organization
2. Structural Design and Simulation of Closed-Loop TMR Current Sensor
2.1. Principles of TMR Effect and MTJ Structure
2.2. Principle of Closed-Loop TMR Current Sensor
2.3. Simulation of Magnetic Ring Structure Parameters and Feedback Coils
3. Design and Simulation of TMR Current Sensor Shielding Shell
3.1. Analysis of the Source of Magnetic Interference Error in TMR Current Sensor
3.2. Shielding Design and Parametric Simulation
4. Simulation and Experimental Results
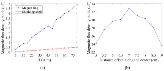
4.1. Simulation of Shielding Effect of Shielding Shell
4.2. Experimental Testing of Shielded Housings
5. Discussion and Conclusions
Author Contributions
Funding
Data Availability Statement
Conflicts of Interest
References
- Xu, A.; Li, L.; Li, P.; Wang, Z.; Wu, Z.; Hao, C. Design and Development of Miniature Non-contact Multi-range Current Sensor. IOP Conf. Ser. Mater. Sci. Eng. 2020, 740, 012104. [Google Scholar] [CrossRef]
- Gao, J.; Wang, J.; Zhang, L.; Yu, Q.; Huang, Y.; Shen, Y. Magnetic Signature Analysis for Smart Security System Based on TMR Magnetic Sensor Array. IEEE Sens. J. 2019, 19, 3149–3155. [Google Scholar] [CrossRef]
- Deng, H.; Qian, S.; Huang, H.; Huang, F. Non-intrusive closed-loop current sensor based on tunneling magnetoresistance. J. Phys. Conf. Ser. 2022, 2396, 012010. [Google Scholar] [CrossRef]
- Weiss, R.; Itzke, A.; Reitenspieß, J.; Hoffmann, I.; Weigel, R. A Novel Closed Loop Current Sensor Based on a Circular Array of Magnetic Field Sensors. IEEE Sens. J. 2019, 19, 2517–2524. [Google Scholar] [CrossRef]
- Chen, Z.; Chen, X.; Ding, X.; Wei, L.; Tang, T.; Zhou, Y.; Yu, W. Electromagnetic interference compensation method of TMR current sensor. J. Phys. Conf. Ser. 2024, 2703, 012060. [Google Scholar] [CrossRef]
- Shao, S.; Yu, N.; Xu, X.; Bai, J.; Wu, X.; Zhang, J. Tunnel Magnetoresistance Based Short-Circuit and Over-Current Protection for IGBT Module. IEEE Trans. Power Electron. 2020, 35, 10930–10944. [Google Scholar] [CrossRef]
- Chen, Y.; Huang, Q.; Khawaja, H.A.; Cai, D.; Wu, J. A novel non-invasion magnetic sensor array based measurement method of large current. Measurement 2019, 139, 78–84. [Google Scholar] [CrossRef]
- An, Z.; Zhang, L.; Fan, Y.; Li, Q.; Li, D. A comprehensive review of TMR current sensors for smart grids: Materials, optimization methods, and applications. Sens. Actuators A Phys. 2025, 382, 116174. [Google Scholar] [CrossRef]
- Wu, J.; Zhou, K.; Jin, Q.; Lu, B.; Jin, Z.; Chen, J. A High-Precision Temperature Compensation Method for TMR Weak Current Sensors Based on FPGA. Micromachines 2024, 15, 1407. [Google Scholar] [CrossRef] [PubMed]
- Yu, J.; Long, Z.; Liang, S.; Yue, C.; Yin, X.; Zhou, F. Optimal design of dual air-gap closed-loop TMR current sensor based on minimum magnetic field uniformity coefficient. Sci. Rep. 2023, 13, 239. [Google Scholar] [CrossRef]
- Xu, X.P.; Liu, T.Z.; Zhu, M.; Wang, J.G. High Frequency Response Current Sensor Based on Tunnel Junction Magnetoresistance. Sens. Lett. 2020, 18, 527–529. [Google Scholar]
- Fan, X.; He, Y.; Chen, T.; Hou, C. Research on crack monitoring technology of flexible eddy current array sensor based on TMR sensors. Measurement 2022, 192, 110926. [Google Scholar] [CrossRef]












Disclaimer/Publisher’s Note: The statements, opinions and data contained in all publications are solely those of the individual author(s) and contributor(s) and not of MDPI and/or the editor(s). MDPI and/or the editor(s) disclaim responsibility for any injury to people or property resulting from any ideas, methods, instructions or products referred to in the content. |
© 2025 by the authors. Licensee MDPI, Basel, Switzerland. This article is an open access article distributed under the terms and conditions of the Creative Commons Attribution (CC BY) license (https://creativecommons.org/licenses/by/4.0/).
Share and Cite
Li, Q.; Xiong, S.; Wang, S.; Dong, X.; Zhang, H. Design and Simulation of Magnetic Shielding Structure Based on Closed-Loop TMR Current Sensor. Micromachines 2025, 16, 272. https://doi.org/10.3390/mi16030272
Li Q, Xiong S, Wang S, Dong X, Zhang H. Design and Simulation of Magnetic Shielding Structure Based on Closed-Loop TMR Current Sensor. Micromachines. 2025; 16(3):272. https://doi.org/10.3390/mi16030272
Chicago/Turabian StyleLi, Qiuyang, Suqin Xiong, Shuo Wang, Xianguang Dong, and Haifeng Zhang. 2025. "Design and Simulation of Magnetic Shielding Structure Based on Closed-Loop TMR Current Sensor" Micromachines 16, no. 3: 272. https://doi.org/10.3390/mi16030272
APA StyleLi, Q., Xiong, S., Wang, S., Dong, X., & Zhang, H. (2025). Design and Simulation of Magnetic Shielding Structure Based on Closed-Loop TMR Current Sensor. Micromachines, 16(3), 272. https://doi.org/10.3390/mi16030272

