A Low-Profile Balanced Dielectric Resonator Filtering Power Divider with Isolation
Abstract
1. Introduction
2. Proposed Balanced Dielectric Resonator Filtering Power Divider
2.1. Configuration
2.2. Analysis of the Dielectric Reaonator
2.3. Theoretical Analysis
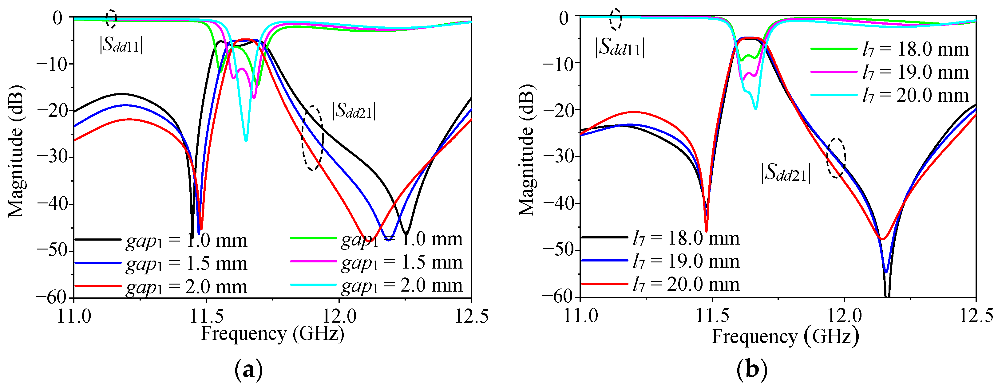
2.4. Improved Isolation Perfermance
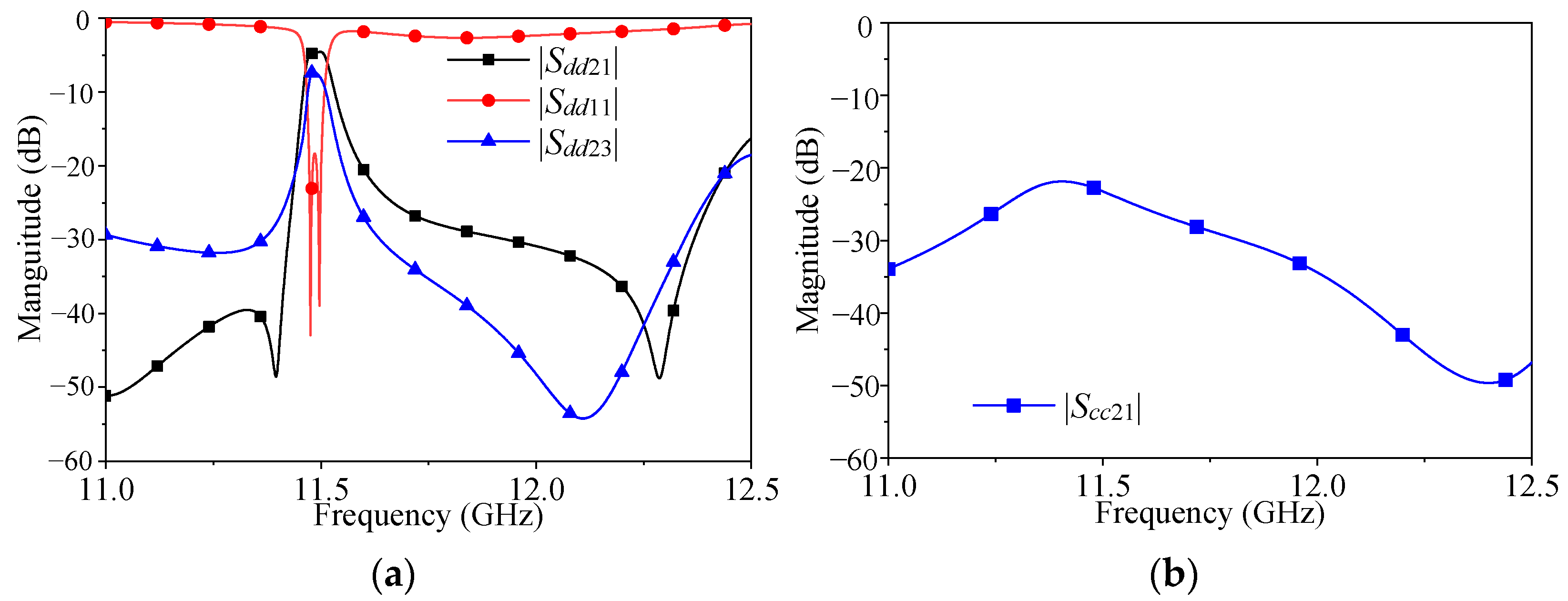
3. Results
4. Conclusions
Author Contributions
Funding
Data Availability Statement
Conflicts of Interest
References
- Feng, L.-P.; Zhu, L. Strip-Loaded slotline resonator for compact differential-mode bandpass filters with improved upper stopband performance. IEEE Microw. Wirel. Compon. Lett. 2017, 27, 108–110. [Google Scholar] [CrossRef]
- Zhang, Z.; Zhang, G.; Liu, Z.; Tang, W.; Yang, J. Compact balanced bandpass filter based on equilateral triangular patch resonator. IEEE Trans. Circuits Syst. II Exp. Briefs 2022, 69, 90–93. [Google Scholar] [CrossRef]
- Liu, X.; Zhu, Z.; Liu, Y.; Lu, Q.; Yin, X.; Yang, Y. Compact bandpass filter and diplexer with wide-stopband suppression based on balanced substrate-integrated waveguide. IEEE Trans. Microw. Theory Tech. 2021, 69, 54–64. [Google Scholar] [CrossRef]
- Li, H.-Y.; Xu, J.-X.; Zhang, X.Y. Single-to-Balanced and balanced-to-balanced dual-channel filters using multilayer substrate integrated waveguide cavities. IEEE Trans. Ind. Electron. 2021, 68, 2389–2399. [Google Scholar] [CrossRef]
- Chen, J.-X.; Xue, Y.; Shi, X.; Huang, Y.-X.; Qin, W.; Yang, Y.-J. Design of double-ridge waveguide balanced filter and filtering power divider. IEEE Trans. Microw. Theory Tech. 2024, 72, 5929–5937. [Google Scholar] [CrossRef]
- Chen, J.X.; Zhan, Y.; Qin, W.; Bao, Z.H. Analysis and Design of Balanced Dielectric Resonator Bandpass Filters. IEEE Trans. Microw. Theory Tech. 2016, 64, 1476–1483. [Google Scholar] [CrossRef]
- Chen, J.X.; Zhan, Y.; Qin, W.; Bao, Z.H. Novel Narrow-Band Balanced Bandpass Filter Using Rectangular Dielectric Resonator. IEEE Microw. Wirel. Compon. Lett. 2015, 25, 289–291. [Google Scholar] [CrossRef]
- Xia, B.; Wu, L.S.; Mao, J. A new balanced-to-balanced power divider/combiner. IEEE Trans. Microw. Theory Tech. 2012, 60, 2791–2798. [Google Scholar] [CrossRef]
- Duong, H.T.; Le, H.V.; Huynh, A.T.; Tran, N.; Skafidas, E. Design of a compact ultra wideband balanced-to-balanced power divider/combiner. In Proceedings of the Asia-Pacific Microwave Conference Proceedings (APMC), Seoul, Republic of Korea, 5–8 November 2013; pp. 363–365. [Google Scholar]
- Yang, F.; Wei, F.; Liu, S.-F.; Shi, X.-W. A novel balanced wideband power divider based on microstrip-slot transitions. Int. J. RF Microw. Comput. Aided Eng. 2014, 24, 437–442. [Google Scholar] [CrossRef]
- Shi, J.; Wang, J.; Xu, K.; Chen, J.-X.; Liu, W. A balanced-to-balanced power divider with wide bandwidth. IEEE Microw. Wirel. Compon. Lett. 2015, 25, 573–575. [Google Scholar] [CrossRef]
- Shi, J.; Xu, K.; Zhang, W.; Chen, J.; Zhai, G. An approach to 1-to-2n way microstrip balanced power divider. IEEE Trans. Microw. Theory Tech. 2016, 64, 4222–4231. [Google Scholar] [CrossRef]
- Xia, B.; Wu, L.-S.; Mao, J. An approach to 1-to-3 way microstrip balanced-to-balanced power divider/combiner. In Proceedings of the IEEE Electrical Design of Advanced Packaging and Systems Symposium (EDAPS), Hangzhou, China, 14–16 December 2017; pp. 1–3. [Google Scholar]
- Xia, B.; Wu, L.-S.; Ren, S.-W.; Mao, J.-F. A balanced-to-balanced power divider with arbitrary power division. IEEE Trans. Microw. Theory Tech. 2013, 61, 2831–2840. [Google Scholar] [CrossRef]
- Wu, L.S.; Guo, Y.X.; Mao, J.F. Balanced-to-Balanced Gysel power divider with bandpass filtering response. IEEE Trans. Microw. Theory Tech. 2013, 61, 4052–4062. [Google Scholar] [CrossRef]
- Huang, F.; Wang, J.; Hong, J.; Wu, W. A new balanced-to-unbalanced filtering power divider with dual controllable passbands and enhanced in-band common-mode suppression. IEEE Trans. Microw. Theory Tech. 2019, 67, 695–703. [Google Scholar] [CrossRef]
- Xu, K.; Shi, J.; Zhang, W.; Mbongo, G.M. The compact balanced filering power divider with in-phase or out-of-phase output using H-shape resonators. IEEE Access 2018, 6, 38490–38497. [Google Scholar] [CrossRef]
- Wei, F.; Yang, Z.J.; Qin, P.Y.; Guo, Y.J.; Li, B.; Shi, X.W. A balanced-to-balanced in-phase filtering power divider with high selectivity and isolation. IEEE Trans. Microw. Theory Tech. 2019, 67, 683–694. [Google Scholar] [CrossRef]
- Luo, M.; Xu, X.; Tang, X.H.; Hong, Y.H. A compact balanced-to-balanced filtering Gysel power divider using λg/2 resonators and short-stub-loaded resonator. IEEE Microw. Wirel. Compon. Lett. 2017, 27, 645–647. [Google Scholar] [CrossRef]
- Liu, Q.W.; Wang, J.P.; Zhu, L.; Zhang, G.; Wu, W. Design of a new balanced-to-balanced filtering power divider based on square patch resonator. IEEE Trans. Microw. Theory Tech. 2018, 66, 5280–5289. [Google Scholar] [CrossRef]
- Lv, X.; Bian, Y.; Huang, Y.; Lu, Y.; Wang, J. Development of a balanced-to-balanced filtering power divider based on right-angled lsosceles triangular patch resonator. IEEE Access 2024, 12, 163301–163306. [Google Scholar] [CrossRef]
- Li, H.Y.; Xu, J.X.; Zhang, X.Y. Design of a new dual-band balanced-to-balanced filtering power divider based on the circular microstrip patch resonator. IEEE Trans. Circuits Syst. II Exp. Briefs 2021, 68, 3542–3546. [Google Scholar]
- Yu, W.; Chen, J.X. Multiport in-phase/antiphase power dividing network with bandpass response based on dielectric resonator. IEEE Trans. Microw. Theory Tech. 2018, 66, 4773–4782. [Google Scholar] [CrossRef]
- Yu, W.; Cao, Y.; Du, M.Z.; Chen, J.X. Compact dual-band filtering power divider based on quad-mode dielectric resonator. In Proceedings of the 2022 International Conference on Microwave and Millimeter Wave Technology, Harbin, China, 12–15 August 2022; pp. 6752–6754. [Google Scholar]
- Li, H.Y.; Xu, J.X.; Zhang, X.Y. Miniaturized balanced filtering power dividers with arbitrary power division ratio using multimode dielectric resonator in single cavity. IEEE Trans. Circuits Syst. II Exp. Briefs 2022, 69, 2707–2711. [Google Scholar] [CrossRef]
- Hong, J.S.; Lancaster, M.J. Microstrip Filters for RF/Microwave Applications; Wiley: New York, NY, USA, 2001; pp. 8–10. [Google Scholar]










| Ref. No. | f0 (GHz) | 3 dB FBW (%) | Insertion Loss (dB) | Isolation (dB) | Common-Mode Suppression (dB) | Profile (λg) | Technology |
|---|---|---|---|---|---|---|---|
| [18] | 2.76 | 15.9 | 0.6 | 18 | 45 | N.A | Microstrip resonator |
| [19] | 2.36 | 7 | 2.21 | 20 | 60 | N.A | Microstrip resonator |
| [20] | 1.8 | 11.7 | 1.02 | 32.1 | 55 | N.A | Patch resonator |
| [22] | 4.2/9.1 | 24/6 | 0.6/1.26 | 28/21 | 38/26 | N.A | Patch resonator |
| [23] | 1.52/1.64 | 0.84/0.94 | 0.9/0.85 | 4 | N.A | 2.78 | Cavity + dielectric resonator |
| [24] | 1.74 | 1.6 | 0.49 | N.A | N.A | 1.077 | Cavity + dielectric resonator |
| [25] | 3.49 | 1.95 | 0.92 | N.A | 43 | 1.04 | Cavity + dielectric resonator |
| This work | 11.65 | 1.17 | 1.29 | 15.1 | 26.8 | 0.66 | Substrate + dielectric resonator |
Disclaimer/Publisher’s Note: The statements, opinions and data contained in all publications are solely those of the individual author(s) and contributor(s) and not of MDPI and/or the editor(s). MDPI and/or the editor(s) disclaim responsibility for any injury to people or property resulting from any ideas, methods, instructions or products referred to in the content. |
© 2025 by the authors. Licensee MDPI, Basel, Switzerland. This article is an open access article distributed under the terms and conditions of the Creative Commons Attribution (CC BY) license (https://creativecommons.org/licenses/by/4.0/).
Share and Cite
Cai, R.; Shao, C.; Xu, K. A Low-Profile Balanced Dielectric Resonator Filtering Power Divider with Isolation. Micromachines 2025, 16, 88. https://doi.org/10.3390/mi16010088
Cai R, Shao C, Xu K. A Low-Profile Balanced Dielectric Resonator Filtering Power Divider with Isolation. Micromachines. 2025; 16(1):88. https://doi.org/10.3390/mi16010088
Chicago/Turabian StyleCai, Rong, Chuan Shao, and Kai Xu. 2025. "A Low-Profile Balanced Dielectric Resonator Filtering Power Divider with Isolation" Micromachines 16, no. 1: 88. https://doi.org/10.3390/mi16010088
APA StyleCai, R., Shao, C., & Xu, K. (2025). A Low-Profile Balanced Dielectric Resonator Filtering Power Divider with Isolation. Micromachines, 16(1), 88. https://doi.org/10.3390/mi16010088
