Short-Circuit Performance Analysis of Commercial 1.7 kV SiC MOSFETs Under Varying Electrical Stress
Abstract
1. Introduction
2. SC Test Platform and Device Characteristics
3. Static Characteristics Analysis
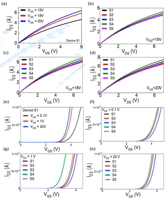
3.1. Output Characteristics
3.2. Transfer Characteristics
3.3. Gate-Drain Capacitance (Cgd) Characteristics
3.4. Breakdown Voltage Characteristics
4. SC Capability
4.1. Influence of VDS
4.2. Influence of VGS
4.3. SC Performance Metrics and Comparison
- Reduction in peak SC (ISC, peak):
- In our experiments, the peak SC current values were measured as 51 A at 400 V, 54 A at 600 V, 56 A at 800 V, and 47 A at 1100 V. This reduction in ISC, peak at 1100 V directly results in a lower SC current density value.
- Thermal effects and phonon scattering: Higher VDS leads to significant power dissipation, causing a temperature rise in the JFET and drift regions. This increases phonon scattering, which reduces carrier mobility and lowers peak SC current, consequently decreasing SC current density.
- Electric field saturation: At 1100 V, the electric field in the JFET region becomes extremely strong, leading to carrier velocity saturation, where further increases in VDS do not proportionally enhance current.
- Localized stress and degradation: High electric field concentrations at extreme VDS cause self-heating and localized degradation in the JFET region, further limiting ISC, peak.
- The influence of circuit tolerances on VGS: Minor tolerances in the gate drive circuit components could also result in small fluctuations in VGS during the short-circuit event. These fluctuations, while minor, could influence the channel conductivity and therefore impact the SC current. At higher VDS (e.g., 1100 V), these small variations could become more pronounced due to the increased electric field stress, further contributing to the decline in SC current density.
5. Conclusions
Author Contributions
Funding
Data Availability Statement
Conflicts of Interest
References
- Wang, J.; Jiang, X. Review and analysis of SiC MOSFETs’ ruggedness and reliability. IET Power Electron. 2020, 13, 445–455. [Google Scholar] [CrossRef]
- Ceccarelli, L.; Reigosa, P.D.; Iannuzzo, F.; Blaabjerg, F. A survey of SiC power MOSFETs short-circuit robustness and failure mode analysis. Microelectron. Reliab. 2017, 76–77, 272–276. [Google Scholar] [CrossRef]
- Xu, H. SiC MOSFETs—The Inevitable Trend for 800V Electric Vehicle Air Conditioning Compressors. IEEE Trans. Veh. Technol. 2024, 1–14. [Google Scholar] [CrossRef]
- Shi, B. A Review of Silicon Carbide MOSFETs in Electrified Vehicles: Application, Challenges, and Future Development; John Wiley and Sons Inc.: Hoboken, NJ, USA, 2023. [Google Scholar]
- Giannakis, A.; Peftitsis, D. MVDC distribution grids and potential applications: Future trends and protection challenges. In Proceedings of the 2018 20th European Conference on Power Electronics and Applications (EPE’18 ECCE Europe), Riga, Latvia, 17–21 September 2018. [Google Scholar]
- She, X.; Huang, A.Q.; Lucia, O.; Ozpineci, B. Review of Silicon Carbide Power Devices and Their Applications. IEEE Trans. Ind. Electron. 2017, 64, 8193–8205. [Google Scholar] [CrossRef]
- Sun, J.; Xu, H.; Wu, X.; Yang, S.; Guo, Q.; Sheng, K. Short circuit capability and high temperature channel mobility of SiC MOSFETs. In Proceedings of the International Symposium on Power Semiconductor Devices and ICs, Sapporo, Japan, 28 May–1 June 2017; pp. 399–402. [Google Scholar]
- Wang, Z. Temperature-Dependent Short-Circuit Capability of Silicon Carbide Power MOSFETs. IEEE Trans. Power Electron. 2016, 31, 1555–1566. [Google Scholar] [CrossRef]
- Castellazzi, A.; Fayyaz, A.; Romano, G.; Yang, L.; Riccio, M.; Irace, A. SiC power MOSFETs performance, robustness and technology maturity. Microelectron. Reliab. 2016, 58, 164–176. [Google Scholar] [CrossRef]
- Dong, D.; Agamy, M.; Bebic, J.Z. A Modular SiC High-Frequency Solid-State Transformer for Medium-Voltage Applications: Design, Implementation, and Testing. IEEE J. Emerg. Sel. Top. Power Electron. 2019, 7, 768–778. [Google Scholar] [CrossRef]
- Hruska, M.; Bhatnagar, P.; Sleven, M. Benefits of Using the New 1700V and 3300V High Power Modules for Traction Applications. In Proceedings of the PCIM Europe Digital Days 2021; International Exhibition and Conference for Power Electronics, Intelligent Motion, Renewable Energy and Energy Management, Online, 3–7 May 2021. [Google Scholar]
- Cao, L.; Gao, Z.; Guo, Q.; Sheng, K. Experimental Investigations of SiC MOSFETs under Short-Circuit Operations. In Proceedings of the ISPSD, Shanghai, China, 19–23 May 2019; pp. 227–230. [Google Scholar]
- Deng, X.; Hu, B. 1200-V SiC MOSFET Short-Circuit Ruggedness Evaluation and Methods to Improve Withstand Time. IEEE J Emerg. Sel. Top Power Electron. 2022, 10, 5059–5069. [Google Scholar]
- Pala, V.; Wang, G.; Hull, B.; Allen, S.; Casady, J.; Palmour, J. Record-low 10 mω SiC MOSFETs in TO-247, rated at 900V. In Proceedings of the Conference Proceedings—IEEE-APEC, Long Beach, CA, USA, 20–24 March 2016; pp. 979–982. [Google Scholar]
- Deng, X. Short-Circuit Capability Prediction and Failure Mode of Asymmetric and Double Trench SiC MOSFETs. IEEE Trans. Power Electron. 2021, 36, 8300–8307. [Google Scholar] [CrossRef]
- Reigosa, P.D.; Iannuzzo, F.; Ceccarelli, L. Failure Analysis of a Degraded 1.2 kV SiC MOSFET after Short Circuit at High Temperature. In Proceedings of the 2018 IEEE International Symposium on the Physical and Failure Analysis of Integrated Circuits (IPFA), Singapore, 16–19 July 2018. [Google Scholar]
- Jiang, X. Failure modes and mechanism analysis of SiC MOSFET under short-circuit conditions. Microelectron. Reliab. 2018, 88–90, 593–597. [Google Scholar] [CrossRef]
- Yu, R. Degradation Analysis of Planar, Symmetrical and Asymmetrical Trench SiC MOSFETs Under Repetitive Short Circuit Impulses. IEEE Trans. Power Electron. 2023, 38, 10933–10946. [Google Scholar] [CrossRef]
- Zhang, Z.; Liang, L.; Fei, H. Investigation on safe-operating-area degradation and failure modes of SiC MOSFETs under repetitive short-circuit conditions. Power Electron. Devices Compon. 2023, 4, 100026. [Google Scholar] [CrossRef]
- Lyu, G.; Ali, H.; Tan, H.; Peng, L.; Ding, X. Review on Short-Circuit Protection Methods for SiC MOSFETs. Energies 2024, 17, 4523. [Google Scholar] [CrossRef]
- Anwar, M.A.; Ali, M.; Pu, D.; Bodepudi, S.C.; Lv, J.; Shehzad, K.; Wang, X.; Imran, A.; Zhao, Y.; Dong, S.; et al. Graphene-Silicon Diode for 2-D Heterostructure Electrical Failure Protection. IEEE J. Electron Devices Soc. 2022, 10, 970–975. [Google Scholar] [CrossRef]
- Lee, J.H.; Kang, E.G. A Study on the Electrical Properties of High Voltage SiC Power MOSFET with Double Trench Structures. In Proceedings of the 2023 IEEE Workshop on Wide Bandgap Power Devices and Applications in Asia (WiPDA Asia), Hsinchu, Taiwan, 27–29 August 2023. [Google Scholar]
- Bolotnikov, A.; Losee, P.; Ghandi, R.; Halverson, A.; Stevanovic, L. Optimization of 1700V SIC MOSFET for Short Circuit Ruggedness; Materials Science Forum, Trans Tech Publications Ltd.: Bäch, Switzerland, 2019; pp. 801–804. [Google Scholar]
- Wolfspeed/CREE. C2M1000170D Datasheet. Available online: https://assets.wolfspeed.com/uploads/2024/01/Wolfspeed_C2M1000170D_data_sheet.pdf (accessed on 24 September 2024).
- Littlefuse. IGBT, IXBH16N170 Datasheet. Available online: https://www.littelfuse.com/assetdocs/littelfuse-discrete-igbts-ixb-16n170-datasheet?assetguid=803acd33-1022-4639-8291-dfbc7a628038 (accessed on 24 September 2024).
- Makhdoom, S.; Ren, N.; Wang, C.; Wu, Y.; Wang, H.; Sheng, K. Comparative Evaluation of Short Circuit Robustness Across Generation of 1.2kV SiC MOSFETs. J. Phys. Conf. Ser. 2024, 2809, 012002. [Google Scholar] [CrossRef]
- Makhdoom, S.; Ren, N.; Wang, C.; Lin, C.; Wu, Y.; Sheng, K. Comprehensive Short Circuit Behavior and Failure Analysis of 1.2 kV SiC MOSFETs Across Multiple Vendors and Generations. IEEE Access 2024, 12, 191442–191460. [Google Scholar] [CrossRef]
- Namai, M.; An, J.; Yano, H.; Iwamuro, N. Investigation of short-circuit failure mechanisms of SiC MOSFETs by varying DC bus voltage. Jpn. J. Appl. Phys. 2018, 57, 074102. [Google Scholar] [CrossRef]
- Reigosa, P.D.; Iannuzzo, F.; Ceccarelli, L. Effect of short-circuit stress on the degradation of the SiO2 dielectric in SiC power MOSFETs. Microelectron. Reliab. 2018, 88–90, 577–583. [Google Scholar] [CrossRef]
- Boige, F.; Richardeau, F. Gate leakage-current analysis and modelling of planar and trench power SiC MOSFET devices in extreme short-circuit operation. Microelectron. Reliab. 2017, 76–77, 532–538. [Google Scholar] [CrossRef]
- Nguyen, T.T.; Ahmed, A.; Thang, T.V.; Park, J.H. Gate Oxide Reliability Issues of SiC MOSFETs Under Short-Circuit Operation. IEEE Trans. Power Electron. 2015, 30, 2445–2455. [Google Scholar] [CrossRef]
- Liu, J.; Zhang, G.; Wang, B.; Li, W.; Wang, J. Gate failure physics of SiC MOSFETs under short-circuit stress. IEEE Electron Device Lett. 2020, 41, 103–106. [Google Scholar] [CrossRef]
- Zou, Y.; Wang, J.; Xu, H.; Wang, H. Investigation of SiC Trench MOSFETs’ Reliability under Short Circuit Conditions. Materials 2022, 15, 598. [Google Scholar] [CrossRef] [PubMed]
- Han, K.; Kanale, A.; Baliga, B.J.; Ballard, B.; Morgan, A.; Hopkins, D.C. New short-circuit failure mechanism for 1.2 Kv 4H-SiC MOSFETs and JBS FETs. In Proceedings of the 2018 IEEE 6th Workshop on Wide Bandgap Power Devices and Applications (WiPDA), Atlanta, GA, USA, 31 October–2 November 2018; pp. 108–113. [Google Scholar]
- Wide Range Input Auxiliary Power Supply, for Three Phase Power Converter, Application Notes. Available online: https://www.pnjsemi.com/mtsc/uploads/single/PNDM17P650A1_HV_flyback_Aux-Power_Application_Ver1.1_%281%29.pdf (accessed on 24 November 2024).
- IMBF170R650M1. Infenion 1700V SiC MOSFET. Available online: https://www.infineon.com/cms/en/product/power/mosfet/silicon-carbide/discretes/imbf170r650m1/ (accessed on 24 November 2024).









| Manufacturer | CREE |
| Structure | Planar |
| Generation | 2G |
| VDS | 1700 V |
| RDS (on) | 1000 mΩ |
| IDS | 5 A |
| Drive Voltage | −5/20 V |
| Package | TO-247-3 |
Disclaimer/Publisher’s Note: The statements, opinions and data contained in all publications are solely those of the individual author(s) and contributor(s) and not of MDPI and/or the editor(s). MDPI and/or the editor(s) disclaim responsibility for any injury to people or property resulting from any ideas, methods, instructions or products referred to in the content. |
© 2025 by the authors. Licensee MDPI, Basel, Switzerland. This article is an open access article distributed under the terms and conditions of the Creative Commons Attribution (CC BY) license (https://creativecommons.org/licenses/by/4.0/).
Share and Cite
Makhdoom, S.; Ren, N.; Wang, C.; Wu, Y.; Xu, H.; Wang, J.; Sheng, K. Short-Circuit Performance Analysis of Commercial 1.7 kV SiC MOSFETs Under Varying Electrical Stress. Micromachines 2025, 16, 102. https://doi.org/10.3390/mi16010102
Makhdoom S, Ren N, Wang C, Wu Y, Xu H, Wang J, Sheng K. Short-Circuit Performance Analysis of Commercial 1.7 kV SiC MOSFETs Under Varying Electrical Stress. Micromachines. 2025; 16(1):102. https://doi.org/10.3390/mi16010102
Chicago/Turabian StyleMakhdoom, Shahid, Na Ren, Ce Wang, Yiding Wu, Hongyi Xu, Jiakun Wang, and Kuang Sheng. 2025. "Short-Circuit Performance Analysis of Commercial 1.7 kV SiC MOSFETs Under Varying Electrical Stress" Micromachines 16, no. 1: 102. https://doi.org/10.3390/mi16010102
APA StyleMakhdoom, S., Ren, N., Wang, C., Wu, Y., Xu, H., Wang, J., & Sheng, K. (2025). Short-Circuit Performance Analysis of Commercial 1.7 kV SiC MOSFETs Under Varying Electrical Stress. Micromachines, 16(1), 102. https://doi.org/10.3390/mi16010102

