Enhancing 3D Printing Copper-PLA Composite Fabrication via Fused Deposition Modeling through Statistical Process Parameter Study
Abstract
1. Introduction
2. Materials and Methods
2.1. Design of Experiments
2.2. Experimental Work
3. Results and Discussion
3.1. Maximum Failure Load
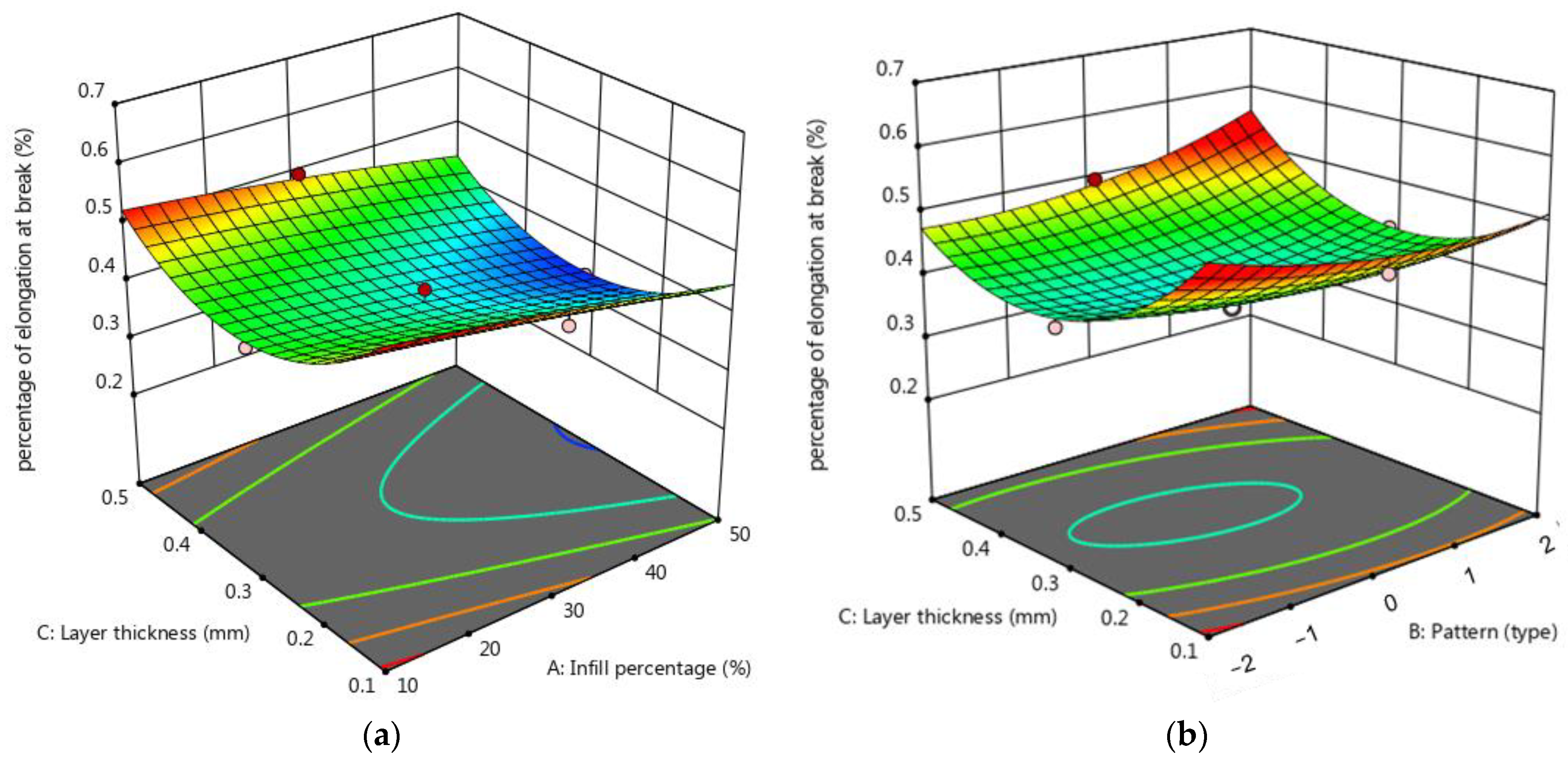
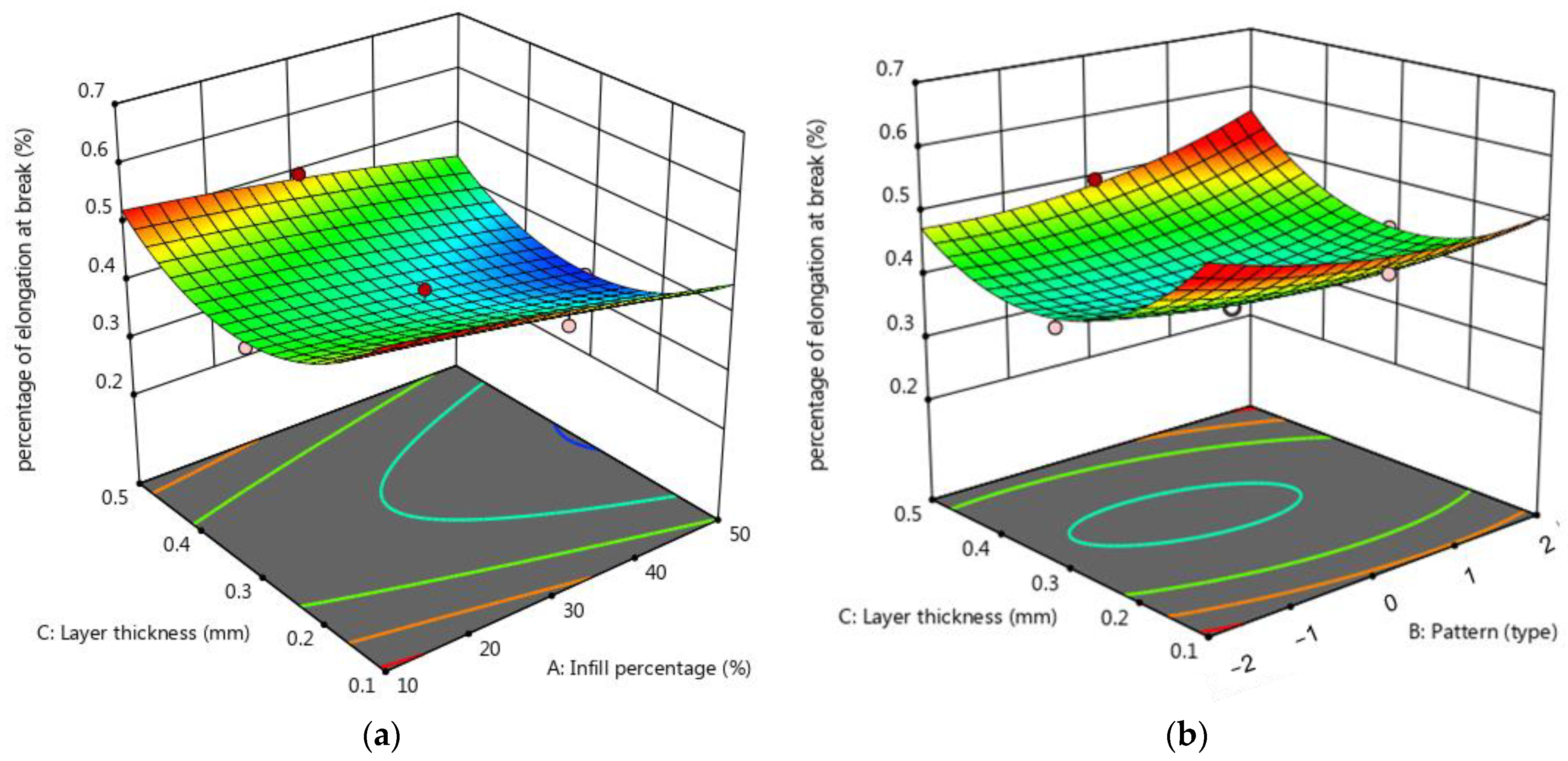
3.2. Percentage of Elongation at Break
3.3. Weight
4. Optimization
5. Conclusions
Author Contributions
Funding
Data Availability Statement
Conflicts of Interest
References
- Bikas, H.; Stavropoulos, P.; Chryssolouris, G. Additive manufacturing methods and modelling approaches: A critical review. Int. J. Adv. Manuf. Technol. 2016, 83, 389–405. [Google Scholar] [CrossRef]
- Mehrabi, O.; Seyedkashi, S.M.H.; Moradi, M. Functionally Graded Additive Manufacturing of Thin-Walled 316L Stainless Steel-Inconel 625 by Direct Laser Metal Deposition Process: Characterization and Evaluation. Metals 2023, 13, 1108. [Google Scholar] [CrossRef]
- Mehrabi, O.; SeyedkaShi, S.; Moradi, M. Effect of the Laser Power on the Geometrical Features of 316L Stainless Steel Additively Manufactured by Direct Laser Metal Deposition (DLMD). Lasers Eng. 2023, 56, 127–141. [Google Scholar]
- He, L.; Chen, B.; Liu, Q.; Chen, H.; Li, H.; Chow, W.T.; Tang, J.; Du, Z.; He, Y.; Pan, J. A quasi-exponential distribution of interfacial voids and its effect on the interlayer strength of 3D printed concrete. Addit. Manuf. 2024, 89, 104296. [Google Scholar] [CrossRef]
- Popescu, D.; Zapciu, A.; Amza, C.; Baciu, F.; Marinescu, R. FDM process parameters influence over the mechanical properties of polymer specimens: A review. Polym. Test. 2018, 69, 157–166. [Google Scholar] [CrossRef]
- Solomon, I.J.; Sevvel, P.; Gunasekaran, J. A review on the various processing parameters in FDM. Mater. Today Proc. 2021, 37, 509–514. [Google Scholar] [CrossRef]
- Song, Y.; Li, Y.; Song, W.; Yee, K.; Lee, K.Y.; Tagarielli, V.L. Measurements of the mechanical response of unidirectional 3D-printed PLA. Mater. Des. 2017, 123, 154–164. [Google Scholar] [CrossRef]
- Dizon, J.R.C.; Espera, A.H.; Chen, Q.; Advincula, R.C. Mechanical characterization of 3D-printed polymers. Addit. Manuf. 2018, 20, 44–67. [Google Scholar] [CrossRef]
- Moradi, M.; Karamimoghadam, M.; Meiabadi, S.; Rasool, S.; Casalino, G.; Shamsborhan, M.; Sebastian, P.K.; Poulose, A.; Shaiju, A.; Rezayat, M. Optimizing Layer Thickness and Width for Fused Filament Fabrication of Polyvinyl Alcohol in Three-Dimensional Printing and Support Structures. Machines 2023, 11, 844. [Google Scholar] [CrossRef]
- Moradi, M.; Rezayat, M.; Rozhbiany, F.A.R.; Meiabadi, S.; Casalino, G.; Shamsborhan, M.; Bijoy, A.; Chakkingal, S.; Lawrence, M.; Mohammed, N.; et al. Correlation between Infill Percentages, Layer Width, and Mechanical Properties in Fused Deposition Modelling of Poly-Lactic Acid 3D Printing. Machines 2023, 11, 950. [Google Scholar] [CrossRef]
- Sezer, H.K.; Eren, O. FDM 3D printing of MWCNT re-inforced ABS nano-composite parts with enhanced mechanical and electrical properties. J. Manuf. Process. 2019, 37, 339–347. [Google Scholar] [CrossRef]
- Tekinalp, H.L.; Kunc, V.; Velez-Garcia, G.M.; Duty, C.E.; Love, L.J.; Naskar, A.K.; Blue, C.A.; Ozcan, S. Highly oriented carbon fiber–polymer composites via additive manufacturing. Compos. Sci. Technol. 2014, 105, 144–150. [Google Scholar] [CrossRef]
- Del Pilar Fabra Rivera, A.; de Castro Magalhães, F.; Rubio, J.C.C. Experimental characterization of PLA composites printed by fused deposition modelling. J. Compos. Mater. 2022, 57, 941–954. [Google Scholar] [CrossRef]
- Bryll, K.; Piesowicz, E.; Szymański, P.; Ślączka, W.; Pijanowski, M. Polymer Composite Manufacturing by FDM 3D Printing Technology. MATEC Web Conf. 2018, 237, 02006. [Google Scholar] [CrossRef]
- Wickramasinghe, S.; Do, T.; Tran, P. FDM-Based 3D Printing of Polymer and Associated Composite: A Review on Mechanical Properties, Defects and Treatments. Polymers 2020, 12, 1529. [Google Scholar] [CrossRef] [PubMed]
- Lu, H.; Wang, X.; Yao, Y.; Gou, J.; Hui, D.; Xu, B.; Fu, Y.Q. Synergistic effect of siloxane modified aluminum nanopowders and carbon fiber on electrothermal efficiency of polymeric shape memory nanocomposite. Compos. Part B Eng. 2015, 80, 1–6. [Google Scholar] [CrossRef]
- Bhaskar, R.; Butt, J.; Shirvani, H. Experimental Analysis of Plastic-Based Composites Made by Composite Plastic Manufacturing. J. Compos. Sci. 2022, 6, 127. [Google Scholar] [CrossRef]
- Li, S.; Cheng, P.; Ahzi, S.; Peng, Y.; Wang, K.; Chinesta, F.; Correia, J.P.M. Advances in hybrid fibers reinforced polymer-based composites prepared by FDM: A review on mechanical properties and prospects. Compos. Commun. 2023, 40, 101592. [Google Scholar] [CrossRef]
- Kumar, V.; Singh, R.; Kumar, R.; Ranjan, N.; Hussain, M. ABS-PLA-Al composite for digital twinning of heritage buildings. Mater. Lett. 2023, 346, 134536. [Google Scholar] [CrossRef]
- Heidari-Rarani, M.; Rafiee-Afarani, M.; Zahedi, A.M. Mechanical characterization of FDM 3D printing of continuous carbon fiber reinforced PLA composites. Compos. Part B Eng. 2019, 175, 107147. [Google Scholar] [CrossRef]
- Valino, A.D.; Dizon, J.R.C.; Espera, A.H.; Chen, Q.; Messman, J.; Advincula, R.C. Advances in 3D printing of thermoplastic polymer composites and nanocomposites. Prog. Polym. Sci. 2019, 98, 101162. [Google Scholar] [CrossRef]
- Luo, J.; Wang, H.; Zuo, D.; Ji, A.; Liu, Y. Research on the Application of MWCNTs/PLA Composite Material in the Manufacturing of Conductive Composite Products in 3D Printing. Micromachines 2018, 9, 635. [Google Scholar] [CrossRef]
- Bortoli, L.S.D.; Farias, R.D.; Mezalira, D.Z.; Schabbach, L.M.; Fredel, M.C. Functionalized carbon nanotubes for 3D-printed PLA-nanocomposites: Effects on thermal and mechanical properties. Mater. Today Commun. 2022, 31, 103402. [Google Scholar] [CrossRef]
- Jain, A.; Mishra, A.; Dubey, A.K.; Kumar, A.; Sahai, A.; Sharma, R.S. Mechanical characteristics and failure morphology of FFF-printed poly lactic acid composites reinforced with carbon fibre, graphene and MWCNTs. J. Thermoplast. Compos. Mater. 2022, 36, 3618–3643. [Google Scholar] [CrossRef]
- Ahmed, W.; Al-Marzouqi, A.H.; Nazir, M.H.; Rizvi, T.A.; Zaneldin, E.; Khan, M.; Aziz, M. Investigating the Properties and Characterization of a Hybrid 3D Printed Antimicrobial Composite Material Using FFF Process: Innovative and Swift. Int. J. Mol. Sci. 2023, 24, 8895. [Google Scholar] [CrossRef]
- Rahmatabadi, D.; Aminzadeh, A.; Aberoumand, M.; Moradi, M. Mechanical Characterization of Fused Deposition Modeling (FDM) 3D Printed Parts. In Fused Deposition Modeling Based 3D Printing; Dave, H.K., Davim, J.P., Eds.; Springer International Publishing: Cham, Switzerland, 2021; pp. 131–150. [Google Scholar]
- Zhang, X.; Chen, L.; Mulholland, T.; Osswald, T.A. Characterization of mechanical properties and fracture mode of PLA and copper/PLA composite part manufactured by fused deposition modeling. SN Appl. Sci. 2019, 1, 616. [Google Scholar] [CrossRef]
- Kottasamy, A.; Samykano, M.; Kadirgama, K.; Rahman, M.; Noor, M.M. Experimental investigation and prediction model for mechanical properties of copper-reinforced polylactic acid composites (Cu-PLA) using FDM-based 3D printing technique. Int. J. Adv. Manuf. Technol. 2022, 119, 5211–5232. [Google Scholar] [CrossRef]
- Kottasamy, A.; Samykano, M.; Kadirgama, K.; Ramasamy, D.; Rahman, M.M.; Pandey, A.K. Optimization of impact energy of copper-polylactic acid (cu-pla) composite using response surface methodology for fdm 3d printing. J. Adv. Res. Fluid Mech. Therm. Sci. 2021, 84, 78–90. [Google Scholar] [CrossRef]
- Balamurugan, K.; Pavan, M.V.; Ali, S.K.A.; Kalusuraman, G. Compression and flexural study on PLA-Cu composite filament using FDM. Mater. Today Proc. 2021, 44, 1687–1691. [Google Scholar] [CrossRef]
- Hikmat, M.; Rostam, S.; Ahmed, Y.M. Investigation of tensile property-based Taguchi method of PLA parts fabricated by FDM 3D printing technology. Results Eng. 2021, 11, 100264. [Google Scholar] [CrossRef]
- Pavan, M.V.; Balamurugan, K.; Latchoumi, T.P. PLA-Cu reinforced composite filament: Preparation and flexural property printed at different machining conditions. Adv. Compos. Mater. 2022, 31, 102–117. [Google Scholar]
- Kesavarma, S.; Lee, E.H.; Samykano, M.; Kadirgama, K.; Rahman, M.M.; Sofiah, A.G.N. Flextural properties of 3D printed Copper-Filler Polylactic Acid (Cu-PLA). IOP Conf. Ser. Mater. Sci. Eng. 2020, 788, 012051. [Google Scholar] [CrossRef]
- Vu, M.C.; Jeong, T.-H.; Kim, J.-B.; Choi, W.K.; Kim, D.H.; Kim, S.-R. 3D printing of copper particles and poly(methyl methacrylate) beads containing poly(lactic acid) composites for enhancing thermomechanical properties. J. Appl. Polym. Sci. 2021, 138, 49776. [Google Scholar] [CrossRef]
- Yang, W.Q.; Zeng, N.X.; Mei, H.; Chen, C.; Lin, X.; Cheng, L.F. Designable Mechanical Properties of 3D Printing Composites with Multiple Filaments by Different Infill Percentages and Structures. Adv. Eng. Mater. 2019, 21, 1900508. [Google Scholar] [CrossRef]
- Liu, Z.; Lei, Q.; Xing, S. Mechanical characteristics of wood, ceramic, metal and carbon fiber-based PLA composites fabricated by FDM. J. Mater. Res. Technol. 2019, 8, 3741–3751. [Google Scholar] [CrossRef]
- Palaniyappan, S.; Veeman, D.; Kumar, S.N.; Surendhar, G.J.; Natrayan, L. Effect of printing characteristics for the incorporation of hexagonal-shaped lattice structure on the PLA polymeric material. J. Thermoplast. Compos. Mater. 2023, 36, 2009–2030. [Google Scholar] [CrossRef]
- Moradi, M.; Mehrabi, O.; Azdast, T.; Benyounis, K.Y. Enhancement of low power CO2 laser cutting process for injection molded polycarbonate. Opt. Laser Technol. 2017, 96, 208–218. [Google Scholar] [CrossRef]
- Mehrabi, O.; Seyedkashi, S.M.H.; Moradi, M. Experimental and response surface study on additive manufacturing of functionally graded steel-inconel wall using direct laser metal deposition. Opt. Laser Technol. 2023, 167, 109707. [Google Scholar] [CrossRef]
- Agha, H.M.; Abdulhameed, A.S.; Jawad, A.H.; Alothman, Z.A.; Wilson, L.D.; Algburi, S. Fabrication of glutaraldehyde crosslinked chitosan/algae biomaterial via hydrothermal process: Statistical optimization and adsorption mechanism for MV 2B dye removal. Biomass Convers. Biorefinery 2023, 18, 1–15. [Google Scholar] [CrossRef]
- Agha, H.M.; Abdulhameed, A.S.; Jawad, A.H.; Aazmi, S.; Sidik, N.J.; De Luna, Y.; Wilson, L.D.; ALOthman, Z.A.; Algburi, S. Enhancing cationic dye removal via biocomposite formation between chitosan and food grade algae: Optimization of algae loading and adsorption parameters. Int. J. Biol. Macromol. 2024, 258, 128792. [Google Scholar] [CrossRef]
- Khan, M.K.A.; Abdulhameed, A.S.; Alshahrani, H.; Algburi, S. Development of chitosan biopolymer by chemically modified orange peel for safranin O dye removal: A sustainable adsorbent and adsorption modeling using RSM-BBD. Int. J. Biol. Macromol. 2024, 261, 129964. [Google Scholar] [CrossRef] [PubMed]
- Jawad, A.H.; Abdulhameed, A.S.; Khadiran, T.; Alothman, Z.A.; Wilson, L.D.; Algburi, S. Response surface methodology for optimizing methylene blue dye removal by mesoporous activated carbon derived from renewable woody Bambusoideae waste. Int. J. Phytoremediat. 2024, 26, 727–739. [Google Scholar] [CrossRef]
- ASTM 638; Standard Test Method for Tensile Properties of Plastics. ASTM International: West Conshohocken, PA, USA, 2014.
- Moradi, M.; Meiabadi, S.; Kaplan, A. 3D Printed Parts with Honeycomb Internal Pattern by Fused Deposition Modelling; Experimental Characterization and Production Optimization. Met. Mater. Int. 2019, 25, 1312–1325. [Google Scholar] [CrossRef]
- Veza, I.; Spraggon, M.; Fattah, I.M.R.; Idris, M. Response surface methodology (RSM) for optimizing engine performance and emissions fueled with biofuel: Review of RSM for sustainability energy transition. Results Eng. 2023, 18, 101213. [Google Scholar] [CrossRef]
- Wang, C.; Wang, Z.; Zhang, S.; Liu, X.; Tan, J. Reinforced quantum-behaved particle swarm-optimized neural network for cross-sectional distortion prediction of novel variable-diameter-die-formed metal bent tubes. J. Comput. Des. Eng. 2023, 10, 1060–1079. [Google Scholar] [CrossRef]
- Dong, H.; Zhang, Y.; Yu, C.; Wang, Z.; Huang, Y. Eco-friendly microwave absorption metastructure: Design, optimization, and performance of CPVM based on PLA@CF. Chem. Eng. J. 2024, 493, 152477. [Google Scholar] [CrossRef]
- Zhang, Y.; Huang, Z.; Wang, H.; Li, J. Regulation of the Interface Compatibility of the 3D-Printing Interpenetration Networks Toward Reduced Structure Anisotropy and Enhanced Performances. ACS Appl. Mater. Interfaces 2023, 15, 32984–32992. [Google Scholar] [CrossRef]
- Behera, S.K.; Meena, H.; Chakraborty, S.; Meikap, B.C. Application of response surface methodology (RSM) for optimization of leaching parameters for ash reduction from low-grade coal. Int. J. Min. Sci. Technol. 2018, 28, 621–629. [Google Scholar] [CrossRef]














| Variable | Notation | Unit | −2 | −1 | 0 | 1 | 2 |
|---|---|---|---|---|---|---|---|
| Infill percentage | IP | % | 10 | 20 | 30 | 40 | 50 |
| Fill Pattern | P | type | Grid | Triangle | Tri-Hexagonal | Cubic-Subdivision | Lines |
| Layer thickness | LT | mm | 0.1 | 0.2 | 0.3 | 0.4 | 0.5 |
| NO | Input Variables | Output Variables | |||||||
|---|---|---|---|---|---|---|---|---|---|
| Coded Values | Actual Values | Weight (g) | Maximum Failure Load (N) | Percentage of Elongation at Break | |||||
| IP (%) | P (Type) | LT (mm) | IP (%) | P (Type) | LT (mm) | ||||
| #1 | −1 | 1 | −1 | 20 | Cubic-Subdivision | 0.2 | 12.004 | 170 | 0.5232 |
| #2 | 2 | 0 | 0 | 50 | Tri-Hexagonal | 0.3 | 16.3556 | 185 | 0.34146 |
| #3 | 0 | 0 | 0 | 30 | Tri-Hexagonal | 0.3 | 14.1908 | 210 | 0.35971 |
| #4 | 0 | 0 | 0 | 30 | Tri-Hexagonal | 0.3 | 15.01 | 210 | 0.41526 |
| #5 | 0 | 0 | −2 | 30 | Tri-Hexagonal | 0.1 | 11.5934 | 165 | 0.4862 |
| #6 | 0 | 0 | 2 | 30 | Tri-Hexagonal | 0.5 | 18.0406 | 230 | 0.49601 |
| #7 | 1 | −1 | 1 | 40 | Triangle | 0.4 | 17.0612 | 230 | 0.42429 |
| #8 | 1 | −1 | −1 | 40 | Triangle | 0.2 | 14.3308 | 205 | 0.45558 |
| #9 | −1 | −1 | −1 | 20 | Triangle | 0.4 | 16.3048 | 210 | 0.39487 |
| #10 | −1 | −1 | −1 | 20 | Triangle | 0.2 | 12.3236 | 190 | 0.41526 |
| #11 | 1 | −1 | −1 | 40 | Cubic-Subdivision | 0.2 | 13.4913 | 208 | 0.4864 |
| #12 | 0 | 0 | 0 | 30 | Tri-Hexagonal | 0.3 | 14.9346 | 218 | 0.39094 |
| #13 | 0 | 2 | 0 | 30 | Lines | 0.3 | 15.1088 | 205 | 0.42526 |
| #14 | 1 | 1 | 1 | 40 | Cubic-Subdivision | 0.4 | 16.6574 | 219 | 0.37185 |
| #15 | −2 | 0 | 0 | 10 | Tri-Hexagonal | 0.3 | 13.845 | 180 | 0.42133 |
| #16 | 0 | −2 | 0 | 30 | Grid | 0.3 | 15.0386 | 212 | 0.39705 |
| #17 | −1 | 1 | 1 | 20 | Cubic-Subdivision | 0.4 | 15.9478 | 210 | 0.48588 |
| Source | Sum of Squares | Degrees of Freedom | Mean Square | F-Value | p-Value | |
|---|---|---|---|---|---|---|
| Model | 4.276 × 1010 | 9 | 4.751 × 109 | 12.52 | 0.0015 | significant |
| A-Infill percentage | 1.825 × 109 | 1 | 1.825 × 109 | 4.81 | 0.0644 | |
| B-Pattern | 2.852 × 109 | 1 | 2.852 × 109 | 7.52 | 0.0288 | |
| C-Layer thickness | 2.851 × 1010 | 1 | 2.851 × 1010 | 75.14 | <0.0001 | |
| AB | 7.423 × 108 | 1 | 7.423 × 108 | 1.96 | 0.2046 | |
| AC | 8.135 × 107 | 1 | 8.135 × 107 | 0.2144 | 0.6574 | |
| BC | 1.250 × 109 | 1 | 1.250 × 109 | 3.29 | 0.1124 | |
| A² | 8.463 × 109 | 1 | 8.463 × 109 | 22.31 | 0.0022 | |
| B² | 1.762 × 108 | 1 | 1.762 × 108 | 0.4645 | 0.5175 | |
| C² | 1.400 × 109 | 1 | 1.400 × 109 | 3.69 | 0.0962 | |
| Residual | 2.656 × 109 | 7 | 3.794 × 109 | |||
| Lack of Fit | 2.205 × 109 | 4 | 5.513 × 108 | 3.67 | 0.1569 | not significant |
| Pure Error | 4.506 × 108 | 3 | 1.502 × 108 | |||
| Cor Total | 4.542 × 1010 | 16 | ||||
| R-sq = 94.15% | R-sq (Adjusted) = 86.63% | |||||
| Source | Degrees of Freedom | F-Value | p-Value |
|---|---|---|---|
| Model | 9 | 6.61 | 0.0105 |
| A-Infill percentage | 1 | 10.37 | 0.0147 |
| B-Pattern | 1 | 0.3692 | 0.5626 |
| C-Layer thickness | 1 | 0.5559 | 0.4802 |
| AB | 1 | 21.67 | 0.0023 |
| AC | 1 | 0.0187 | 0.8951 |
| BC | 1 | 0.5866 | 0.4688 |
| A² | 1 | 0.0683 | 0.8013 |
| B² | 1 | 1.26 | 0.2992 |
| C² | 1 | 19.99 | 0.0029 |
| Residual | 7 | ||
| Lack of Fit | 4 | 0.8364 | 0.5821 |
| Pure Error | 3 | ||
| Cor Total | 16 | ||
| R-sq = 89.48% | R-sq (Adjusted) = 75.95% | ||
| Source | Degrees of Freedom | F-Value | p-Value |
|---|---|---|---|
| Model | 3 | 138.54 | <0.0001 |
| A-Infill percentage | 1 | 47.89 | <0.0001 |
| B-Pattern | 1 | 0.6261 | 0.4430 |
| C-Layer thickness | 1 | 362.84 | <0.0001 |
| Residual | 13 | ||
| Lack of Fit | 10 | 0.3611 | 0.9031 |
| Pure Error | 3 | ||
| Cor Total | 16 | ||
| R- Squared = 96.97% | Adj R-Squared = 95.04% | ||
| Parameter/Response | Goal | Lower | Upper | Importance | |
|---|---|---|---|---|---|
| Parameter | Layer thickness | In range | 50 | 10 | - |
| Raster angle | In range | 2 | −2 | - | |
| Infill percentage | In range | 0.5 | 0.1 | - | |
| Response | Part weight | Minimize | 18.0406 | 11.5934 | 3 |
| Maximum failure load | Maximize | 230 | 165 | 3 | |
| Elongation at break | Maximize | 0.5232 | 0.34146 | 3 |
| Number | IP (%) | Pattern | LT (mm) | Weight | Maximum Failure Load | Percentage of Elongation at Break | Desirability | |
|---|---|---|---|---|---|---|---|---|
| 1 | 32.909 | −2.000 | 0.152 | 12.617 | 205.999 | 0.523 | 0.810 | Selected |
| 2 | 33.052 | −2.000 | 0.153 | 12.642 | 206.182 | 0.524 | 0.810 | |
| 3 | 32.971 | −2.000 | 0.150 | 12.588 | 205.773 | 0.526 | 0.810 | |
| 4 | 33.298 | −2.000 | 0.146 | 12.527 | 205.292 | 0.533 | 0.809 | |
| 5 | 33.800 | −2.000 | 0.143 | 12.506 | 205.061 | 0.540 | 0.809 |
Disclaimer/Publisher’s Note: The statements, opinions and data contained in all publications are solely those of the individual author(s) and contributor(s) and not of MDPI and/or the editor(s). MDPI and/or the editor(s) disclaim responsibility for any injury to people or property resulting from any ideas, methods, instructions or products referred to in the content. |
© 2024 by the authors. Licensee MDPI, Basel, Switzerland. This article is an open access article distributed under the terms and conditions of the Creative Commons Attribution (CC BY) license (https://creativecommons.org/licenses/by/4.0/).
Share and Cite
Moradi, M.; Mehrabi, O.; Rasoul, F.A.; Mattie, A.A.; Schaber, F.; Khandan, R. Enhancing 3D Printing Copper-PLA Composite Fabrication via Fused Deposition Modeling through Statistical Process Parameter Study. Micromachines 2024, 15, 1082. https://doi.org/10.3390/mi15091082
Moradi M, Mehrabi O, Rasoul FA, Mattie AA, Schaber F, Khandan R. Enhancing 3D Printing Copper-PLA Composite Fabrication via Fused Deposition Modeling through Statistical Process Parameter Study. Micromachines. 2024; 15(9):1082. https://doi.org/10.3390/mi15091082
Chicago/Turabian StyleMoradi, Mahmoud, Omid Mehrabi, Fakhir A. Rasoul, Anas Abid Mattie, Friedemann Schaber, and Rasoul Khandan. 2024. "Enhancing 3D Printing Copper-PLA Composite Fabrication via Fused Deposition Modeling through Statistical Process Parameter Study" Micromachines 15, no. 9: 1082. https://doi.org/10.3390/mi15091082
APA StyleMoradi, M., Mehrabi, O., Rasoul, F. A., Mattie, A. A., Schaber, F., & Khandan, R. (2024). Enhancing 3D Printing Copper-PLA Composite Fabrication via Fused Deposition Modeling through Statistical Process Parameter Study. Micromachines, 15(9), 1082. https://doi.org/10.3390/mi15091082

