Experimental and Theoretical Analysis of Rayleigh and Leaky-Sezawa Waves Propagating in ZnO/Fused Silica Substrates
Abstract
1. Introduction
2. Materials and Methods
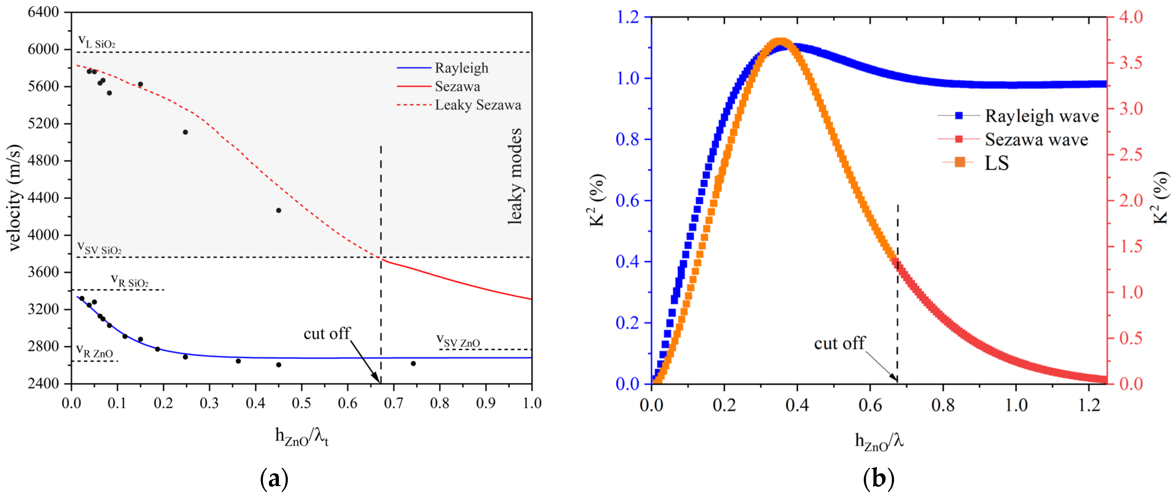
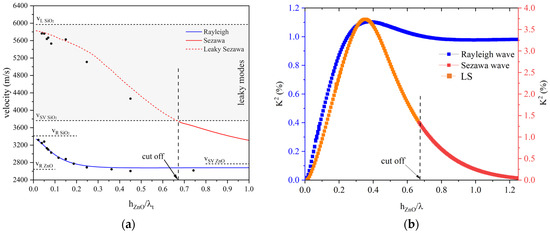
2.1. SAW Propagation in Layered Media
2.2. FEM Analysis
3. Experimental Section
3.1. SAW Device Fabrication
3.2. SAW Device Test
4. Discussion
- Among the listed structures, the ZnO/SiO2 stands out for its technological ease and the low cost of the materials. Indeed, the reactive RF magnetron sputtering technique is a well-established, high-deposition-rate, and relatively low-temperature (T = 200 °C) process which is compatible with standard microelectronic technology. Since the sputtered ZnO films are highly c-axis oriented, uniform, and extremely adhesive to the substrate, they can be a valid alternative to thin epitaxial piezoelectric layers deposited using techniques that require expensive and dedicated equipment.
- Fused silica, unlike expensive and highly anisotropic substrates, is a low-cost, optically transparent substrate: its high resistance to chemicals, low coefficient of thermal expansion, and excellent optical qualities make it attractive for applications in optics operating in the deep UV and visible wavelength range [16,25,26].
- The value of the losses that can be read from the S21 curves of Figure 6 basically comprise 6 dB from IDTs’ bidirectionality loss (attributed to the SAW propagation toward both sides of each IDT), miscellaneous losses (due to electrical finger resistance and IDT electrical mismatch with the peripheral circuits), and acoustic propagation loss. The largest contribution to the overall loss, the electrical mismatch of the IDTs with the characteristic impedance of the VNA, comes from using a non-optimized SAW delay line geometry implemented on the tested devices. This geometry is general-purpose and not specifically designed for ZnO/SiO2-based devices. By optimizing the IDT parameters (the directivity and the number of finger pairs) on the K2 dispersion curve and possibly adopting a tuning circuit to match the VNA load impedance to the input and output ports, the frequency response of the devices based on LS can be improved. Moreover, a different IDT design can be considered, such as unidirectional interdigital transducers (UITs) which are optimized to release most of the SAW energy in one preferred direction, floating electrode unidirectional IDT (FEUDT) [27], or single phase-unidirectional IDT (SPUDT), which can suppress the triple-crossing echo signal and reduce the insertion loss of the device due to its inherent unidirectionality [28,29], to cite just a few examples.
5. Conclusions
Author Contributions
Funding
Data Availability Statement
Acknowledgments
Conflicts of Interest
References
- Adler, E.L.; Farnell, G.W.; Galligan, J.M.; Joyce, G.C.; N-Nagy, F.L.; Sittig, E.K.; Spencer, W.J.; Suenaga, M. Physical Acoustics: Principles and Methods; Mason, W.P., Thurston, R.N., Eds.; Academic Press: London, UK, 1972; Volume IX. [Google Scholar]
- Caliendo, C.; Laidoudi, F. Experimental and Theoretical Study of Multifrequency Surface Acoustic Wave Devices in a Single Si/SiO2/ZnO Piezoelectric Structure. Sensors 2020, 20, 1380. [Google Scholar] [CrossRef] [PubMed]
- Pedrós, J.; Calle, F.; Grajal, J.; Jiménez Riobóo, R.J.; Takagaki, Y.; Ploog, K.H.; Bougrioua, Z. Anisotropy-induced polarization mixture of surface acoustic waves in GaN/c-sapphire heterostructures. Phys. Rev. B 2005, 72, 075306. [Google Scholar] [CrossRef]
- Rodriguez-Madrid, J.G.; Iriarte, G.F.; Pedros, J.; Williams, O.A.; Brink, D.; Calle, F. Super-High-Frequency SAW Resonators on AlN/Diamond. IEEE Electron Device Lett. 2012, 33, 495–497. [Google Scholar] [CrossRef]
- Glushkov, E.; Glushkova, N.; Zhang, C. Surface and pseudo-surface acoustic waves piezoelectrically excited in diamond-based structures. J. Appl. Phys. 2012, 112, 064911. [Google Scholar] [CrossRef]
- Takagaki, Y.; Santos, P.V.; Wiebicke, E.; Brandt, O.; Schönherr, H.P.; Ploog, K.H. Guided propagation of surface acoustic waves in AlN and GaN films grown on 4H—SiC(0001) substrates. Phys. Rev. B 2002, 66, 155439. [Google Scholar] [CrossRef]
- Pedrós, J.; Calle, F.; Grajal, J.; Jiménez Riobóo, R.J.; Prieto, C.; Pau, J.L.; Pereiro, J.; Hermann, M.; Eickhoff, M.; Bougrioua, Z. Anisotropic propagation of surface acoustic waves on nitride layers. Superlattices Microstruct. 2004, 36, 815–823. [Google Scholar] [CrossRef]
- Ralib, A.A.M.; Nordin, A.N.; Alam, A.H.M.Z.; Hashim, U.; Othman, R. Piezoelectric thin films for double electrode CMOS MEMS surface acoustic wave (SAW) resonator. Microsyst. Technol. 2015, 21, 1931–1940. [Google Scholar] [CrossRef]
- Morgan, D. Surface Acoustic Wave Filters, 2nd ed.; Academic Press: Amsterdam, The Netherlands, 2007. [Google Scholar]
- Datta, S. Surface Acoustic Wave Devices; Prentice-Hall: Hoboken, NJ, USA, 1986. [Google Scholar]
- Morgan, D.P. Quasi-static analysis of floating-electrode unidirectional SAW transducers (FEUDT’s). In Proceedings of the 1999 IEEE Ultrasonics Symposium. Proceedings. International Symposium (Cat. No.99CH37027), Tahoe, NV, USA, 17–20 October 1999; Volume 101, pp. 107–111. [Google Scholar]
- Morgan, D.P. Quasi-static analysis of floating electrode unidirectional SAW transducers. IEEE Trans. Ultrason. Ferroelectr. Freq. Control. 2001, 48, 1289–1297. [Google Scholar] [CrossRef]
- Royer, D.; Dieulesaint, E. Free and Guided Propagation. In Elastic Waves in Solids; Springer: Berlin/Heidelberg, Germany; New York, NY, USA, 2000; Volume I. [Google Scholar]
- Engan, H. Excitation of elastic surface waves by spatial harmonics of interdigital transducers. IEEE Trans. Electron Devices 1969, 16, 1014–1017. [Google Scholar] [CrossRef]
- Gokhale, V.J.; Downey, B.P.; Hardy, M.T.; Jin, E.N.; Roussos, J.A.; Meyer, D.J. Epitaxial Single-Crystal ScAlN on 4H-SiC for High-Velocity, Low-Loss SAW Devices. In Proceedings of the 2020 IEEE 33rd International Conference on Micro Electro Mechanical Systems (MEMS), Vancouver, BC, Canada, 18–22 January 2020; pp. 1262–1265. [Google Scholar]
- Caliendo, C.; Benetti, M.; Cannatà, D.; Buzzin, A.; Grossi, F.; Verona, E.; de Cesare, G. UV Sensor Based on Surface Acoustic Waves in ZnO/Fused Silica. Sensors 2023, 23, 4197. [Google Scholar] [CrossRef]
- Benetti, M.; Cannata, D.; Di Pietrantonio, F.; Fedosov, V.I.; Verona, E. Theoretical and experimental investigation of PSAW and SAW properties of AlN films on isotropic diamond substrates. IEEE Ultrason. Symp. 2005, 3, 1868–1871. [Google Scholar]
- Aubert, T.; Naumenko, N.; Bartoli, F.; Pigeat, P.; Streque, J.; Ghanbaja, J.; Elmazria, O. Non-leaky longitudinal acoustic modes in ScxAl1-xN/sapphire structure for high-temperature sensor applications. Appl. Phys. Lett. 2019, 115, 083502. [Google Scholar] [CrossRef]
- Naumenko, N.F.; Didenko, I.S. High-velocity surface acoustic waves in diamond and sapphire with zinc oxide film. Appl. Phys. Lett. 1999, 75, 3029–3031. [Google Scholar] [CrossRef]
- Every, A.G.; Maznev, A.A. Fano line shapes of leaky surface acoustic waves extending from supersonic surface wave points. Wave Motion 2018, 79, 1–9. [Google Scholar] [CrossRef]
- Kushibiki, J.; Ishikawa, T.; Chubachi, N. Cut-off characteristics of leaky Sezawa and pseudo-Sezawa wave modes for thin-film characterization. Appl. Phys. Lett. 1990, 57, 1967–1969. [Google Scholar] [CrossRef]
- Suenaga, R.; Suzuki, M.; Kakio, S.; Ohashi, Y.; Arakawa, M.; Kushibiki, J.-i. Propagation properties of leaky surface acoustic wave on water-loaded piezoelectric substrate. Jpn. J. Appl. Phys. 2018, 57, 07LC10. [Google Scholar] [CrossRef]
- Valle, S.; Singh, M.; Cryan, M.J.; Kuball, M.; Balram, K.C. High frequency guided mode resonances in mass-loaded, thin film gallium nitride surface acoustic wave devices. Appl. Phys. Lett. 2019, 115, 212104. [Google Scholar] [CrossRef]
- Fu, S.; Wang, W.; Qian, L.; Li, Q.; Lu, Z.; Shen, J.; Song, C.; Zeng, F.; Pan, F. High-Frequency Surface Acoustic Wave Devices Based on ZnO/SiC Layered Structure. IEEE Electron Device Lett. 2019, 40, 103–106. [Google Scholar] [CrossRef]
- Buzzin, A.; Grossi, F.; Cannatà, D.; Benetti, M.; Cesare, G.d.; Caliendo, C. ZnO based Back- and Front-Illuminated Photoresistor for UV Sensing Applications. In Proceedings of the 2023 9th International Workshop on Advances in Sensors and Interfaces (IWASI), Monopoli, Italy, 8–9 June 2023; pp. 273–276. [Google Scholar]
- Caliendo, C.; Cannatà, D.; Benetti, M.; Buzzin, A. UV sensors based on the propagation of the fundamental and third harmonic Rayleigh waves in ZnO/fused silica. In Proceedings of the 2023 9th International Workshop on Advances in Sensors and Interfaces (IWASI), Monopoli, Italy, 8–9 June 2023; pp. 261–266. [Google Scholar]
- Li, L.; Wang, F.; Li, K.; Han, Y.; Hu, K.; Sun, Z.; Xie, Y.; Kong, D.; Song, D.; Qian, L.; et al. Effect of interdigital transducers structure on insertion loss of high-frequency surface acoustic wave devices. J. Mater. Sci. Mater. Electron. 2022, 33, 22017–22026. [Google Scholar] [CrossRef]
- Yamanouchi, K.; Furuyashiki, H. Low-Loss, Filter using internal reflection types of new single-phase unidirectional transducer. Electron. Lett. 1984, 20, 819–821. [Google Scholar] [CrossRef]
- Wright, P.V. The natural single-phase unidirectional transducer: A new low-loss SAW transducer. In Proceedings of the IEEE 1985 Ultrasonics Symposium, San Francisco, CA, USA, 16–18 October 1985. [Google Scholar] [CrossRef]
- Hadj-Larbi, F.; Serhane, R. Sezawa SAW devices: Review of numerical-experimental studies and recent applications. Sens. Actuators A Phys. 2019, 292, 169–197. [Google Scholar] [CrossRef]
- Uehara, K.; Aota, Y.; Shibata, T.; Kameda, S.; Nakase, H.; Isota, Y.; Tsubouchi, K. Surface Acoustic Wave Properties of Atomically Flat-Surface Aluminum Nitride Epitaxial Film on Sapphire. Jpn. J. Appl. Phys. 2005, 44, 4512. [Google Scholar] [CrossRef]
- Fujii, S.; Yamada, H.; Omori, T.; Hashimoto, K.y.; Torii, H.; Umezawa, H.; Shikata, S.i. One-port SAW resonators fabricated on single-crystal diamond. In Proceedings of the 2013 IEEE MTT-S International Microwave Symposium Digest (MTT), Seattle, WA, USA, 2–7 June 2013; pp. 1–3. [Google Scholar] [CrossRef]
- Chae, G.S. A Modified Transparent Conducting Oxide for Flat Panel Displays Only. Jpn. J. Appl. Phys. 2001, 40, 1282. [Google Scholar] [CrossRef]
- Lunt, R.R.; Bulovic, V. Transparent, near-infrared organic photovoltaic solar cells for window and energy-scavenging ap-plications. Appl. Phys. Lett. 2011, 98, 113305. [Google Scholar] [CrossRef]
- Guillen, C.; Herrero, J. TCO/metal/TCO structures for energy and flexible electronics. Thin Solid Film. 2011, 520, 1–17. [Google Scholar] [CrossRef]
- Zhou, J.; Wu, X.Z.; Xiao, D.B.; Zhuo, M.; Jin, H.; Luo, J.K.; Fu, Y.Q. Deposition of aluminum doped ZnO as electrode for transparent ZnO/glass surface acoustic wave devices. Surf. Coat. Technol. 2017, 320, 39–46. [Google Scholar] [CrossRef]
- Wang, W.B.; Gu, H.; He, X.L.; Xuan, W.P.; Chen, J.K.; Wang, X.Z.; Luo, J.K. Transparent ZnO/glass surface acoustic wave based high performance ultraviolet light sensors. Chin. Phys. B 2015, 24, 057701. [Google Scholar] [CrossRef]
- Ong, H.; Pang, H.; Zhou, J.; Tao, R.; Agrawal, P.; Torun, H.; Thummavichai, K.; Luo, J.; Tao, K.; Wu, Q.; et al. ZnO/glass thin film surface acoustic waves for efficient digital acousto-fluidics and active surface cleaning. Mater. Chem. Phys. 2022, 287, 126290. [Google Scholar] [CrossRef]
- Zhou, J.; He, X.L.; Wang, W.B.; Zhu, Q.; Xuan, W.P.; Jin, H.; Dong, S.R.; Wang, M.D.; Luo, J.K. Transparent surface acoustic wave devices on Zno/Glass using Al-doped Zno as the electrode. IEEE Electron. Device Lett. 2013, 34, 1319–1321. [Google Scholar] [CrossRef]
- Zhou, J.; Xiao, D.B.; Song, Z.X.; Zhuo, M.; Wu, X.Z. Transparent graphene-AZO/ZNO/glass surface acoustic wave device for electronics and lab-on-a-chip applications. In Proceedings of the 2018 IEEE Micro Electro Mechanical Systems (MEMS), Belfast, UK, 21–25 January 2018; pp. 79–82. [Google Scholar] [CrossRef]
- Tomar, M.; Gupta, V.; Sreenivas, K.; Mansingh, A. Temperature stability of ZnO thin film SAW device on fused quartz. IEEE Trans. Device Mater. Reliab. 2005, 5, 494–500. [Google Scholar] [CrossRef]
- Caliendo, C.; Hamidullah, M. A Theoretical Study of Love Wave Sensors Based on ZnO–Glass Layered Structures for Application to Liquid Environments. Biosensors 2016, 6, 59. [Google Scholar] [CrossRef] [PubMed]








| Propagating Medium | h/λ | Reference |
|---|---|---|
| GaN/sapphire(11–20) | 0.2125 | [7] |
| GaN/sapphire | 0.125–0.875 | [7] |
| AlN(0001)/diamond(111) | 0.1875–0.75 | [4] |
| AlN/Diamond | 0.15 | [5] |
| AlN/iso-Diamond | * | [5] |
| AlN/iso-Diamond/c-TiAl | * | [5] |
| AlN/diamond | 0.09 | [17] |
| AlN/4H–SiC(0001)[1–100] | 0.3–0.5 | [6] |
| GaN/4H–SiC(0001)[11–20] | ~0.7 | [6] |
| Sc0.09Al0.91N/c-sapphire | 0.425 | [18] |
| ZnO/(001)<110>diamond | * | [19] |
| Iso-Cd/iso-Cr | Appr. 0.08 | [20] |
| Au/fused quartz | 0.0328 | [21] |
| a-SiO2/128°YX-LiNbO3 | 0.41 and 0.62 | [22] |
| ScAlN/4H-SiC | 0.1, 0.12 and 0.17 | [15] |
| GaN/SiC | from 0.2 to 0.48 | [23] |
| ZnO/SiC | ~0.1 | [24] |
| ZnO/fused silica | 0.023 to 0.45 | Present paper |
Disclaimer/Publisher’s Note: The statements, opinions and data contained in all publications are solely those of the individual author(s) and contributor(s) and not of MDPI and/or the editor(s). MDPI and/or the editor(s) disclaim responsibility for any injury to people or property resulting from any ideas, methods, instructions or products referred to in the content. |
© 2024 by the authors. Licensee MDPI, Basel, Switzerland. This article is an open access article distributed under the terms and conditions of the Creative Commons Attribution (CC BY) license (https://creativecommons.org/licenses/by/4.0/).
Share and Cite
Caliendo, C.; Benetti, M.; Cannatà, D.; Laidoudi, F.; Petrone, G. Experimental and Theoretical Analysis of Rayleigh and Leaky-Sezawa Waves Propagating in ZnO/Fused Silica Substrates. Micromachines 2024, 15, 974. https://doi.org/10.3390/mi15080974
Caliendo C, Benetti M, Cannatà D, Laidoudi F, Petrone G. Experimental and Theoretical Analysis of Rayleigh and Leaky-Sezawa Waves Propagating in ZnO/Fused Silica Substrates. Micromachines. 2024; 15(8):974. https://doi.org/10.3390/mi15080974
Chicago/Turabian StyleCaliendo, Cinzia, Massimiliano Benetti, Domenico Cannatà, Farouk Laidoudi, and Gaetana Petrone. 2024. "Experimental and Theoretical Analysis of Rayleigh and Leaky-Sezawa Waves Propagating in ZnO/Fused Silica Substrates" Micromachines 15, no. 8: 974. https://doi.org/10.3390/mi15080974
APA StyleCaliendo, C., Benetti, M., Cannatà, D., Laidoudi, F., & Petrone, G. (2024). Experimental and Theoretical Analysis of Rayleigh and Leaky-Sezawa Waves Propagating in ZnO/Fused Silica Substrates. Micromachines, 15(8), 974. https://doi.org/10.3390/mi15080974

