Ultra-Wideband Transformer Feedback Monolithic Microwave Integrated Circuit Power Amplifier Design on 0.25 μm GaN Process
Abstract
1. Introduction
2. Transformer Design Process Comparison
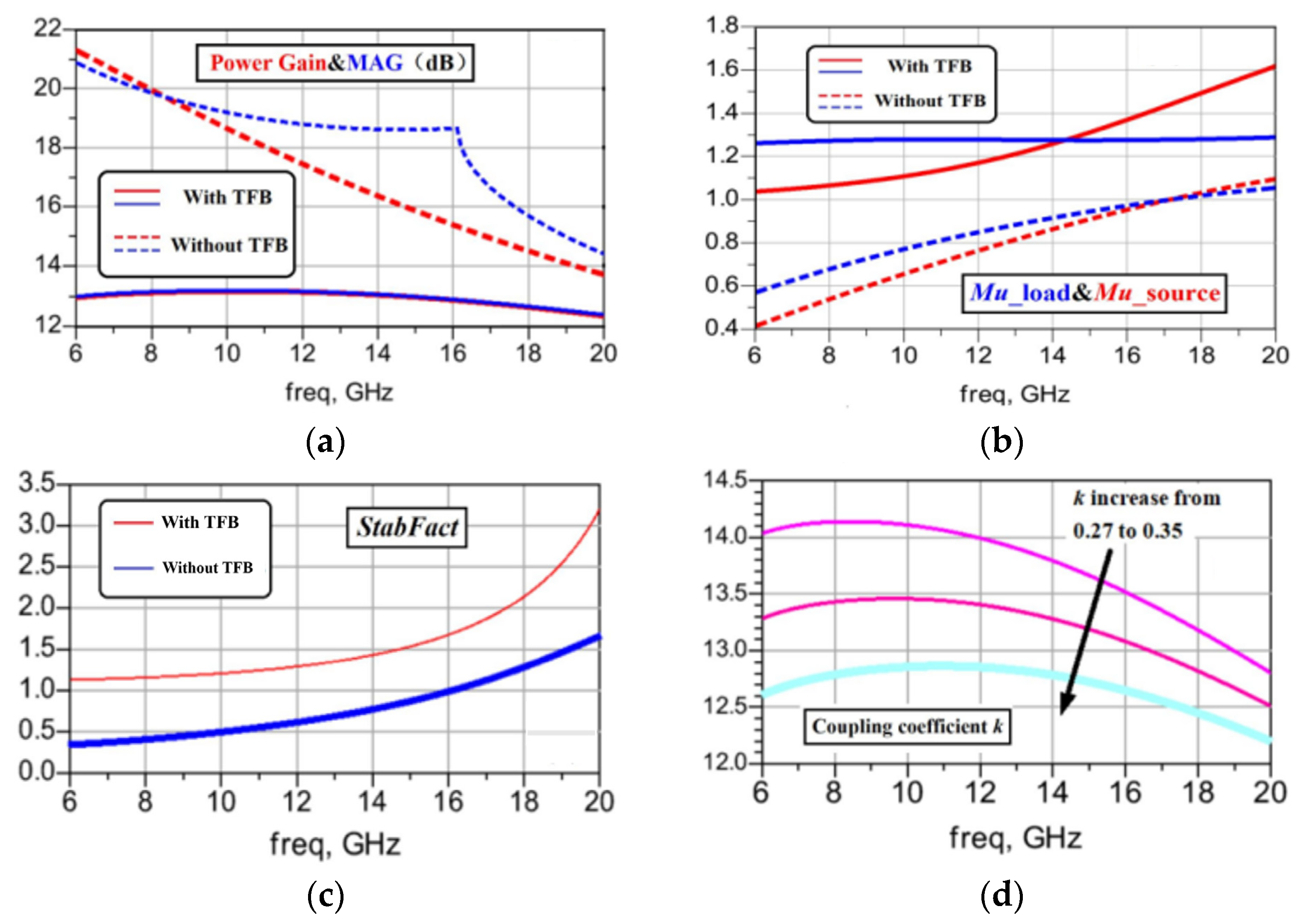
3. Analysis of Transformer Feedback Technique
4. Circuit Design and Measurement
5. Conclusions
Author Contributions
Funding
Data Availability Statement
Conflicts of Interest
References
- Bhagavatula, V.; Rudell, J.C. Analysis and design of a transformer-feedback-based wideband receiver. IEEE Trans. Microw. Theory Tech. 2013, 61, 1347–1358. [Google Scholar] [CrossRef]
- Zhang, G.; Chang, S.; Chen, S.; Sun, J. Dual mode efficiency enhanced linear power amplifiers using a new balanced structure. In Proceedings of the 2009 IEEE Radio Frequency Integrated Circuits Symposium, Boston, MA, USA, 7–9 June 2009; pp. 245–248. [Google Scholar] [CrossRef]
- Hookari, M.; Roshani, S.; Roshani, S. High-efficiency balanced power amplifier using miniaturized harmonics suppressed coupler. Int. J. RF Microw. Comput. -Aided Eng. 2020, 30, e22252. [Google Scholar] [CrossRef]
- Ginzberg, N.; Cohen, E. A Wideband CMOS Power Amplifier with 52% Peak PAE Employing Resistive Shunt Feedback for Sub-6GHz 5G Applications. IEEE Microw. Wirel. Technol. Lett. 2022, 33, 192–195. [Google Scholar] [CrossRef]
- Sapawi, R.; Sahari, S.K.; Kipli, K. A low power 3.1-10.6 GHz ultra-wideband CMOS power amplifier with resistive shunt feedback technique. In Proceedings of the 2013 International Conference on Advanced Computer Science Applications and Technologies, Kuching, Malaysia, 23–24 December 2013; pp. 172–175. [Google Scholar] [CrossRef]
- Nikandish, G.; Medi, A. Transformer-feedback dual-band neutralization technique. IEEE Trans. Circuits Syst. II Express Briefs 2016, 64, 495–499. [Google Scholar] [CrossRef]
- Luo, X.; Feng, W.; Zhu, H.; Wu, L.; Che, W.; Xue, Q. A 21–41 GHz Compact Wideband Low-Noise Amplifier Based on Transformer-Feedback Technique in 65-nm CMOS. In Proceedings of the 2020 IEEE Asia-Pacific Microwave Conference (APMC), Hong Kong, China, 8–11 December 2020; pp. 92–94. [Google Scholar] [CrossRef]
- Yuan, Y.; Li, J.; Yuan, B.; Zeng, J.; Fan, J.; Yu, Z. Analysis and Design of a Gain-Enhanced 1-20 GHz LNA With Output-Stage Transformer Feedback. IEEE Trans. Circuits Syst. II Express Briefs 2023, 70, 3539–3543. [Google Scholar] [CrossRef]
- Cassan, D.J.; Long, J.R. A 1-V transformer-feedback low-noise amplifier for 5-GHz wireless LAN in 0.18-μm CMOS. IEEE J. Solid-State Circuits 2003, 38, 427–435. [Google Scholar] [CrossRef]
- Van Der Heijden, M.P.; de Vreede, L.C.N.; Burghartz, J.N. On the design of unilateral dual-loop feedback low-noise amplifiers with simultaneous noise, impedance, and IIP3 match. IEEE J. Solid-State Circuits 2004, 39, 1727–1736. [Google Scholar] [CrossRef]
- Li, X.; Shekhar, S.; Allstot, D.J. Low-power g/sub m/-boosted LNA and VCO circuits in 0.18/spl mu/m CMOS. In Proceedings of the ISSCC 2005 IEEE International Digest of Technical Papers. Solid-State Circuits Conference, San Francisco, CA, USA, 10 February 2005; pp. 534–615. [Google Scholar] [CrossRef]
- Reiha, M.T.; Long, J.R. A 1.2 V Reactive-Feedback 3.1–10.6 GHz Low-Noise Amplifier in 0.13-μm CMOS. IEEE J. Solid-State Circuits 2007, 42, 1023–1033. [Google Scholar] [CrossRef]
- Khanpour, M.; Tang, K.W.; Garcia, P.; Voinigescu, S.P. A wideband W-band receiver front-end in 65-nm CMOS. IEEE J. Solid-State Circuits 2008, 43, 1717–1730. [Google Scholar] [CrossRef]
- Heiberg, A.C.; Brown, T.W.; Fiez, T.S.; Mayaram, K. A 250 mV, 352μW GPS Receiver RF Front-End in 130 nm CMOS. IEEE J. Solid-State Circuits 2011, 46, 938–949. [Google Scholar] [CrossRef]
- Roderick, J.; Krishnaswamy, H.; Newton, K.; Hashemi, H. Silicon-based ultra-wideband beam-forming. IEEE J. Solid-State Circuits 2006, 41, 1726–1739. [Google Scholar] [CrossRef]
- Hashemi, H.; Chu, T.S.; Roderick, J. Integrated true-time-delay-based ultra-wideband array processing. IEEE Commun. Mag. 2008, 46, 162–172. [Google Scholar] [CrossRef]
- Yeh, H.C.; Liao, Z.Y.; Wang, H. Analysis and design of millimeter-wave low-power CMOS LNA with transformer-multicascode topology. IEEE Trans. Microw. Theory Tech. 2011, 59, 3441–3454. [Google Scholar] [CrossRef]
- Yeh, H.C.; Chiong, C.C.; Aloui, S.; Wang, H. Analysis and design of millimeter-wave low-voltage CMOS cascode LNA with magnetic coupled technique. IEEE Trans. Microw. Theory Tech. 2012, 60, 4066–4079. [Google Scholar] [CrossRef]
- Chowdhury, D.; Reynaert, P.; Niknejad, A.M. A 60GHz 1V+ 12.3 dBm transformer-coupled wideband PA in 90 nm CMOS. In Proceedings of the 2008 IEEE International Solid-State Circuits Conference-Digest of Technical Papers, San Francisco, CA, USA, 3–7 February 2008; pp. 560–635. [Google Scholar] [CrossRef]
- Ali, S.N.; Agarwal, P.; Renaud, L.; Molavi, R.; Mirabbasi, S.; Pande, P.P.; Heo, D. A 40% PAE frequency-reconfigurable CMOS power amplifier with tunable gate–drain neutralization for 28-GHz 5G radios. IEEE Trans. Microw. Theory Tech. 2018, 66, 2231–2245. [Google Scholar] [CrossRef]
- Ali, S.N.; Agarwal, P.; Gopal, S.; Mirabbasi, S.; Heo, D. A 25–35 GHz neutralized continuous class-F CMOS power amplifier for 5G mobile communications achieving 26% modulation PAE at 1.5 Gb/s and 46.4% peak PAE. IEEE Trans. Circuits Syst. I Regul. Pap. 2018, 66, 834–847. [Google Scholar] [CrossRef]
- Nikandish, G.; Medi, A. Transformer-feedback interstage bandwidth enhancement for MMIC multistage amplifiers. IEEE Trans. Microw. Theory Tech. 2014, 63, 441–448. [Google Scholar] [CrossRef]
- Cao, Y.; Groves, R.A.; Huang, X.; Zamdmer, N.; Plouchart, J.-O.; Wachnik, R.; King, T.-J.; Hu, C. Frequency-independent equivalent-circuit model for on-chip spiral inductors. IEEE J. Solid-State Circuits 2003, 38, 419–426. [Google Scholar] [CrossRef]
- Chowdhury, D.; Reynaert, P.; Niknejad, A.M. Design consideration for 60 GHz transformer-coupled CMOS power amplifiers. IEEE J. Solid-State Circuits 2009, 44, 2733–2744. [Google Scholar] [CrossRef]
- Niknejad, A.M.; Bohsali, M.; Adabi, E.; Heydari, B. Integrated circuit transmission-line transformer power combiner for millimetre-wave applications. Electron. Lett. 2007, 43, 1. [Google Scholar] [CrossRef]
- Zhao, D.; Zhong, J. Design and modeling of millimeter-wave transformer in silicon: A tutorial. In Proceedings of the 2019 IEEE International Symposium on Radio-Frequency Integration Technology (RFIT), Nanjing, China, 28–30 August 2019; pp. 1–3. [Google Scholar] [CrossRef]
- Wang, F. Design of Broadband Linear and Efficient Mm-Wave Power Amplifiers in Silicon for 5g Applications. Ph.D. Thesis, Georgia Institute of Technology, Atlanta, GA, USA, August 2020. [Google Scholar]
- Wang, F.; Wang, H. A broadband linear ultra-compact mm-wave power amplifier with distributed-balun output network: Analysis and design. IEEE J. Solid-State Circuits 2021, 56, 2308–2323. [Google Scholar] [CrossRef]
- Peng, L.; Chen, J.; Zhang, Z.; Huang, Y.; Wang, T.; Zhang, G. Design of broadband high-gain GaN MMIC power amplifier based on reactive/resistive matching and feedback technique. IEICE Electron. Express 2021, 18, 20210313. [Google Scholar] [CrossRef]
- Hammad, H.F.; Freundorfer, A.P.; Antar, Y.M.M. Feedback for multiband stabilization of CS and CG MESFET transistors. IEEE Microw. Wirel. Compon. Lett. 2002, 12, 122–124. [Google Scholar] [CrossRef]
- Lin, Q.; Wu, H.F.; Hua, Y.N.; Chen, Y.-J.; Hu, L.-L.; Liu, L.-S.; Chen, S.-J. A 2–20-GHz 10-W high-efficiency GaN power amplifier using reactive matching technique. IEEE Trans. Microw. Theory Tech. 2020, 68, 3148–3158. [Google Scholar] [CrossRef]
- Lee, H.; Lee, W.; Kim, T.; Helaoui, M.; Ghannouchi, F.M.; Yang, Y. 6–18 GHz GaAs pHEMT broadband power amplifier based on dual-frequency selective impedance matching technique. IEEE Access 2019, 7, 66275–66280. [Google Scholar] [CrossRef]
- Santhakumar, R.; Thibeault, B.; Higashiwaki, M.; Keller, S.; Chen, Z.; Mishra, U.K.; York, R.A. Two-stage high-gain high-power distributed amplifier using dual-gate GaN HEMTs. IEEE Trans. Microw. Theory Tech. 2011, 59, 2059–2063. [Google Scholar] [CrossRef]
- Lee, S.; Park, H.; Kim, J.; Kwon, Y. A 6–18 GHz GaN pHEMT power amplifier using non-foster matching. In Proceedings of the 2015 IEEE MTT-S International Microwave Symposium, Phoenix, AZ, USA, 17–22 May 2015; pp. 1–4. [Google Scholar] [CrossRef]











| Property | Si | SiC | GaAs | InP | AlN | GaN |
|---|---|---|---|---|---|---|
| Energy bandgap (eV) | 1.12 | 3.2 | 1.43 | 1.34 | 6.2 | 3.4 |
| Breakdown field (106 V/cm) | 0.3 | 3.2 | 0.4 | 0.6 | 11.7 | 3.3 |
| Electron mobility (cm2/V·S) | 1500 | 700 | 8500 | 4600 | 300 | 2000 |
| Saturation velocity (105 m/s) | 1.0 | 2.0 | 1.2 | 1.0 | 2.0 | 2.5 |
| Thermal conductivity (W/cm·K) | 1.31 | 4.9 | 0.46 | 0.77 | 3.4 | 1.5 |
| Technology Process | TSMC 0.13 µm RF CMOS | TSMC 0.18 µm RF CMOS | TSMC 0.25 µm RF CMOS | WIN 0.15 µm InGaAs pHEMT | WIN 0.25 µm GaN on SiC |
|---|---|---|---|---|---|
| Number of metal layers | 8 | 6 | 5 | 2 | 2 |
| Min. metal layer space (µm) | / | 1.5 | / | 4 | 6 |
| Top layer metal thickness (µm) | 3.3 | 2.34 | 0.99 | 2 | 4 |
| Top metal to substrate distance (µm) | 7.47 | 8.15 | 7.47 | 5.2 | 1.62 |
| Top metal conductance (S/m) | 5.816 × 107 | 2.464 × 107 | 2.464 × 107 | 4.1 × 107 | 4.1 × 107 |
| Substrate dielectric constant | 11.9 | 11.9 | 11.9 | 12.9 | 9.7 |
| Reference | [21] | [32] | [33] | [34] | This Work |
|---|---|---|---|---|---|
| Technology Process | 65 nm CMOS | 0.15 μm GaAs | 0.2 μm GaN | 0.25 μm GaN | 0.25 μm GaN |
| Matching Topology | Transformer Feedback | RLC Feedback | Distributed | Non-Foster | Transformer Feedback |
| Frequency (GHz) | 25–35 | 6–18 | 2–18 | 6–18 | 6–19 |
| S21 (dB) | 10 | 17.4 | 18 | 15 | 15 |
| Gain Flatness (dB) | 3 | 2 | 3 | 5.6 | 0.78 |
| Input Return (dB) | −5 | −8 | −14 | NA | −10 |
| Psat (dBm) | 14.75 | 19.2 | 29 | 35.7–37.5 | 25.55–27.15 |
| PAEsat (%) | 40–46.4 | 13–21.7 | 5–15 | 13–21 | 4.92–11.6 |
| Chip Area (mm2) | 0.19 | 0.982 | 8 | 8.77 | 1.571 |
Disclaimer/Publisher’s Note: The statements, opinions and data contained in all publications are solely those of the individual author(s) and contributor(s) and not of MDPI and/or the editor(s). MDPI and/or the editor(s) disclaim responsibility for any injury to people or property resulting from any ideas, methods, instructions or products referred to in the content. |
© 2024 by the authors. Licensee MDPI, Basel, Switzerland. This article is an open access article distributed under the terms and conditions of the Creative Commons Attribution (CC BY) license (https://creativecommons.org/licenses/by/4.0/).
Share and Cite
Luo, J.; Fan, Y.; Wan, J.; Sun, X.; Liang, X. Ultra-Wideband Transformer Feedback Monolithic Microwave Integrated Circuit Power Amplifier Design on 0.25 μm GaN Process. Micromachines 2024, 15, 546. https://doi.org/10.3390/mi15040546
Luo J, Fan Y, Wan J, Sun X, Liang X. Ultra-Wideband Transformer Feedback Monolithic Microwave Integrated Circuit Power Amplifier Design on 0.25 μm GaN Process. Micromachines. 2024; 15(4):546. https://doi.org/10.3390/mi15040546
Chicago/Turabian StyleLuo, Jialin, Yihui Fan, Jing Wan, Xuming Sun, and Xiaoxin Liang. 2024. "Ultra-Wideband Transformer Feedback Monolithic Microwave Integrated Circuit Power Amplifier Design on 0.25 μm GaN Process" Micromachines 15, no. 4: 546. https://doi.org/10.3390/mi15040546
APA StyleLuo, J., Fan, Y., Wan, J., Sun, X., & Liang, X. (2024). Ultra-Wideband Transformer Feedback Monolithic Microwave Integrated Circuit Power Amplifier Design on 0.25 μm GaN Process. Micromachines, 15(4), 546. https://doi.org/10.3390/mi15040546

