Leakage and Thermal Reliability Optimization of Stacked Nanosheet Field-Effect Transistors with SiC Layers
Abstract
1. Introduction
2. Device Structure and Simulation Methodology
2.1. Device Structure
2.2. Process Flow
2.3. Simulation Settings
3. Results and Discussion
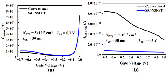
3.1. Reduction in Leakage Current
3.2. Improvement in Thermal Reliability
4. Conclusions
Author Contributions
Funding
Data Availability Statement
Conflicts of Interest
References
- Huang, T.; Cai, H.L.; He, S.; Li, Z.Y.; Jiang, Y.L. Significant Off-State Leakage Reduction for n-FinFET by Self-Adaptive TiN Etching. IEEE Trans. Electron Devices 2023, 70, 5443–5447. [Google Scholar] [CrossRef]
- Zhao, Y.; Xu, Z.; Tang, H.; Zhao, Y.; Tang, P.; Ding, R.; Zhu, X.; Zhang, D.W.; Yu, S. Compact Modeling of Advanced Gate-All-Around Nanosheet FETs Using Artificial Neural Network. Micromachines 2024, 15, 218. [Google Scholar] [CrossRef] [PubMed]
- Gu, J.; Zhang, Q.; Wu, Z.; Luo, Y.; Cao, L.; Cai, Y.; Yao, J.; Zhang, Z.; Xu, G.; Yin, H.; et al. Narrow Sub-Fin Technique for Suppressing Parasitic-Channel Effect in Stacked Nanosheet Transistors. IEEE J. Electron Devices Soc. 2022, 10, 35–39. [Google Scholar] [CrossRef]
- Sai Amudalapalli, V.V.; Bindu Valiveti, H.; Panigrahy, A.K. Design and Comparative Analysis of 10nm and 16nm Multichannel Nanosheet FinFET with Varying Doping Concentrations. In Proceedings of the 2023 8th International Conference on Communication and Electronics Systems (ICCES), Coimbatore, India, 1–3 June 2023; pp. 198–203. [Google Scholar] [CrossRef]
- Seon, Y.; Chang, J.; Yoo, C.; Jeon, J. Device and Circuit Exploration of Multi-Nanosheet Transistor for Sub-3 nm Technology Node. Electronics 2021, 10, 180. [Google Scholar] [CrossRef]
- Yang, J.; Chen, K.; Wang, D.; Liu, T.; Sun, X.; Wang, Q.; Huang, Z.; Pan, Z.; Xu, S.; Wang, C.; et al. Impact of Stress and Dimension on Nanosheet Deformation during Channel Release of Gate-All-Around Device. Micromachines 2023, 14, 611. [Google Scholar] [CrossRef]
- Noh, C.; Han, C.; Won, S.M.; Shin, C. Vertical Gate-All-Around Device Architecture to Improve the Device Performance for Sub-5-nm Technology. Micromachines 2022, 13, 1551. [Google Scholar] [CrossRef]
- Loubet, N.; Hook, T.; Montanini, P.; Yeung, C.W.; Kanakasabapathy, S.; Guillom, M.; Yamashita, T.; Zhang, J.; Miao, X.; Wang, J.; et al. Stacked nanosheet gate-all-around transistor to enable scaling beyond FinFET. In Proceedings of the 2017 Symposium on VLSI Technology, Kyoto, Japan, 5–8 June 2017; pp. T230–T231. [Google Scholar] [CrossRef]
- Kim, S.; Lee, K.; Kim, S.; Kim, M.; Lee, J.H.; Kim, S.; Park, B.G. Investigation of Device Performance for Fin Angle Optimization in FinFET and Gate-All-Around FETs for 3 nm-Node and Beyond. IEEE Trans. Electron Devices 2022, 69, 2088–2093. [Google Scholar] [CrossRef]
- Maniyar, A.; Srinivas, P.S.T.N.; Tiwari, P.K.; Chang-Liao, K.S. Impact of Process-Induced Inclined Sidewalls on Gate-Induced Drain Leakage (GIDL) Current of Nanowire GAA MOSFETs. IEEE Trans. Electron Devices 2022, 69, 4815–4820. [Google Scholar] [CrossRef]
- Choi, Y.; Lee, K.; Yeon Kim, K.; Kim, S.; Lee, J.; Lee, R.; Kim, H.M.; Suh Song, Y.; Kim, S.; Lee, J.H.; et al. Simulation of the effect of parasitic channel height on characteristics of stacked gate-all-around nanosheet FET. Solid-State Electron. 2020, 164, 107686. [Google Scholar] [CrossRef]
- Jegadheesan, V.; Sivasankaran, K.; Konar, A. Impact of geometrical parameters and substrate on analog/RF performance of stacked nanosheet field effect transistor. Mater. Sci. Semicond. Process. 2019, 93, 188–195. [Google Scholar] [CrossRef]
- Zhang, Y.; Han, K.; Li, J. A Simulation Study of a Gate-All-Around Nanowire Transistor with a Core–Insulator. Micromachines 2020, 11, 223. [Google Scholar] [CrossRef]
- Jegadheesan, V.; Sivasankaran, K.; Konar, A. Optimized Substrate for Improved Performance of Stacked Nanosheet Field-Effect Transistor. IEEE Trans. Electron Devices 2020, 67, 4079–4084. [Google Scholar] [CrossRef]
- Zhang, J.; Frougier, J.; Greene, A.; Miao, X.; Yu, L.; Vega, R.; Montanini, P.; Durfee, C.; Gaul, A.; Pancharatnam, S.; et al. Full Bottom Dielectric Isolation to Enable Stacked Nanosheet Transistor for Low Power and High Performance Applications. In Proceedings of the 2019 IEEE International Electron Devices Meeting (IEDM), San Francisco, CA, USA, 7–11 December 2019; pp. 11.6.1–11.6.4. [Google Scholar] [CrossRef]
- Yang, J.; Huang, Z.; Wang, D.; Liu, T.; Sun, X.; Qian, L.; Pan, Z.; Xu, S.; Wang, C.; Wu, C.; et al. A Novel Scheme for Full Bottom Dielectric Isolation in Stacked Si Nanosheet Gate-All-Around Transistors. Micromachines 2023, 14, 1107. [Google Scholar] [CrossRef]
- Lee, K.S.; Yang, B.D.; Park, J.Y. Trench Gate Nanosheet FET to Suppress Leakage Current From Substrate Parasitic Channel. IEEE Trans. Electron Devices 2023, 70, 2042–2046. [Google Scholar] [CrossRef]
- Song, Y.S.; Kim, S.; Kim, J.H.; Kim, G.; Lee, J.H.; Choi, W.Y. Enhancement of Thermal Characteristics and On-Current in GAA MOSFET by Utilizing Al2O3-Based Dual-κ Spacer Structure. IEEE Trans. Electron Devices 2023, 70, 343–348. [Google Scholar] [CrossRef]
- Venkateswarlu, S.; Badami, O.; Nayak, K. Electro-Thermal Performance Boosting in Stacked Si Gate-all-Around Nanosheet FET With Engineered Source/Drain Contacts. IEEE Trans. Electron Devices 2021, 68, 4723–4728. [Google Scholar] [CrossRef]
- Rathore, S.; Jaisawal, R.K.; Suryavanshi, P.; Kondekar, P.N. Investigation of ambient temperature and thermal contact resistance induced self-heating effects in nanosheet FET. Semicond. Sci. Technol. 2022, 37, 055019. [Google Scholar] [CrossRef]
- Choudhury, N.; Sharma, U.; Zhou, H.; Southwick, R.G.; Wang, M.; Mahapatra, S. Analysis of BTI, SHE Induced BTI and HCD Under Full VG/VD Space in GAA Nano-Sheet N and P FETs. In Proceedings of the 2020 IEEE International Reliability Physics Symposium (IRPS), Dallas, TX, USA, 28 April–30 May 2020; pp. 1–6. [Google Scholar] [CrossRef]
- Kim, H.; Son, D.; Myeong, I.; Kang, M.; Jeon, J.; Shin, H. Analysis on Self-Heating Effects in Three-Stacked Nanoplate FET. IEEE Trans. Electron Devices 2018, 65, 4520–4526. [Google Scholar] [CrossRef]
- Yoo, C.; Chang, J.; Seon, Y.; Kim, H.; Jeon, J. Analysis of Self-Heating Effects in Multi-Nanosheet FET Considering Bottom Isolation and Package Options. IEEE Trans. Electron Devices 2022, 69, 1524–1531. [Google Scholar] [CrossRef]
- Jeong, J.; Yoon, J.S.; Lee, S.; Baek, R.H. Novel Trench Inner-Spacer Scheme to Eliminate Parasitic Bottom Transistors in Silicon Nanosheet FETs. IEEE Trans. Electron Devices 2023, 70, 396–401. [Google Scholar] [CrossRef]
- Petrosyants, K.O.; Silkin, D.S.; Popov, D.A. Comparative Characterization of NWFET and FinFET Transistor Structures Using TCAD Modeling. Micromachines 2022, 13, 1293. [Google Scholar] [CrossRef] [PubMed]
- Rathore, S.; Jaisawal, R.K.; Kondekar, P.N.; Bagga, N. Demonstration of a Nanosheet FET With High Thermal Conductivity Material as Buried Oxide: Mitigation of Self-Heating Effect. IEEE Trans. Electron Devices 2023, 70, 1970–1976. [Google Scholar] [CrossRef]
- Chen, K.; Yang, J.; Wu, C.; Wang, C.; Xu, M.; Zhang, D.W. Strained Si Nanosheet pFET Based on SiC Strain Relaxed Buffer Layer for High Performance and Low Power Logic Applications. IEEE Access 2023, 11, 65491–65495. [Google Scholar] [CrossRef]
- Liu, R.; Li, X.; Sun, Y.; Shi, Y. A Vertical Combo Spacer to Optimize Electrothermal Characteristics of 7-nm Nanosheet Gate-All-Around Transistor. IEEE Trans. Electron Devices 2020, 67, 2249–2254. [Google Scholar] [CrossRef]
- Loubet, N.; Kal, S.; Alix, C.; Pancharatnam, S.; Zhou, H.; Durfee, C.; Belyansky, M.; Haller, N.; Watanabe, K.; Devarajan, T.; et al. A Novel Dry Selective Etch of SiGe for the Enablement of High Performance Logic Stacked Gate-All-Around NanoSheet Devices. In Proceedings of the 2019 IEEE International Electron Devices Meeting (IEDM), San Francisco, CA, USA, 7–11 December 2019; pp. 11.4.1–11.4.4. [Google Scholar] [CrossRef]
- Nishino, S.; Powell, J.A.; Will, H.A. Production of large-area single-crystal wafers of cubic SiC for semiconductor devices. Appl. Phys. Lett. 1983, 42, 460–462. [Google Scholar] [CrossRef]
- Galvão, N.; Guerino, M.; Campos, T.; Grigorov, K.; Fraga, M.; Rodrigues, B.; Pessoa, R.; Camus, J.; Djouadi, M.; Maciel, H. The Influence of AlN Intermediate Layer on the Structural and Chemical Properties of SiC Thin Films Produced by High-Power Impulse Magnetron Sputtering. Micromachines 2019, 10, 202. [Google Scholar] [CrossRef]
- Venkateswarlu, S.; Nayak, K. Hetero-Interfacial Thermal Resistance Effects on Device Performance of Stacked Gate-All-Around Nanosheet FET. IEEE Trans. Electron Devices 2020, 67, 4493–4499. [Google Scholar] [CrossRef]
- Yoo, S.; Kim, S. Leakage Optimization of the Buried Oxide Substrate of Nanosheet Field-Effect Transistors. IEEE Trans. Electron Devices 2022, 69, 4109–4114. [Google Scholar] [CrossRef]
- Ryu, D.; Kim, M.; Kim, S.; Choi, Y.; Yu, J.; Lee, J.H.; Park, B.G. Design and Optimization of Triple-k Spacer Structure in Two-Stack Nanosheet FET From OFF-State Leakage Perspective. IEEE Trans. Electron Devices 2020, 67, 1317–1322. [Google Scholar] [CrossRef]
- Kang, M.J.; Kim, M.S.; Jang, S.H.; Fobelets, K. Internal Thermoelectric Cooling in Nanosheet Gate-All-Around FETs Using Schottky Drain Contacts. IEEE Trans. Electron Devices 2021, 68, 4156–4160. [Google Scholar] [CrossRef]
- Chalia, G.; Hegde, R.S. Study of Self-Heating Effects in Silicon Nano-Sheet Transistors. In Proceedings of the 2018 IEEE International Conference on Electron Devices and Solid State Circuits (EDSSC), Shenzhen, China, 6–8 June 2018; pp. 1–2. [Google Scholar] [CrossRef]
- Sun, Y.; Li, X.; Liu, Z.; Liu, Y.; Li, X.; Shi, Y. Vertically Stacked Nanosheets Tree-Type Reconfigurable Transistor With Improved ON-Current. IEEE Trans. Electron Devices 2022, 69, 370–374. [Google Scholar] [CrossRef]














| Parameters | Values |
|---|---|
| Gate length, | 12 nm |
| Spacer length, | 5 nm |
| Source/drain length, | 13 nm |
| Contact gate pitch, CGP | 48 nm |
| Channel width, | 20 nm |
| Channel thickness, | 5 nm |
| Thickness of SiC layers, | 30 nm |
| Vertical channel space, | 10 nm |
| Equivalent oxide thickness, | 0.7 nm |
| Channel doping, | |
| Source/drain doping, | |
| Punch-through stopper (PTS) doping, | |
| Contact resistance | · |
| Parameters | Values |
|---|---|
| Channel thermal conductivity, | 8.07 W/(m·K) |
| Source/drain thermal conductivity, | 16.61 W/(m·K) |
| Oxide thermal conductivity (), | 1.4 W/(m·K) |
| High-k thermal conductivity (), | 2.3 W/(m·K) |
| Inner spacer thermal conductivity, | 18.5 W/(m·K) |
| PTS thermal conductivity, | 148 W/(m·K) |
| Substrate thermal conductivity, | 148 W/(m·K) |
Disclaimer/Publisher’s Note: The statements, opinions and data contained in all publications are solely those of the individual author(s) and contributor(s) and not of MDPI and/or the editor(s). MDPI and/or the editor(s) disclaim responsibility for any injury to people or property resulting from any ideas, methods, instructions or products referred to in the content. |
© 2024 by the authors. Licensee MDPI, Basel, Switzerland. This article is an open access article distributed under the terms and conditions of the Creative Commons Attribution (CC BY) license (https://creativecommons.org/licenses/by/4.0/).
Share and Cite
Li, C.; Shao, Y.; Kuang, F.; Liu, F.; Wang, Y.; Li, X.; Zhuang, Y. Leakage and Thermal Reliability Optimization of Stacked Nanosheet Field-Effect Transistors with SiC Layers. Micromachines 2024, 15, 424. https://doi.org/10.3390/mi15040424
Li C, Shao Y, Kuang F, Liu F, Wang Y, Li X, Zhuang Y. Leakage and Thermal Reliability Optimization of Stacked Nanosheet Field-Effect Transistors with SiC Layers. Micromachines. 2024; 15(4):424. https://doi.org/10.3390/mi15040424
Chicago/Turabian StyleLi, Cong, Yali Shao, Fengyu Kuang, Fang Liu, Yunqi Wang, Xiaoming Li, and Yiqi Zhuang. 2024. "Leakage and Thermal Reliability Optimization of Stacked Nanosheet Field-Effect Transistors with SiC Layers" Micromachines 15, no. 4: 424. https://doi.org/10.3390/mi15040424
APA StyleLi, C., Shao, Y., Kuang, F., Liu, F., Wang, Y., Li, X., & Zhuang, Y. (2024). Leakage and Thermal Reliability Optimization of Stacked Nanosheet Field-Effect Transistors with SiC Layers. Micromachines, 15(4), 424. https://doi.org/10.3390/mi15040424

