CFD Analysis of Particle Dynamics in Accelerated Toroidal Systems for Enhanced PIVG Performance
Abstract
1. Introduction
2. Method
3. Results and Discussion
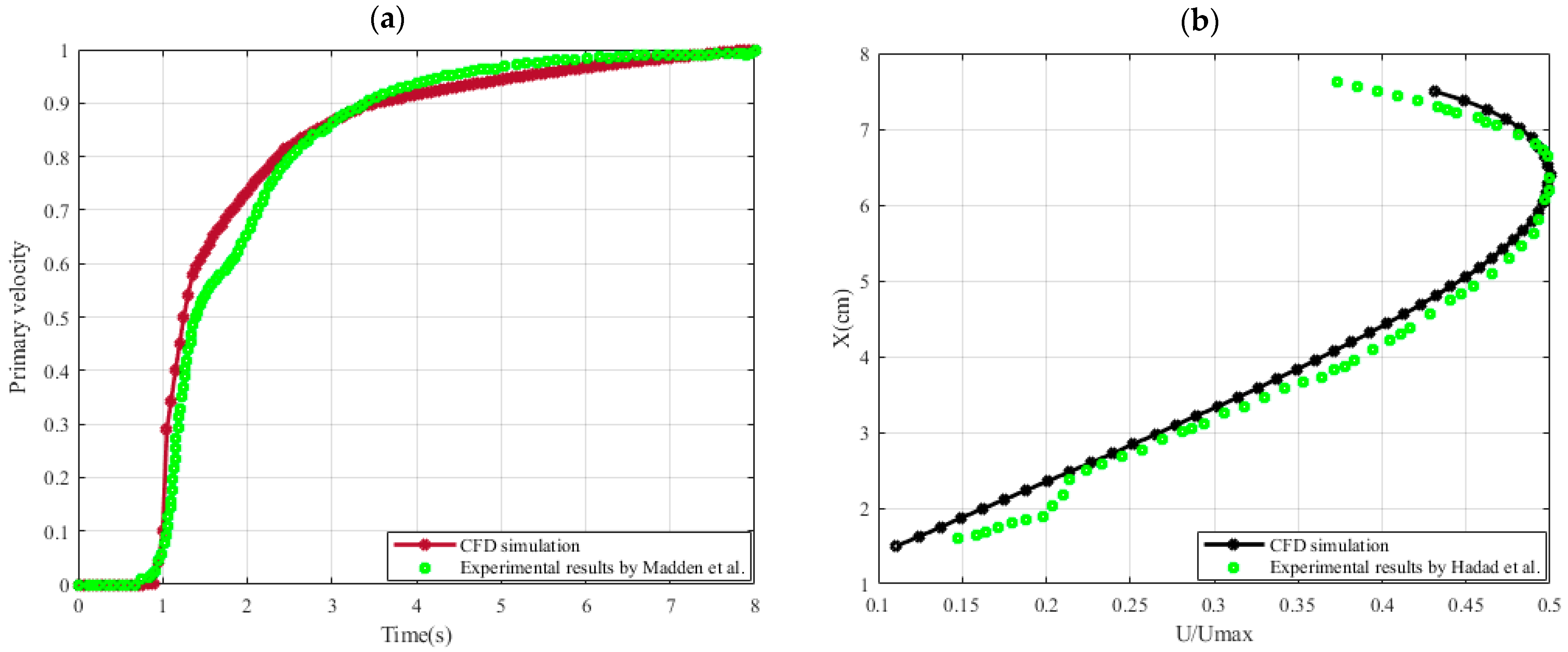
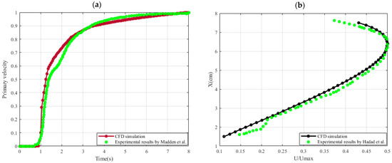
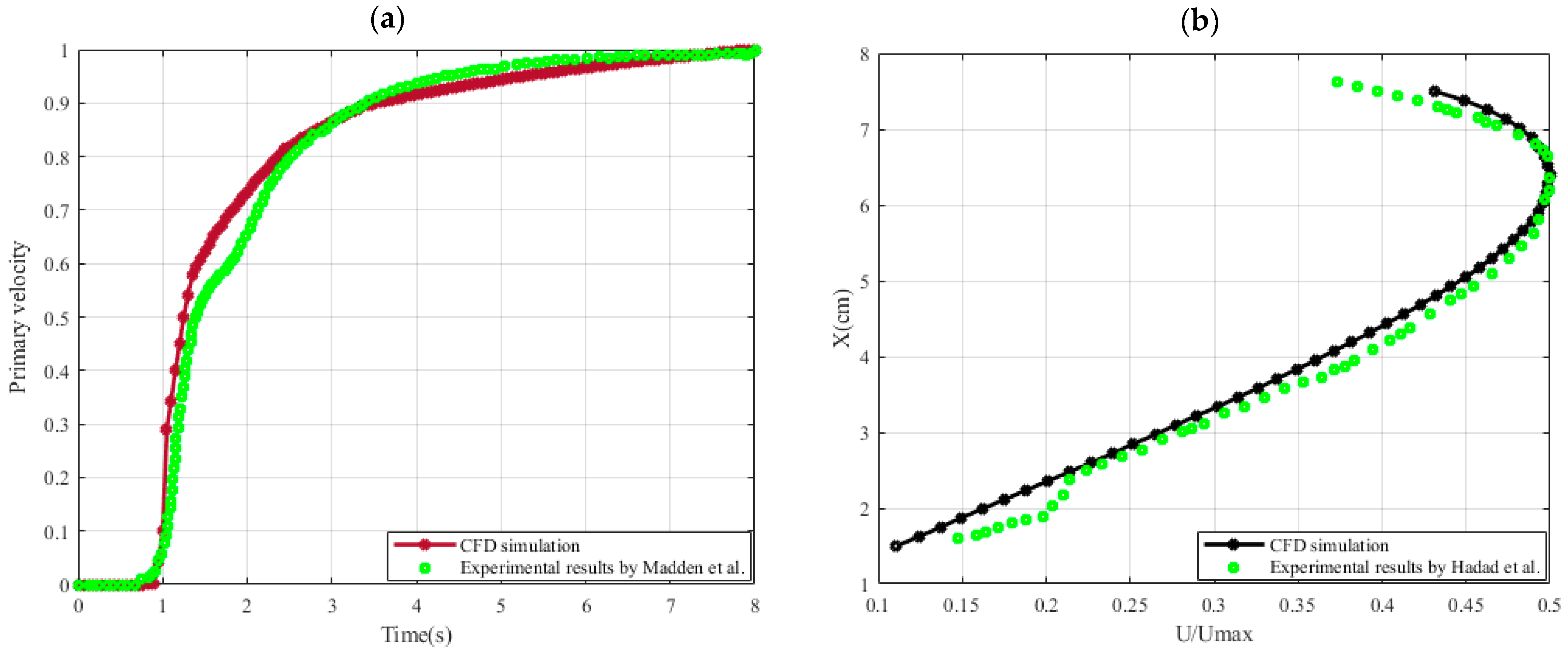
3.1. Grid Independence Study and Validation
3.2. CFD Results
4. Conclusions and Future Directions
Author Contributions
Funding
Data Availability Statement
Acknowledgments
Conflicts of Interest
References
- Choi, W.-S.; Shim, K.-M.; Chong, K.-H.; An, J.-E.; Kim, C.-J.; Park, B.-Y. Sagnac Effect Compensations and Locked States in a Ring Laser Gyroscope. Sensors 2023, 23, 1718. [Google Scholar] [CrossRef] [PubMed]
- Passaro, V.M.N.; Cuccovillo, A.; Vaiani, L.; De Carlo, M.; Campanella, C.E. Gyroscope technology and applications: A review in the industrial perspective. Sensors 2017, 17, 2284. [Google Scholar] [CrossRef] [PubMed]
- Wang, Z.; Xia, X.; Gao, W.; Zhang, X. Analysis of the Temperature Field Characteristics and Thermal-Induced Errors of Miniature Interferometric Fiber Optic Gyroscopes in a Vacuum Environment. Photonics 2024, 11, 869. [Google Scholar] [CrossRef]
- Xu, H.; Wang, L.; Zu, Y.; Gou, W.; Hu, Y. Application and Development of Fiber Optic Gyroscope Inertial Navigation System in Underground Space. Sensors 2023, 23, 5627. [Google Scholar] [CrossRef] [PubMed]
- Li, A.; Cui, K.; An, D.; Wang, X.; Cao, H. Multi-Frame Vibration MEMS Gyroscope Temperature Compensation Based on Combined GWO-VMD-TCN-LSTM Algorithm. Micromachines 2024, 15, 1379. [Google Scholar] [CrossRef] [PubMed]
- Youssef, A.A.; El-Sheimy, N. Particle imaging velocimetry gyroscope. Sensors 2019, 19, 4734. [Google Scholar] [CrossRef] [PubMed]
- Elaswad, R.; El-Sheimy, N.; Mohamad, A. Trajectory dynamics of particles in accelerated toroidal pipe: A computational study using CFD-DPM simulations. J. Comput. Sci. 2024, 78, 102285. [Google Scholar] [CrossRef]
- Elaswad, R.; El-Sheimy, N.; Mohamad, A.A. Review—Basic and Advanced Inertial Navigation Fluid-Based Technology. ECS Sens. Plus. 2023, 2, 023201. [Google Scholar] [CrossRef]
- Elaswad, R.; El-Sheimy, N.; Mohamad, A. Analyzing the Influence of Dean Number on an Accelerated Toroidal: Insights from Particle Imaging Velocimetry Gyroscope (PIVG). Fluids 2024, 9, 103. [Google Scholar] [CrossRef]
- Dean, W.R. LXXII. The stream-line motion of fluid in a curved pipe (Second paper). Lond. Edinb. Dublin Philos. Mag. J. Sci. 1928, 5, 673–695. [Google Scholar] [CrossRef]
- Chen, J.-K.; Luo, W.-J.; Yang, R.-J. Electroosmotic Flow Driven by DC and AC Electric Fields in Curved Microchannels. Jpn. J. Appl. Phys. 2006, 45, 7983. [Google Scholar] [CrossRef]
- Chen, K.T.; Yarn, K.F.; Chen, H.Y.; Tsai, C.C.; Luo, W.J.; Chen, C.N. Aspect Ratio Effect on Laminar Flow Bifurcations in a Curved Rectangular Tube Driven by Pressure Gradients. J. Mech. 2017, 33, 831–840. [Google Scholar] [CrossRef]
- Henríquez Lira, S.; Torres, M.J.; Guerra Silva, R.; Zahr Viñuela, J. Numerical Characterization of the Solid Particle Accumulation in a Turbulent Flow through Curved Pipes by Means of Stokes Numbers. Appl. Sci. 2021, 11, 7381. [Google Scholar] [CrossRef]
- Noorani, A.; Sardina, G.; Brandt, L.; Schlatter, P. Particle Velocity and Acceleration in Turbulent Bent Pipe Flows. Flow. Turbul. Combust. 2015, 95, 539–559. [Google Scholar] [CrossRef]
- Groenesteijn, J.; Droogendijk, H.; de Boer, M.J.; Sanders, R.G.P.; Wiegerink, R.J.; Krijnen, G.J.M. An angular acceleration sensor inspired by the vestibular system with a fully circular fluid-channel and thermal read-out. In Proceedings of the 2014 IEEE 27th International Conference on Micro Electro Mechanical Systems (MEMS), San Francisco, CA, USA, 26–30 January 2014; pp. 696–699. [Google Scholar]
- Anderson, T.B.; Jackson, R. Fluid Mechanical Description of Fluidized Beds. Equations of Motion. Ind. Eng. Chem. Fundam. 1967, 6, 527–539. [Google Scholar] [CrossRef]
- Roache, P.J. Fundamentals of Verification and Validation; Hermosa Publishers: Socorro, NM, USA, 2009. [Google Scholar]
- Procedure for Estimation and Reporting of Uncertainty Due to Discretization in CFD Applications. J. Fluids Eng. 2008, 130, 078001. [CrossRef]
- Madden, F.N.; Mullin, T. The spin-up from rest of a fluid-filled torus. J. Fluid Mech. 1994, 265, 217–244. [Google Scholar] [CrossRef]
- Hadad, T.; Gurka, R. Effects of particle size concentration surface coating on turbulent flow properties obtained using PIV/PTV. Exp. Therm. Fluid Sci. 2013, 45, 203–212. [Google Scholar] [CrossRef]






Disclaimer/Publisher’s Note: The statements, opinions and data contained in all publications are solely those of the individual author(s) and contributor(s) and not of MDPI and/or the editor(s). MDPI and/or the editor(s) disclaim responsibility for any injury to people or property resulting from any ideas, methods, instructions or products referred to in the content. |
© 2024 by the authors. Licensee MDPI, Basel, Switzerland. This article is an open access article distributed under the terms and conditions of the Creative Commons Attribution (CC BY) license (https://creativecommons.org/licenses/by/4.0/).
Share and Cite
Elaswad, R.; El-Sheimy, N.; Mohamad, A. CFD Analysis of Particle Dynamics in Accelerated Toroidal Systems for Enhanced PIVG Performance. Micromachines 2024, 15, 1432. https://doi.org/10.3390/mi15121432
Elaswad R, El-Sheimy N, Mohamad A. CFD Analysis of Particle Dynamics in Accelerated Toroidal Systems for Enhanced PIVG Performance. Micromachines. 2024; 15(12):1432. https://doi.org/10.3390/mi15121432
Chicago/Turabian StyleElaswad, Ramy, Naser El-Sheimy, and Abdulmajeed Mohamad. 2024. "CFD Analysis of Particle Dynamics in Accelerated Toroidal Systems for Enhanced PIVG Performance" Micromachines 15, no. 12: 1432. https://doi.org/10.3390/mi15121432
APA StyleElaswad, R., El-Sheimy, N., & Mohamad, A. (2024). CFD Analysis of Particle Dynamics in Accelerated Toroidal Systems for Enhanced PIVG Performance. Micromachines, 15(12), 1432. https://doi.org/10.3390/mi15121432

