A Multi-Dimensional Calibration Based on Genetic Algorithm in a 12-Bit 750 MS/s Pipelined ADC
Abstract
:1. Introduction
2. Calibration Based on Coefficient
2.1. MDAC Error Analysis
2.2. Compensation Based on Bit Weight
3. M-D MDAC Calibration
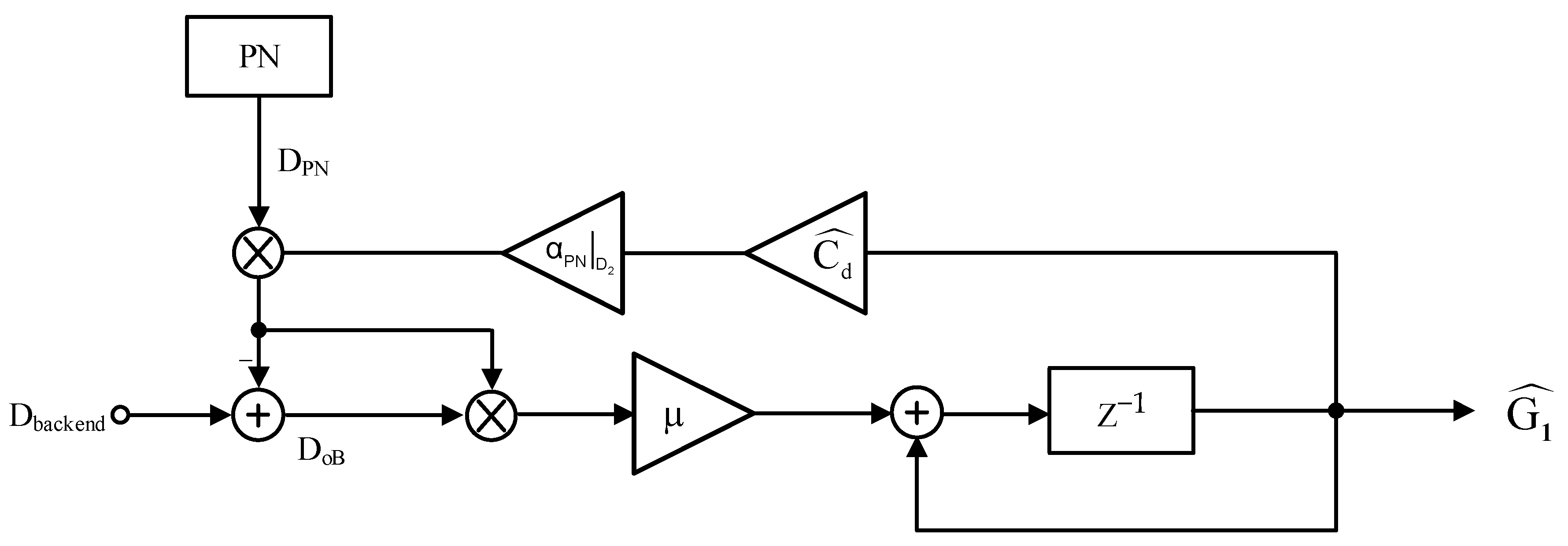
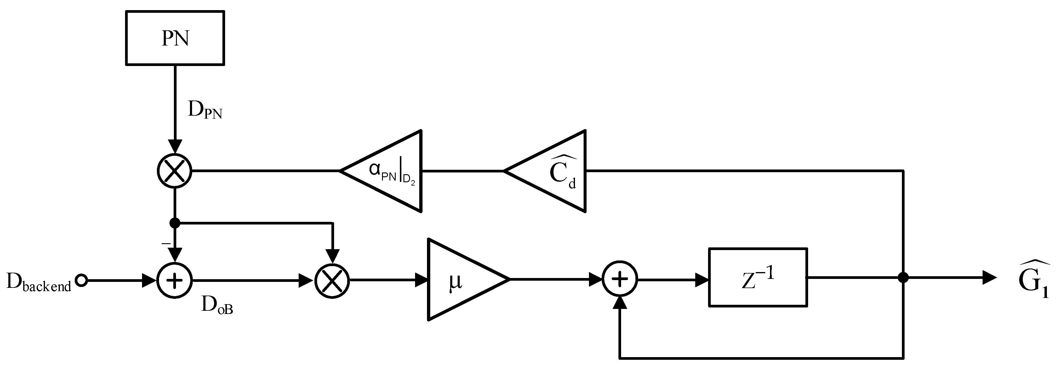
3.1. M-D MDAC Compensation Model
3.2. M-D Compensation Coefficient Extraction Based on GA
3.2.1. Population Initialization
3.2.2. Fitness Function
3.2.3. Population Evolution
4. Measurement Result
5. Conclusions
Author Contributions
Funding
Data Availability Statement
Conflicts of Interest
References
- Lewis, S.H.; Gray, P.R. A Pipelined 5-Msample/S 9-Bit Analog-to-Digital Converter. IEEE J. Solid-State Circuits 1987, 22, 954–961. [Google Scholar] [CrossRef]
- Lewis, S.H.; Fetterman, H.S.; Gross, G.F.; Ramachandran, R.; Viswanathan, T.R. A 10-B 20-Msample/S Analog-to-Digital Converter. IEEE J. Solid-State Circuits 1992, 27, 351–358. [Google Scholar] [CrossRef]
- Kim, Y.J.; Choi, H.C.; Ahn, G.C.; Lee, S.H. A 12 bit 50 MS/s CMOS Nyquist A/D Converter with a Fully Differential Class-AB Switched Op-Amp. IEEE J. Solid-State Circuits 2010, 45, 620–628. [Google Scholar] [CrossRef]
- Devarajan, S.; Singer, L.; Kelly, D.; Decker, S.; Kamath, A.; Wilkins, P. A 16-bit, 125 MS/s, 385 mW, 78.7 dB SNR CMOS Pipeline ADC. IEEE J. Solid-State Circuits 2009, 44, 3305–3313. [Google Scholar] [CrossRef]
- Lee, K.H.; Kim, K.S.; Lee, S.H. A 12b 50 MS/s 21.6 mW 0.18 mu m CMOS ADC Maximally Sharing Capacitors and Op-Amps. IEEE Trans. Circuits Syst. I Regul. Pap. 2011, 58, 2127–2136. [Google Scholar] [CrossRef]
- Akpakwu, G.A.; Silva, B.J.; Hancke, G.P.; Abu-MAhfouz, A.M. A Survey on 5G Networks for the Internet of Things: Communication Technologies and Challenges. IEEE Access 2018, 6, 3619–3647. [Google Scholar] [CrossRef]
- Van, D.; Buter, J.; Van, D.; Vertregt, M.; Geelen, G.; Paulus, E. A 1.2-V 250-mW 14-b 100-MS/s Digitally Calibrated Pipeline ADC in 90-nm CMOS. IEEE J. Solid-State Circuits 2009, 44, 1047–1056. [Google Scholar]
- Zheng, X.Q.; Wang, Z.J.; Li, F.L.; Zhao, F.; Yue, S.G.; Zhang, C.; Wang, Z.H. A 14-bit 250 MS/s IF Sampling Pipelined ADC in 180 nm CMOS Process. IEEE Trans. Circuits Syst. I-Regul. Pap. 2016, 63, 1381–1392. [Google Scholar] [CrossRef]
- Ali, A.M.A.; Dinc, H.; Bhoraskar, P.; Dillon, C.; Puckett, S.; Gray, B.; Speir, C.; Lanford, J.; Brunsilius, J.; Derounian, P.R.; et al. A 14 Bit 1 GS/s RF Sampling Pipelined ADC with Background Calibration. IEEE J. Solid-State Circuits 2014, 49, 2857–2867. [Google Scholar] [CrossRef]
- Li, J.P.; Moon, U.K. Background calibration techniques for multistage pipelined ADCs with digital redundancy. IEEE Trans. Circuits Syst. II Analog. Digit. Signal Process. 2003, 50, 531–538. [Google Scholar] [CrossRef]
- Taherzadeh-Sani, M.; Hamoui, A.A. Digital Background Calibration of Capacitor-Mismatch Errors in Pipelined ADCs. IEEE Trans. Circuits Syst. II Express Briefs 2006, 53, 966–970. [Google Scholar] [CrossRef]
- Sehgal, R.; van der Goes, F.; Bult, K. A 12 b 53 mW 195 MS/s Pipeline ADC with 82 dB SFDR Using Split-ADC Calibration. IEEE J. Solid-State Circuits 2015, 50, 1592–1603. [Google Scholar] [CrossRef]
- Ali, A.M.A.; Dinc, H.; Bhoraskar, P.; Bardsley, S.; Dillon, C.; McShea, M.; Periathambi, J.P.; Puckett, S. A 12-b 18-GS/s RF Sampling ADC with an Integrated Wideband Track-and-Hold Amplifier and Background Calibration. IEEE J. Solid-State Circuits 2020, 55, 3210–3224. [Google Scholar] [CrossRef]
- Ali, A.M.A.; Dinc, H.; Bhoraskar, P.; Puckett, S.; Morgan, A.; Zhu, N.; Yu, Q.; Dillon, C.; Gray, B.; Lanford, J.; et al. A 14-bit 2.5GS/s and 5GS/s RF sampling ADC with background calibration and dither. In Proceedings of the 2016 IEEE Symposium on VLSI Circuits (VLSI-Circuits), Honolulu, HI, USA, 15–17 June 2016. [Google Scholar]
- Iizuka, K.; Matsui, H.; Ueda, M.; Daito, M. A 14-bit digitally self-calibrated pipelined ADC with adaptive bias optimization for arbitrary speeds up to 40 MS/s. IEEE J. Solid-State Circuits 2006, 41, 883–890. [Google Scholar] [CrossRef]
- Chiu, Y.; Tsang, C.W.; Nikolic, B.; Gray, P.R. Least Mean Square Adaptive Digital Background Calibration of Pipelined Analog-to-Digital Converters. IEEE Trans. Circuits Syst. I Regul. Pap. 2004, 51, 38–46. [Google Scholar] [CrossRef]
- Mcneill, J.A.; Goluguri, S.; Nair, A. Split-ADC Digital Background Correction of Open-Loop Residue Amplifier Nonlinearity Errors in a 14b Pipeline ADC. In Proceedings of the 2007 IEEE International Symposium on Circuits and Systems, New Orleans, LA, USA, 27–30 May 2007. [Google Scholar]
- Shu, Y.-S.; Song, B.-S. A 15-bit Linear 20-MS/s Pipelined ADC Digitally Calibrated with Signal-Dependent Dithering. IEEE J. Solid-State Circuits 2008, 43, 342–350. [Google Scholar] [CrossRef]
- Lei, L.; Lin, K.; Long, C.; Zhou, L.; Fan, Y.; Ren, J. A digitally calibrated 14-bit linear 100-MS/s pipelined ADC with wideband sampling frontend. In Proceedings of the 2009 IEEE European Solid-State Circuits Conference (ESSCIRC), Athens, Greece, 14–18 September 2009; pp. 472–475. [Google Scholar]
- Devarajan, S.; Singer, L.; Dan, K.; Kosic, S.; Gealow, J. A 12b 10GS/s interleaved pipeline ADC in 28nm CMOS technology. In Proceedings of the 2017 IEEE International Solid-State Circuits Conference (ISSCC), San Francisco, CA, USA, 5–9 February 2017. [Google Scholar]
- Chang, D.Y.; Li, J.P.; Moon, U.K. Radix-based digital calibration techniques for multi-stage recycling pipelined ADCs. IEEE Trans. Circuits Syst. I-Regul. Pap. 2004, 51, 2133–2140. [Google Scholar] [CrossRef]
- Li, J.W.; Guo, X.; Luan, J.; Wu, D.Y.; Zhou, L.; Huang, Y.K.; Wu, N.X.; Jia, H.B.; Zheng, X.Q.; Wu, J.; et al. A 3GSps 12-bit Four-Channel Time-Interleaved Pipelined ADC in 40 nm CMOS Process. Electronics 2019, 8, 1551. [Google Scholar] [CrossRef]
- Sun, J.; Ding, X.; Yan, C.; Liu, W. Background Calibration for Bit Weights in Pipelined ADCs Using Adaptive Dither Windows. IEEE Trans. Circuits Syst. II Express Briefs 2021, 68, 1783–1787. [Google Scholar] [CrossRef]
- Sun, J.; Zhou, Y.; Li, X. Background calibration of bit weights in pipeline ADCs using a counteracting dither technique. Electron. Lett. 2020, 56, 478–480. [Google Scholar] [CrossRef]
- Yang, X.S. Nature-Inspired Optimization Algorithms; Elsevier Science Publishers: London, UK, 2014. [Google Scholar]
- Huang, Y.J.; Meng, Q.; Li, F.; Song, X.Y.; Wu, J. A capacitor mismatch calibration scheme for SAR ADC based on genetic algorithm. Electron. Lett. 2023, 59, e12762. [Google Scholar] [CrossRef]
- Man, K.F.; Tang, K.S.; Kwong, S. Genetic algorithms: Concepts and applications. IEEE Trans. Ind. Electron. 1996, 43, 519–534. [Google Scholar] [CrossRef]
- Affenzeller, M.; Wagner, S.; Winkler, S.; Beham, A. Genetic Algorithms and Genetic Programming: Modern Concepts and Practical Applications; CRC Press: Boca Raton, FL, USA, 2009. [Google Scholar]
- Tavares, Y.A.; Lee, M. A Foreground Calibration for M-Channel Time-Interleaved Analog-to-Digital Converters Based on Genetic Algorithm. IEEE Trans. Circuits Syst. I-Regul. Pap. 2021, 68, 1444–1457. [Google Scholar] [CrossRef]
- LEE, J.; LEE, J.W.; Zhang, B.T. Dynamic Asset Allocation for Stock Trading Optimized by Evolutionary Computation. IEICE Trans. Inf. Syst. 2005, 88, 1217–1223. [Google Scholar] [CrossRef]
- Nomura, K. Distance-Regular Graphs of Hamming Type. J. Comb. Theory Ser. B 1990, 50, 160–167. [Google Scholar] [CrossRef]
- Bookstein, A.; Kulyukin, V.A.; Raita, T. Generalized Hamming distance. Inf. Retr. 2002, 5, 353–375. [Google Scholar] [CrossRef]
- Oike, Y.; Ikeda, M.; Asada, K. A high-speed and low-voltage associative co-processor with exact Hamming/Manhattan-distance estimation using word-parallel and hierarchical search architecture. IEEE J. Solid-State Circuits 2004, 39, 1383–1387. [Google Scholar] [CrossRef]
- Mattausch, H.J.; Gyohten, T.; Soda, Y.; Koide, T. Compact associative-memory architecture with fully parallel search capability for the minimum Hamming distance. IEEE J. Solid-State Circuits 2002, 37, 218–227. [Google Scholar] [CrossRef]
- Liu, H.C.; Lee, Z.M.; Wu, J.T. A 15-b 40-MS/s CMOS pipelined analog-to-digital converter with digital background calibration. IEEE J. Solid-State Circuits 2005, 40, 1047–1056. [Google Scholar] [CrossRef]
- Ali, A.M.A.; Morgan, A.; Dillon, C.; Patterson, G.; Puckett, S.; Bhoraskar, P.; Dinc, H.; Hensley, M.; Stop, R.; Bardsley, S.; et al. A 16-bit 250-MS/s IF Sampling Pipelined ADC with Background Calibration. IEEE J. Solid-State Circuits 2010, 45, 2602–2612. [Google Scholar] [CrossRef]
- Chatterjee, S.; Roy, S. A Self Calibration Method of a Pipeline ADC Based on Dynamic Capacitance Allotment. IEEE Trans. Very Large Scale Integr. (VLSI) Syst. 2022, 30, 666–670. [Google Scholar] [CrossRef]
- Chatterjee, S.; Roy, S. A Square Wave-Based Digital Foreground Calibration Algorithm of a Pipeline ADC Using Approximate Harmonic Sampling. IEEE Trans. Circuits Syst. II Express Briefs 2021, 68, 1068–1072. [Google Scholar] [CrossRef]
















| [19] | [36] | [37] | [38] | This Work | |
|---|---|---|---|---|---|
| Sampling Rate (MS/s) | 100 | 250 | 100 | 100 | 750 |
| Resolution (bits) | 14 | 16 | 11 | 12 | 12 |
| SNDR (dB) | 65 | 76.5 | 65.13 | 71.88 | 59.6 |
| SFDR (dB) | 85 | 98 | 74.59 | 89.89 | 77.5 |
| Fore/Back | Back | Back | Fore | Fore | Fore + Back |
| Domain | Digital | Analog + Digital | Analog + Digital | Analog + Digital | Digital |
| Sample | 228 | / | / | / | 226 |
| Overhead | Large | Large | Medium | Medium | Small |
Disclaimer/Publisher’s Note: The statements, opinions and data contained in all publications are solely those of the individual author(s) and contributor(s) and not of MDPI and/or the editor(s). MDPI and/or the editor(s) disclaim responsibility for any injury to people or property resulting from any ideas, methods, instructions or products referred to in the content. |
© 2023 by the authors. Licensee MDPI, Basel, Switzerland. This article is an open access article distributed under the terms and conditions of the Creative Commons Attribution (CC BY) license (https://creativecommons.org/licenses/by/4.0/).
Share and Cite
Jia, H.; Guo, X.; Zhai, H.; Wu, F.; Zhang, Y.; Wang, D.; Sun, K.; Wu, D.; Liu, X. A Multi-Dimensional Calibration Based on Genetic Algorithm in a 12-Bit 750 MS/s Pipelined ADC. Micromachines 2023, 14, 1738. https://doi.org/10.3390/mi14091738
Jia H, Guo X, Zhai H, Wu F, Zhang Y, Wang D, Sun K, Wu D, Liu X. A Multi-Dimensional Calibration Based on Genetic Algorithm in a 12-Bit 750 MS/s Pipelined ADC. Micromachines. 2023; 14(9):1738. https://doi.org/10.3390/mi14091738
Chicago/Turabian StyleJia, Hanbo, Xuan Guo, Huaiyu Zhai, Feitong Wu, Yuzhen Zhang, Dandan Wang, Kai Sun, Danyu Wu, and Xinyu Liu. 2023. "A Multi-Dimensional Calibration Based on Genetic Algorithm in a 12-Bit 750 MS/s Pipelined ADC" Micromachines 14, no. 9: 1738. https://doi.org/10.3390/mi14091738
APA StyleJia, H., Guo, X., Zhai, H., Wu, F., Zhang, Y., Wang, D., Sun, K., Wu, D., & Liu, X. (2023). A Multi-Dimensional Calibration Based on Genetic Algorithm in a 12-Bit 750 MS/s Pipelined ADC. Micromachines, 14(9), 1738. https://doi.org/10.3390/mi14091738

